公众遗忘一件事需要多长时间?有个物理学家算出了“遗忘方程”

2018 年 12 月 25 日 科研圈

公众遗忘一件事需要多长时间?本月 10 日发表在《自然-人类行为》(Nature Human Behaviour)上的一项研究对集体记忆的衰退过程进行了量化分析,探索了音乐、电影、科学论文等事物的遗忘周期,发现人类集体记忆的衰退涉及到交往记忆和文化记忆的共同作用,并且双指数衰退模型在不同类型的事物中具有普遍适用性。


图片来源:Pixabay


撰文 三水

编辑 戚译引


在这个“注意力经济”的时代,热点事件接二连三地占领我们的朋友圈,又很快被新的热点事件取代。难道真的像有些人所说的那样,“公众的记忆只有三天”?


所谓“公众的记忆”,在相关研究领域中被称为集体记忆(collective memory)。为了从统计学角度量化评估集体记忆的衰退过程,探讨这一过程在不同领域是否存在差异,来自麻省理工学院媒体实验室(MIT Media Lab)、西北大学(Northeastern University)和智利发展大学(UDD)的研究者们对集体记忆的衰退过程进行了研究,研究结果于本月 10 日发表在《自然-人类行为》Nature Human Behaviour上。


研究发现,对不同事物的集体记忆有着相似的衰退规律,但衰退的速度各不相同。在研究所探讨的不同事物中,关于明星运动员的记忆最长久,能够延续到他们职业活跃期之后的 20~30 年;关于流行音乐的记忆最为短暂,平均只有 5.6 年;科研论文和专利被铭记的时间与流行音乐相似。



交往记忆 vs 文化记忆


集体记忆由法国社会学家莫里斯·哈布瓦赫(Maurice Halbwachs)于 1925  年首次提出,它是记忆的一种形式,被群体所共享,并且对群体成员的社会认同起着至关重要的作用。目前,在历史学、人类学、社会学、文学、哲学以及心理学领域都存在对集体记忆的研究。


由于集体记忆较为抽象,还没有找到客观、可测量以及可预测的实证研究方法,因此研究者们用获得关注的情况作为衡量集体记忆的指标。也就是说,如果一件事受到了大量的关注,那么其集体记忆也会较为清晰,反之则可能已经被遗忘。


基于这一设想,研究者分别收集了两种类型的数据,一种是与科学论文和专利相关的时间序列数据,来源于美国物理协会(American Physical Society)和美国专利及商标局(United States Patent and Trademark Office);另一种是与歌曲、电影和传记有关的截面数据,来源于相关的流行歌曲榜单、音乐和视频网站以及维基百科(Wikipedia)


在社会学领域,研究者们通常认为存在两种集体记忆衰退机制,即交往记忆和文化记忆。而这次研究的一个重要发现,就是在集体记忆的衰退过程中,交往记忆和文化记忆是并存的


交往记忆(communicative memory)被定义为个体过往的经验,这种经验可以与其直接相关的群体成员分享。这种记忆一般通过非正式的各种传统和日常交往产生,在交互作用的 3~4 代之间滚动,大多只能存在80~100 年。也就是说,交往记忆是我们口口相传的记忆,并且消退得较快。


文化记忆(cultural memory)被外化、对象化并以符号的形式储存,这些符号形式是稳定的、超越情境的:,它们可以从一种情境向另一种情境迁移,并从一代传递给另一代。文化记忆以各种文本、图像、舞蹈、仪式和表演为中介,有较强的续航力。也就是说,文化记忆以书本等为载体进行传递,并且消退得较慢。



集体记忆衰退的双指数模型


该研究还发现,由于交往记忆和文化记忆的衰退速度不同,所以集体记忆的衰退可能存在两个不同的阶段:第一阶段,公众注意水平很高但是快速下降;公众注意水平下降到一定程度时进入第二阶段,这时公众注意的下降速率开始减小。据此,研究者们提出了双指数模型,结果表明,该模型能够比传统模型更好地展现集体记忆的衰退过程。



红色曲线代表了双指数函数(集体记忆的函数),浅蓝色曲线代表了交往记忆的函数,浅绿色曲线代表了文化记忆的函数。插图说明了集体记忆衰退的基本机制。| 图片来自论文



图 b(左):在初始交往记忆为1的情况下,查看了不同衰退参数对双指数模型的影响;

图 c(右):将双指数模型与传统的指数模型和对数正态模型进行了对比。

(图片来自论文)



“没有什么会永垂不朽”


那么关于不同类型资料的集体记忆的衰退过程是否相似呢?研究者们发现,在不同类型的资料中,双指数模型拟合得很好。这说明该模型是具有普遍适用性的。



红色实线是双指数模型的拟合曲线,灰色实线和虚线则是指数和对数正态模型的拟合曲线。A、B、C、D 是科学论文引用数据的拟合结果,E、F 是专利授予的拟合结果,横坐标是时间,纵坐标是平均新增引用次数;G、H 是歌曲的数据结果,横坐标是歌曲首次出现在告示牌流行金榜单曲前 100 名中的时间,纵坐标是标准化后的流行性指数;I 是电影的数据结果,横坐标是电影首次上映时间 ,纵坐标是标准化后的流行性指数;J、K、L 是运动员传记的数据结果,横坐标是网球运动员出现在 Top 600 男单选手榜单的时间/奥运奖牌获得者职业生涯中期时间/篮球运动员成为球星的时间,纵坐标是其传记在维基百科中的页面浏览量。| 图片来自论文


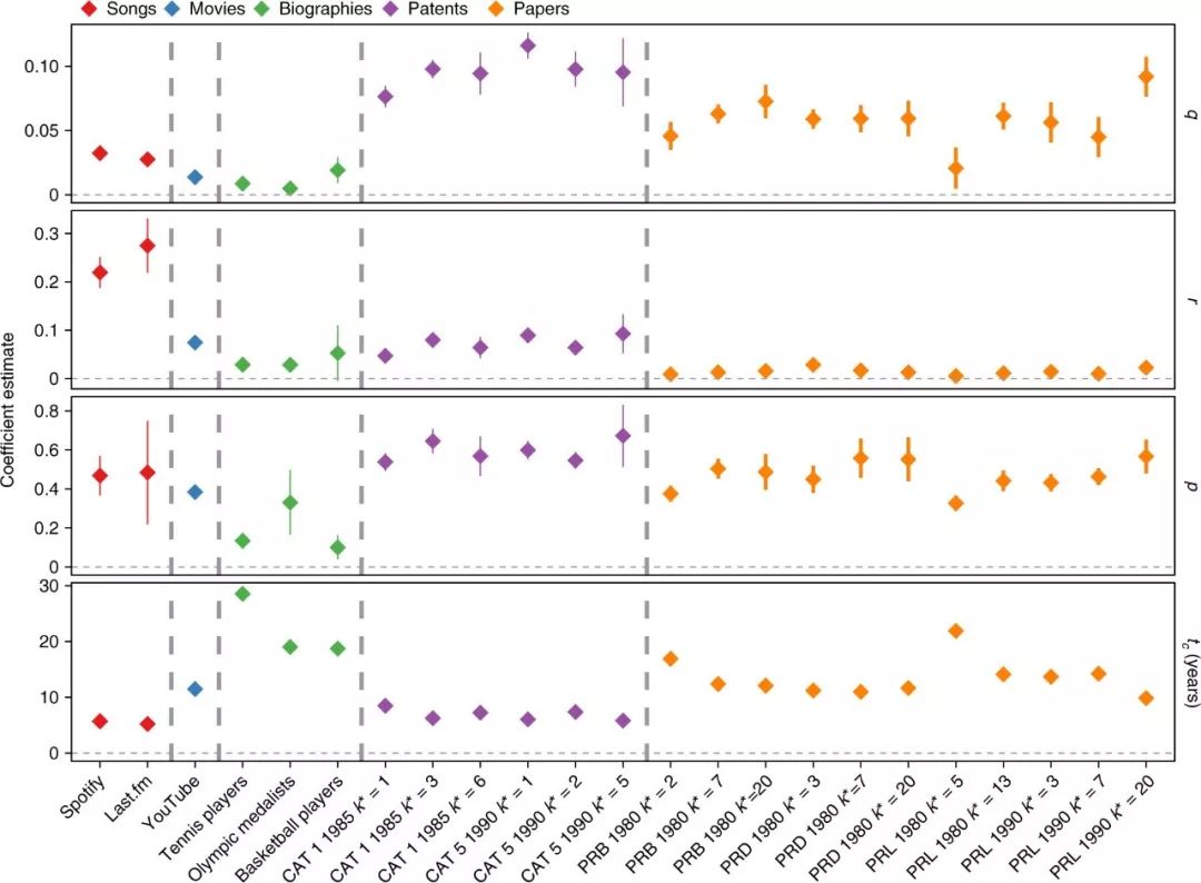
尽管关于不同类型资料的集体记忆衰退的趋势是相似的,但是研究者发现,它们衰减速度是存在差异的。例如,与关于传记的集体记忆相比,关于歌曲和电影的集体记忆衰退速度要快得多。



横坐标表示不同类型资料,纵坐标表示模型不同参数的拟合结果,其中 q、p 是分别是交往记忆和文化记忆随时间的衰退速率,r 是交往记忆向文化记忆的转换率,Tc 则是交往记忆强于文化记忆的临界时间。| 图片来自论文


尽管一些经典作品似乎能够超越时间,例如今天的一些年轻人也会听(年纪比他们还大的)披头士的歌,但论文第一作者克里斯蒂安·坎迪亚(Cristian Candia)指出,这类音乐已经很少出现在社交场合,在舞厅、酒吧和朋友聚会上播放得最多的仍然是当前流行的音乐。坎迪亚曾经是个实验物理学家,目前研究社会的复杂度。


至于专利和科学论文的生命周期,目前研究者们一致认为,思想和文化内容的传播主要受到两种机制的影响:首先是偏好依附(preferential attachment),即受欢迎的作品会越来越受欢迎,以往的研究证据支持了这一点;其次是时间衰减(temporal decay),即研究中观察到的两个衰退阶段。


1990 年发表在 Physical Review B 上的文章的平均被引次数与年份之间的函数关系。| 图片来自论文



人类为什么会遗忘


正如聂鲁达(Pablo Neruda)所言,“爱情太短,而遗忘太长(Es tan corto el amor, y tan largo el olvido)”,人类的集体记忆也遵循着相似的规律:短时间集中的关注和讨论之后,便是漫长而缓慢的遗忘。而在心理学角度,集体记忆的衰退可以从信息过载社会性共同提取诱发遗忘两方面进行解释。


心理学和脑科学的研究表明,我们在协同执行力和排除干扰方面的困难都受限于一个核心问题:保存信息的能力。我们保存信息的能力是有限的,当各种信息有如潮水般铺天盖地地向我们涌来时,我们就会感觉到力不从心。一旦我们的注意力被分散,结果往往是我们会丢失最初的信息,即在过载信息的冲刷中忘记了对于前一个事件的关注。


在社会情境下,当说者提取某些话题而不提取另外一些话题时, 可能导致听者遗忘与提取的信息相关但未被提及的信息,这种现象称为社会性共同提取诱发遗忘。这种遗忘并不一定意味着记忆痕迹的消失, 可能仅仅是记忆没有被成功地提取。当有相似的热点事件出现时,沉寂已久的“历史热点”可能会重新受到关注,比如 2013 年复旦大学投毒案的报道使马加爵事件和清华大学铊中毒事件重回公众视野。


本文来自微信公众号“科研圈”。如需转载,请在“科研圈”后台回复“转载”,或通过公众号菜单与我们取得联系。

参考资料

Cristian Candia, C. J.-F., Carlos Rodriguez-Sickert, Albert-László Barabási,&  César A. Hidalgo. (2018). The Universal Decay of Human Collective Memory. nature human behaviour.

克林贝里,周东,& 周建国. (2011). 超负荷的大脑: 信息过载与工作记忆的极限.

林娜, & 连榕. (2017). 集体记忆研究综述. 集美大学学报, 18(5), 25-28.

扬·阿斯曼, & 管小其. (2017). 交往记忆与文化记忆. 学术交流(1), 10-15.

白鹭, 毛伟宾, & 李治亚. (2016). 社会性记忆的新领域:社会性共同提取诱发遗忘. 心理科学进展, 24(5), 707-715.

汪新建, & 艾娟. (2009). 心理学视域的集体记忆研究. 南京师大学报(社会科学版)(3), 112-116.

霍斯特-阿尔弗雷德·海因里希, 韦雷娜·韦兰, & 杨威. (2017). 作为微观-中观-宏观关系的交往记忆与文化记忆. 学术交流(10), 5-14.

Cummins, E. (2018). How long can an event hold humanity's attention? There's an equation for that.. [online] Popsci.com. Available at: https://www.popsci.com/how-collective-memories-decay [Accessed 24 Dec. 2018].



阅读论文解读及推荐

点击👉关注领研网论文频道

▽ 精彩回顾 

登录查看更多
0

相关内容

【ICML2020】持续图神经网络,Continuous Graph Neural Networks
专知会员服务
151+阅读 · 2020年6月28日
深度学习可解释性研究进展
专知会员服务
103+阅读 · 2020年6月26日
【综述】交通流量预测,附15页论文下载
专知会员服务
132+阅读 · 2020年4月23日
专知会员服务
102+阅读 · 2020年3月19日
【学科交叉】抗生素发现的深度学习方法
专知会员服务
25+阅读 · 2020年2月23日
物理学家终于找到了一种拯救薛定谔猫的方法
中科院物理所
8+阅读 · 2019年6月10日
情感计算综述
人工智能学家
34+阅读 · 2019年4月6日
一文读懂LSTM和循环神经网络
七月在线实验室
8+阅读 · 2018年4月18日
NSR观点| 学习因果关系和基于因果性的学习
知社学术圈
17+阅读 · 2018年1月7日
人工智能可以预测女朋友什么时候生气吗?
中科院物理所
3+阅读 · 2017年11月22日
Do RNN and LSTM have Long Memory?
Arxiv
19+阅读 · 2020年6月10日
Arxiv
10+阅读 · 2020年2月15日
Arxiv
4+阅读 · 2018年10月31日
Physical Primitive Decomposition
Arxiv
4+阅读 · 2018年9月13日
Arxiv
8+阅读 · 2018年4月8日
VIP会员
相关VIP内容
相关资讯
物理学家终于找到了一种拯救薛定谔猫的方法
中科院物理所
8+阅读 · 2019年6月10日
情感计算综述
人工智能学家
34+阅读 · 2019年4月6日
一文读懂LSTM和循环神经网络
七月在线实验室
8+阅读 · 2018年4月18日
NSR观点| 学习因果关系和基于因果性的学习
知社学术圈
17+阅读 · 2018年1月7日
人工智能可以预测女朋友什么时候生气吗?
中科院物理所
3+阅读 · 2017年11月22日
相关论文
Do RNN and LSTM have Long Memory?
Arxiv
19+阅读 · 2020年6月10日
Arxiv
10+阅读 · 2020年2月15日
Arxiv
4+阅读 · 2018年10月31日
Physical Primitive Decomposition
Arxiv
4+阅读 · 2018年9月13日
Arxiv
8+阅读 · 2018年4月8日
Top
微信扫码咨询专知VIP会员