文本挖掘中特征选择(附python实现)

2018 年 5 月 22 日 七月在线实验室

机器学习算法的空间、时间复杂度依赖于输入数据的规模,维度规约(Dimensionality reduction)则是一种被用于降低输入数据维数的方法。维度规约可以分为两类:

  • 特征选择(feature selection),从原始的d维空间中,选择为我们提供信息最多的k个维(这k个维属于原始空间的子集)

  • 特征提取(feature extraction),将原始的d维空间映射到k维空间中(新的k维空间不输入原始空间的子集)


在文本挖掘与文本分类的有关问题中,常采用特征选择方法。原因是文本的特征一般都是单词(term),具有语义信息,使用特征选择找出的k维子集,仍然是单词作为特征,保留了语义信息,而特征提取则找k维新空间,将会丧失了语义信息。


对于一个语料而言,我们可以统计的信息包括文档频率和文档类比例,所有的特征选择方法均依赖于这两个统计量,目前,文本的特征选择方法主要有:DF, MI, IG, CHI,WLLR,WFO六种。


为了方便描述,我们首先一些概率上的定义:

p(t):一篇文档x包含特征词t的概率。

:文档x不属于Ci的概率。

p(Ci|t):已知文档x的包括某个特征词t条件下,该文档属于Ci的概率

: 已知文档属于Ci 条件下,该文档不包括特征词t的概率

类似的其他的一些概率如p(Ci), 等,有着类似的定义。

为了估计这些概率,我们需要通过统计训练样本的相关频率信息,如下表:

其中:

Aij: 包含特征词ti,并且类别属于Cj的文档数量    Bij: 包含特征词ti,并且类别属于不Cj的文档数量

Cij:不包含特征词ti,并且类别属于Cj的文档数量 Dij:不包含特征词ti,并且类别属于不Cj的文档数量

Aij + Bij: 包含特征词ti的文档数量;Cij  + Dij:不包含特征词ti的文档数量

Aij + Cij:Cj类的文档数量数据 ;Bij + Dij:非Cj类的文档数量数据

Aij + Bij + Cij  + Dij = N :语料中所有文档数量。


有了这些统计量,有关概率的估算就变得容易,如:

p(ti) =     (Aij + Bij) / N;    p(Cj) = (Aij +  Cij) / N;  

p(Cj|tj) = Aij  / (Aij + Bij)        

......类似的一些概率计算可以依照上表计算。


介绍了事情发展的前因,现在进入正题:常见的特征选择方法如何计算。

1)DF(Document Frequency)

DF:统计特征词出现的文档数量,用来衡量某个特征词的重要性,DF的定义如下:

DF的动机是,如果某些特征词在文档中经常出现,那么这个词就可能很重要。而对于在文档中出现很少(如仅在语料中出现1次)特征词,携带了很少的信息量,甚至是"噪声",这些特征词,对分类器学习影响也是很小。

DF特征选择方法属于无监督的学习算法(也有将其改成有监督的算法,但是大部分情况都作为无监督算法使用),仅考虑了频率因素而没有考虑类别因素,因此,DF算法的将会引入一些没有意义的词。如中文的"的"、"是", "个"等,常常具有很高的DF得分,但是,对分类并没有多大的意义。


2)MI(Mutual Information)

互信息法用于衡量特征词与文档类别直接的信息量,互信息法的定义如下:

继续推导MI的定义公式:

从上面的公式上看出:如果某个特征词的频率很低,那么互信息得分就会很大,因此互信息法倾向"低频"的特征词。相对的词频很高的词,得分就会变低,如果这词携带了很高的信息量,互信息法就会变得低效。


3)IG(Information Gain)

信息增益法,通过某个特征词的缺失与存在的两种情况下,语料中前后信息的增加,衡量某个特征词的重要性。

信息增益的定义如下:

依据IG的定义,每个特征词ti的IG得分前面一部分:计算值是一样,可以省略。因此,IG的计算公式如下:

IG与MI存在关系:

因此,IG方式实际上就是互信息与互信息加权。


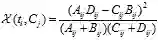
4)CHI(Chi-square)

CHI特征选择算法利用了统计学中的"假设检验"的基本思想:首先假设特征词与类别直接是不相关的,如果利用CHI分布计算出的检验值偏离阈值越大,那么更有信心否定原假设,接受原假设的备则假设:特征词与类别有着很高的关联度。CHI的定义如下:

对于一个给定的语料而言,文档的总数N以及Cj类文档的数量,非Cj类文档的数量,他们都是一个定值,因此CHI的计算公式可以简化为:

CHI特征选择方法,综合考虑文档频率与类别比例两个因素


5)WLLR(Weighted Log Likelihood Ration)

WLLR特征选择方法的定义如下:

  计算公式如下:


6)WFO(Weighted Frequency and Odds)

最后一个介绍的算法,是由苏大李寿山老师提出的算法。通过以上的五种算法的分析,李寿山老师认为,"好"的特征应该有以下特点:

  • 好的特征应该有较高的文档频率

  • 好的特征应该有较高的文档类别比例

WFO的算法定义如下:

如果

否则:

不同的语料,一般来说文档词频与文档的类别比例起的作用应该是不一样的,WFO方法可以通过调整参数,找出一个较好的特征选择依据。

 

介绍完理论部分,就要给出代码了。可以利用sklearn开源工具,自然先首先sklearn工具,可惜的是sklearn文本的特征选择方法仅提供了CHI一种。为此在sklearn框架下,尝试自己编写这些特征选择方法的代码,自己动手,丰衣足食。

笔者实现了三种特征选择方法:IG,MI和WLLR,看官如果对其他特征选择方法感兴趣,可以尝试实现一下~ 好了,啥也不说了,上代码,特征选择模块代码:

输出的结果:

从上面的图看出:分类的性能随着特征选择的数量的增加,呈现“凸”形趋势:1)在特征数量较少的情况下,不断增加特征的数量,有利于提高分类器的性能,呈现“上升”趋势;2)随着特征数量的不断增加,将会引入一些不重要的特征,甚至是噪声,因此,分类器的性能将会呈现“下降”的趋势。这张“凸”形趋势体现出了特征选择的重要性:选择出重要的特征,并降低噪声,提高算法的泛化能力。

《机器学习 第九期》从零到机器学习实战项目,提供GPU&CPU双云平台,作业考试1V1批改(优秀学员内推BAT等);点击文末“阅读原文”了解详情

登录查看更多
4

相关内容

特征选择( Feature Selection )也称特征子集选择( Feature Subset Selection , FSS ),或属性选择( Attribute Selection )。是指从已有的M个特征(Feature)中选择N个特征使得系统的特定指标最优化,是从原始特征中选择出一些最有效特征以降低数据集维度的过程,是提高学习算法性能的一个重要手段,也是模式识别中关键的数据预处理步骤。对于一个学习算法来说,好的学习样本是训练模型的关键。
【实用书】学习用Python编写代码进行数据分析,103页pdf
专知会员服务
198+阅读 · 2020年6月29日
【实用书】Python机器学习Scikit-Learn应用指南,247页pdf
专知会员服务
270+阅读 · 2020年6月10日
专知会员服务
175+阅读 · 2020年6月4日
【经典书】Python数据数据分析第二版,541页pdf
专知会员服务
197+阅读 · 2020年3月12日
【经典书】精通机器学习特征工程,中文版,178页pdf
专知会员服务
360+阅读 · 2020年2月15日
【新书】Python中的经典计算机科学问题,224页pdf
专知会员服务
149+阅读 · 2019年12月28日
【干货】--基于Python的文本情感分类
R语言中文社区
5+阅读 · 2018年1月5日
文本挖掘之特征选择(python 实现)
数据挖掘入门与实战
4+阅读 · 2017年7月19日
Arxiv
3+阅读 · 2019年3月1日
Arxiv
18+阅读 · 2019年1月16日
Efficient and Effective $L_0$ Feature Selection
Arxiv
5+阅读 · 2018年8月7日
Feature Selection Library (MATLAB Toolbox)
Arxiv
7+阅读 · 2018年8月6日
Arxiv
26+阅读 · 2018年2月27日
VIP会员
相关论文
Arxiv
3+阅读 · 2019年3月1日
Arxiv
18+阅读 · 2019年1月16日
Efficient and Effective $L_0$ Feature Selection
Arxiv
5+阅读 · 2018年8月7日
Feature Selection Library (MATLAB Toolbox)
Arxiv
7+阅读 · 2018年8月6日
Arxiv
26+阅读 · 2018年2月27日
Top
微信扫码咨询专知VIP会员