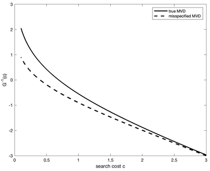
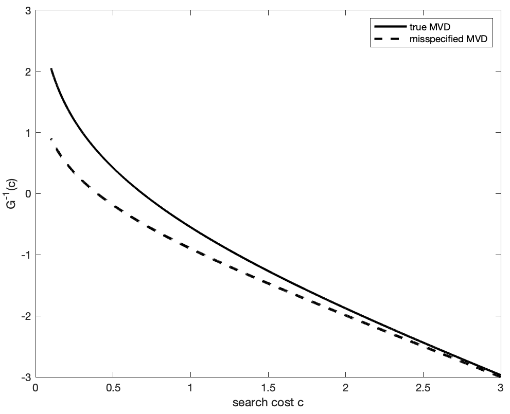
This paper studies sequential search models that (1) incorporate unobserved product quality, which can be correlated with endogenous observable characteristics (such as price) and endogenous search cost variables (such as product rankings in online search intermediaries); and (2) do not require researchers to know the true distribution of the match value between consumers and products. A likelihood approach to estimate such models gives biased results. Therefore, I propose a new estimator -- pairwise maximum rank (PMR) estimator -- for both preference and search cost parameters. I show that the PMR estimator is consistent using only data on consumers' search order among one pair of products rather than data on consumers' full consideration set or final purchase. Additionally, we can use the PMR estimator to test for the true match value distribution in the data. In the empirical application, I apply the PMR estimator to quantify the effect of rankings in Expedia hotel search using two samples of the data set, to which consumers are randomly assigned. I find the position effect to be \$0.11-\$0.36, and the effect estimated using the sample with randomly generated rankings is close to the effect estimated using the sample with endogenous rankings. Moreover, I find that the true match value distribution in the data is unlikely to be N(0,1). Likelihood estimation ignoring endogeneity gives an upward bias of at least \$1.17; misspecification of match value distribution as N(0,1) gives an upward bias of at least \$2.99.


翻译:本文研究以下顺序搜索模型:(1) 包含未观测的产品质量,这可以与内生可观测特性(如价格)和内生搜索成本变量(如在线搜索中介产品排名)相关;(2) 不要求研究人员了解消费者和产品之间匹配值的真正分布; 估计这种模型的概率方法会产生偏差结果。 因此, 我提议为偏好和搜索成本参数设置一个新的估计值 -- -- 双向最高等级(PMR)估计值 -- -- 既包括偏好,也包括搜索成本参数。 我表明, PMR(估计值)是一致的,仅使用一对产品消费者搜索订单的数据(如价格)和内生搜索成本变量(如在线搜索中介产品排名);(2) 我们可使用PMR估计值来测试数据中真正匹配值分布的真实分布情况。 在实验应用程序中,我应用PMR估计值来量化Expedia旅馆搜索排名的影响,使用两个样本,而消费者最不随机指派的数据集。 我发现,其位置为0.11\0.36美元,而使用抽样估计的准确排序的结果是最低数值。

0
下载
关闭预览

相关内容

专知会员服务
16+阅读 · 2021年5月21日
专知会员服务
41+阅读 · 2020年9月6日
强化学习最新教程,17页pdf
专知会员服务
182+阅读 · 2019年10月11日
机器学习入门的经验与建议
专知会员服务
94+阅读 · 2019年10月10日
知识图谱本体结构构建论文合集
专知会员服务
110+阅读 · 2019年10月9日
【SIGGRAPH2019】TensorFlow 2.0深度学习计算机图形学应用
专知会员服务
41+阅读 · 2019年10月9日
已删除
将门创投
8+阅读 · 2017年7月21日
Arxiv
3+阅读 · 2018年10月18日
Implicit Maximum Likelihood Estimation
Arxiv
7+阅读 · 2018年9月24日
Arxiv
3+阅读 · 2018年2月24日
VIP会员
相关VIP内容
相关资讯
已删除
将门创投
8+阅读 · 2017年7月21日
Top
微信扫码咨询专知VIP会员