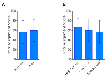
There is a burgeoning trend of smartphone ownership in Africa due to the low costs of Android smartphones and the global increase in social media usage. Building upon previous works that introduced a smartphone-based coding course to secondary and tertiary students in Ghana via an in-person program and an online course, this work introduced Africans in 37 countries to our online smartphone-based course in 2019. Students in this 8-week course read lesson notes, submitted assignments, collaborated with peers, and facilitators in an online forum and completed open and closed-ended surveys after the course. We performed qualitative and quantitative analyses on the data from the course. Out of the 709 students that applied, 210 were officially admitted to the course after passing the preliminary assignments. And at the end of the course, 72% of the 210 students completed the course. Additionally, students' assignment submissions and self-reports showed an understanding of the programming concepts, with comparable performance between males and females and across educational levels. Also, students mentioned that the lesson notes were easy to understand and they enjoyed the experience of writing code on their smartphones. Moreover, students adequately received help from peers and facilitators in the course forum. Lastly, results of a survey sent to students a year after completing this program showed that they had developed various applications, wrote online tutorials, and learned several tools and technologies. We were successful at introducing coding skills to Africans using smartphones through SuaCode Africa.


翻译:由于Android智能手机成本低,以及全球社交媒体使用量的增加,非洲出现了智能手机拥有权的迅速增长趋势。根据以前通过面对面方案和在线课程向加纳中、大中学生引入智能电话编码课程的工作,这项工作在2019年通过面对面方案和在线课程向加纳中学生引入了37个国家的非洲人在线智能手机课程。这个为期8周的课程的学生阅读了课程说明,提交了任务,在网上论坛与同龄人和调解人合作,完成了开放和封闭的调查。我们对该课程的数据进行了定性和定量分析。在应用的709名学生中,有210名学生在通过初步任务后被正式录取了课程。在课程结束时,210名学生中有72%完成了课程。此外,学生派任教书和自我报告显示了对方案编制概念的理解,男性和女性之间以及教育层面的类似表现。学生们提到,这些课程说明很容易理解,他们也享受了自己在智能手机上写代码的经验。此外,在应用初步任务完成后,学生们从同侪和调解人那里获得了帮助,在课程应用中学习了各种技能。最后,学习了非洲学习了几个非洲学习工具。

0
下载
关闭预览

相关内容

专知会员服务
124+阅读 · 2020年9月8日
开源书:PyTorch深度学习起步
专知会员服务
51+阅读 · 2019年10月11日
强化学习最新教程,17页pdf
专知会员服务
182+阅读 · 2019年10月11日
[综述]深度学习下的场景文本检测与识别
专知会员服务
78+阅读 · 2019年10月10日
机器学习入门的经验与建议
专知会员服务
94+阅读 · 2019年10月10日
【哈佛大学商学院课程Fall 2019】机器学习可解释性
专知会员服务
105+阅读 · 2019年10月9日
【SIGGRAPH2019】TensorFlow 2.0深度学习计算机图形学应用
专知会员服务
41+阅读 · 2019年10月9日
机器学习在材料科学中的应用综述,21页pdf
专知会员服务
50+阅读 · 2019年9月24日
Call for Participation: Shared Tasks in NLPCC 2019
中国计算机学会
5+阅读 · 2019年3月22日
人工智能 | SCI期刊专刊信息3条
Call4Papers
5+阅读 · 2019年1月10日
大数据 | 顶级SCI期刊专刊/国际会议信息7条
Call4Papers
10+阅读 · 2018年12月29日
A Technical Overview of AI & ML in 2018 & Trends for 2019
待字闺中
18+阅读 · 2018年12月24日
计算机类 | 期刊专刊截稿信息9条
Call4Papers
4+阅读 · 2018年1月26日
【推荐】用TensorFlow实现LSTM社交对话股市情感分析
机器学习研究会
11+阅读 · 2018年1月14日
【推荐】用Python/OpenCV实现增强现实
机器学习研究会
15+阅读 · 2017年11月16日
Adversarial Variational Bayes: Unifying VAE and GAN 代码
CreateAMind
7+阅读 · 2017年10月4日
【推荐】RNN/LSTM时序预测
机器学习研究会
25+阅读 · 2017年9月8日
【推荐】SVM实例教程
机器学习研究会
17+阅读 · 2017年8月26日
Arxiv
0+阅读 · 2021年9月24日
VIP会员
相关VIP内容
专知会员服务
124+阅读 · 2020年9月8日
开源书:PyTorch深度学习起步
专知会员服务
51+阅读 · 2019年10月11日
强化学习最新教程,17页pdf
专知会员服务
182+阅读 · 2019年10月11日
[综述]深度学习下的场景文本检测与识别
专知会员服务
78+阅读 · 2019年10月10日
机器学习入门的经验与建议
专知会员服务
94+阅读 · 2019年10月10日
【哈佛大学商学院课程Fall 2019】机器学习可解释性
专知会员服务
105+阅读 · 2019年10月9日
【SIGGRAPH2019】TensorFlow 2.0深度学习计算机图形学应用
专知会员服务
41+阅读 · 2019年10月9日
机器学习在材料科学中的应用综述,21页pdf
专知会员服务
50+阅读 · 2019年9月24日
相关资讯
Call for Participation: Shared Tasks in NLPCC 2019
中国计算机学会
5+阅读 · 2019年3月22日
人工智能 | SCI期刊专刊信息3条
Call4Papers
5+阅读 · 2019年1月10日
大数据 | 顶级SCI期刊专刊/国际会议信息7条
Call4Papers
10+阅读 · 2018年12月29日
A Technical Overview of AI & ML in 2018 & Trends for 2019
待字闺中
18+阅读 · 2018年12月24日
计算机类 | 期刊专刊截稿信息9条
Call4Papers
4+阅读 · 2018年1月26日
【推荐】用TensorFlow实现LSTM社交对话股市情感分析
机器学习研究会
11+阅读 · 2018年1月14日
【推荐】用Python/OpenCV实现增强现实
机器学习研究会
15+阅读 · 2017年11月16日
Adversarial Variational Bayes: Unifying VAE and GAN 代码
CreateAMind
7+阅读 · 2017年10月4日
【推荐】RNN/LSTM时序预测
机器学习研究会
25+阅读 · 2017年9月8日
【推荐】SVM实例教程
机器学习研究会
17+阅读 · 2017年8月26日
Top
微信扫码咨询专知VIP会员