「过拟合」也能废物利用了:有人用它高清重建3D物体表面,参数减少99%

2020 年 9 月 26 日 量子位
鱼羊 发自 凹非寺
量子位 报道 | 公众号 QbitAI

听到过拟合三个字,大部分机器学习研究者都会如临大敌。

毕竟没有人会希望自家模型崽崽,脱离了题集范围就不会考试了。

但现在,多伦多大学和麦吉尔大学的一项最新研究表明,过拟合也并非一无是处。

比如在重建3D物体外观上,过拟合神经网络就有奇效。

用过拟合神经网络重塑物体形状

有向距离场SDF(signed distance field)是计算机图形学中,常见的一种隐式曲面表示方法。

可以无损放大渲染字体:

还能实现极具真实感的的着色和光照效果:

不过,如果要用SDF来存储具有复杂细节的物体外观,则将面临无法进行扩展的问题。

此前已有研究证明,神经网络是3D物体SDF的有效近似。于是,多伦多大学和麦吉尔大学的研究人员们开了个脑洞:

能不能带有目的性地去过拟合一个单一3D物体表面的SDF表示?

换句话说,就是能否让过拟合神经网络,作为一种隐式形状表示,来高精度重建3D物体的外观?

这个可以有。

网络结构

研究人员们首先打造了一个N层前馈全连接网络,其隐藏层大小为H,隐藏层激活函数为ReLU,而输出层则由TanH激活。

需要注意的是,虽然增大网络深度和宽度会得到更好的结果,但也会使得内存占用和渲染时间倍增。

经过测试,研究人员发现当N为8,H为32时,网络能在重建精度、渲染速度和内存占用之间取得良好的平衡。

这一架构与前辈方法DeepSDF的默认架构相比,参数数量减少了99%,渲染第一帧的速度加快了93%,仅需要64kB内存,同时重建质量的损失仍在可接受范围之内。

网络的输入为给定对象的SDF点样本,输出则为网络预测的每个输入点的有向距离。

研究人员将这一网络结构命名为OVERFITSDF

采样策略和损失函数

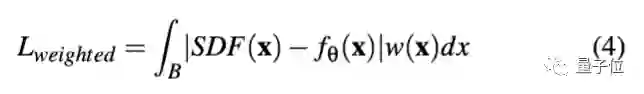
为了让过拟合神经网络能在相同的存储成本下,实现更高的精度。研究人员还精心设计了采样策略和损失函数。

采样策略上,研究人员没有采用随机采样的方案,而是集中关注对边界转换更具「信息量」的点。

具体而言,就是根据点到输入形状表面的距离,来进行采样。

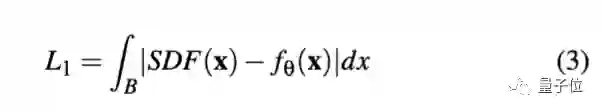
而在损失函数方面,研究人员采用简单的最小绝对偏差(L1)作为损失函数。他们发现,与平方误差(L2)相比,其表面重建效果会更好。

该方法根据重要性度量w(x),对损失函数进行缩放,这样重要性小的训练样本对损失的影响也就较小。

如此,就可以赋予指定区域(如更接近表面的样本点)更高的影响权重。也能够根据需求提高局部区域的重建精度。

有向距离

另外,研究人员采用广义缠绕数而非法线来标记距离方向,这样就能够处理带有自交点、开放边界、非流形的网格,在补习生网格真实拓扑结构的情况下,大大降低了模型的复杂性。

实验结果

那么,用OVERFITSDF替代真实的SDF,效果究竟如何呢?

实验证明,此前的SOTA方法DeepSDF的重建质量,会因为几何结构没有对齐到默认方向而受到明显影响。

但OVERFITSDF无论方向如何,都会收敛到相同的精度。

而在同样的内存预算下,无论是和原始三角形网格(下图左)相比,还是和统一有向距离网格(下图中)相比,该方法(下图右)都具有更强的表现力。

传送门

论文地址:
https://arxiv.org/abs/2009.09808

本文系网易新闻•网易号特色内容激励计划签约账号【量子位】原创内容,未经账号授权,禁止随意转载。

CNCC2020 |  图灵奖得主、院士、名企专家将做特邀报告

CNCC2020将于 10月22-24日北京新世纪日航饭店(主会场)、多个城市分会场以及 线上举行。首批特邀讲者官宣确认,图灵奖得主、院士、名企专家将在CNCC2020做特邀报告。
早鸟票即将售罄,欢迎报名参与~


量子位 QbitAI · 头条号签约作者


վ'ᴗ' ի 追踪AI技术和产品新动态


一键三连「分享」、「点赞」和「在看」

科技前沿进展日日相见~



登录查看更多
0

相关内容

过拟合,在AI领域多指机器学习得到模型太过复杂,导致在训练集上表现很好,然而在测试集上却不尽人意。过拟合(over-fitting)也称为过学习,它的直观表现是算法在训练集上表现好,但在测试集上表现不好,泛化性能差。过拟合是在模型参数拟合过程中由于训练数据包含抽样误差,在训练时复杂的模型将抽样误差也进行了拟合导致的。
专知会员服务
29+阅读 · 2020年10月24日
专知会员服务
18+阅读 · 2020年10月18日
【CVPR 2020-商汤】8比特数值也能训练卷积神经网络模型
专知会员服务
26+阅读 · 2020年5月7日
【ACL2020-伯克利】预训练Transformer提高分布外鲁棒性
专知会员服务
20+阅读 · 2020年4月14日
从零开始一起学习SLAM | 点云到网格的进化
计算机视觉life
13+阅读 · 2019年1月9日
DeOldify:用GAN为黑白照片重新着色
论智
33+阅读 · 2018年11月2日
用缩放CNN消除反卷积带来的棋盘伪影
论智
19+阅读 · 2018年10月30日
深度图像先验:无需学习即可生成新图像
论智
45+阅读 · 2017年12月4日
RAFT-3D: Scene Flow using Rigid-Motion Embeddings
Arxiv
0+阅读 · 2020年12月1日
Arxiv
0+阅读 · 2020年11月30日
Arxiv
4+阅读 · 2020年3月27日
Mesh R-CNN
Arxiv
4+阅读 · 2019年6月6日
Panoptic Feature Pyramid Networks
Arxiv
3+阅读 · 2019年1月8日
Two Stream 3D Semantic Scene Completion
Arxiv
4+阅读 · 2018年7月16日
VIP会员
相关论文
RAFT-3D: Scene Flow using Rigid-Motion Embeddings
Arxiv
0+阅读 · 2020年12月1日
Arxiv
0+阅读 · 2020年11月30日
Arxiv
4+阅读 · 2020年3月27日
Mesh R-CNN
Arxiv
4+阅读 · 2019年6月6日
Panoptic Feature Pyramid Networks
Arxiv
3+阅读 · 2019年1月8日
Two Stream 3D Semantic Scene Completion
Arxiv
4+阅读 · 2018年7月16日
Top
微信扫码咨询专知VIP会员