【迁移学习】迁移学习的干货学习资料 | 干货分享 | 技术解读

2018 年 1 月 2 日 产业智能官 CSDN:linolzhang

一. 了解迁移学习

       迁移学习(Transfer Learning)目标是将从一个环境中学到的知识用来帮助新环境中的学习任务。 

           > The ability of a system to recognize and apply knowledge and skills learned in previous tasks to novel tasks。

       入门推荐一篇公认的比较好的 【Survey】: A Survey on Transfer Learning,Sinno JialinPan, Qiang Yang,IEEE Trans

       另外,戴文渊的硕士学位论文也可以看一下:基于实例和特征的迁移学习算法研究


       Survey 作者归纳了 Transfer Learning 相关的知识域,有必要了解一下这些名词:

● Learning学习 - learning to learn

● 终身学习 - life-long learning

● 知识转移 - knowledge transfer

● 归纳迁移 - inductive transfer

● 多任务学习 - multi-task learning

● 知识的巩固 - knowledge consolidation

● 上下文相关学习 - context sensitive learning

● 基于知识的归纳偏差 - knowledge-based inductive bias

● 元学习 - meta learning

● 增量学习 - and incremental/cumulative learning


       另外,进展及 Open Source Toolkit 可以参考:http://www.cse.ust.hk/TL/index.html



二. 迁移学习分类

       迁移学习(Transfer Learning)根据 领域 和 任务的相似性,可以这样划分: 

        

        我们根据 源Domain和目前Domain 之间的关系,源Task 和 目标Task之间的关系,以及任务方法更详细的整理为下表:



 源Domain &

 目标Domain 

  源Task &

 目标Task

 源Data & 目标Data

   任务方法     

传统机器学习

 相同

  相同

  有标签 | 有标签


迁移学习 

 归纳式迁移学习

 相同/相关

  相关

 多任务学习 - 有标签 | 有标签

 自我学习    - 无标签 | 有标签

  分类回归

 直推式迁移学习

 相关

  相同

  有标签 | 无标签

  分类回归

 无监督迁移学习

 相关

  相关

  无标签 | 无标签

  聚类降维


       实际上,归纳式迁移学习 是应用最广泛的一种方法,从这点上看,迁移学习更适合 有标签的应用域。

       根据技术方法,我们将迁移学习的方法划分为:



  说明

 归纳式 

 直推式 

 无监督 

基于样本

的迁移学习

  通过调整 源Domain的标签(辅助) 和 目标Domain标签的权重,协同训练得到目标模型。

  典型方法:TrAdaBoost

 √

 √


基于特征

的迁移学习

  找到 “好”特征 来减少源Domain和目标Domain之间的不同,能够降低分类、回归误差。

  典型方法:Self-taught learning,multi-task structure learning

 √

 √

 √

基于参数

的迁移学习

  发现源Domain和目标Domain之间的共享参数或先验关系。

  典型方法:Learning to learn,Regularized multi-task learning

 √



基于相关性

的迁移学习

  建立源Domain和目标Domain之间的相关知识映射。

  典型方法:Mapping 方法

 √




       迁移学习方法虽然在学术有很多研究工作,实际上在应用领域并不算成熟,这本身就是一个很大的命题,关于迁移学习的条件 和 本质也并未形成一套正统的体系来引领研究方向,更多的也是在实验摸索。

       迁移学习 目前面临如下几个问题:

1. 哪种情况适合做迁移学习? - What

    这里先给个自己的理解:

        分类和回归问题是比较适合做迁移学习的场景,有标签的源数据是最好的辅助。

2. 该选择哪种方法? - Which

    简单而行之有效的方法是首选,领域在快速发展,也不必拘泥算法本身,改善结果才是硬道理。

3. 如何避免负迁移? - How

    迁移学习的目标是改善目标域的 Task效果,这里面 负迁移(Negative Transfer)是很多研究者面临的一个问题,如何得到行之有效的改进,避免负迁移是需要大家去评估和权衡的。


三. 经典算法 TrAdaBoost

       TrAdaBoost 算法是基于 样本迁移的 开山之作,由 戴文渊 提出,有着足够的影响力放在第一位来进行讲解。

       论文下载:Boosting for Transfer Learning


       算法的基本思想是 从源 Domain 数据中 筛选有效数据,过滤掉与目标 Domain 不match的数据,通过 Boosting方法建立一种权重调整机制,增加有效数据权重,降低无效数据权重,下图是 TrAdaBoost 算法的示意图(截图来自于  庄福振 - 迁移学习研究进展):

        

       TrAdaBoost 算法比较简单,用一句话概括就是 从过期数据里面 找出和目标数据最接近的样本数据。

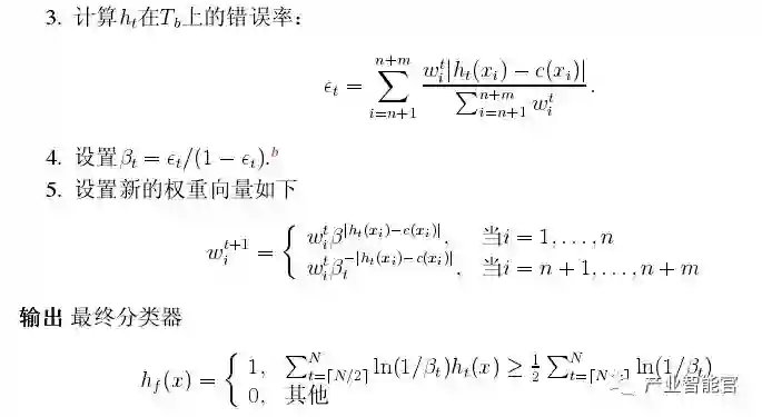
       来看 TrAdaBoost 的算法步骤:

        

     

       这里需要说明的一点就是 权重的更新方式,对于辅助样本来讲,预测值和标签越接近,权重越大;而对于目标数据则是相反,预测值和标签差异越大,权重越大。这种策略狠容易理解,我们想找到辅助样本中 和 目标数据分布最接近的样本,同时放大目标样本Loss的影响,那么理想的结果就是:

       目标样本预测值与标签尽量匹配(不放过一个没匹配好的数据),辅助样本在前面的基础上筛选出最 match(权重大的) 的部分。

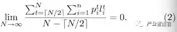
       作者在后面给出了理论证明,这里有两个公式(来证明算法收敛):

         

          

        因篇幅问题,这里就不再展开了(和作者说的一样),有兴趣可以参考原Paper,看下实验结果:

        

        实验发现,当 同分布数据(目标数据)占比当低于0.1时,算法效果明显,当比例超过 0.1时,TrBoost 退化为 SVM 的效果

       这又是一个显而易见的结论,我们认为大于0.1时,仅仅依靠 目前数据就足够完成样本训练,这种情况下,辅助样本的贡献可以忽略。

       另外,当 目标数据 和 辅助数据 差别比较大时,该方法是不 Work的,印证了最初的假设,这里不再展开证明。

       最后,给出网友提供的C代码:【下载地址】


四. 多任务学习

       多任务学习(Multi-Task Learning, MTL)是一种同时学习多个任务的机器学习方法,该方法由来已久,和深度学习没什么关系。

       如果非要把它 和深度学习加上一个 link,我们可以这样来表示:

       input1 -> Hidden1-> H1-> Out1                          input1                                       -> Out1

       input2 -> Hidden2-> H2-> Out2         ==>          input2 -> Hidden123 -> H123   -> Out2

       input3 -> Hidden3-> H3-> Out3                         input3                                        -> Out3

       也比较好理解,相当于把多个 Task网络进行合并,同时训练多个任务,这种情况并不鲜见,比如以下2个方向:

1)目标检测 - 复合多任务

    目标检测是 分类问题+回归问题的组合,这是一个典型的 Multi-Task,比如:

        Detection=Classification+Location

        Mask RCNN = Classification+Location+Segmentation

    检测问题前面描述的比较多了,这里就不再贴图了。

2)特征提取 

    多任务特征提取,多个输出,这一类问题代表就是 数据结构化,特征识别。

    下图是港中文 汤晓鸥组发表的TCDCN(Facial Landmark Detection by Deep Multi-task Learning),很多讲 Multi-Task的软文都拿出来说,我们也借用一下。

    在这里 Multi-Task 被同时用作 人脸关键点定位、姿态估计和属性预测(比如性别、年龄、人种、微笑?戴眼镜?)

        


       多任务学习适用于这样的情况:

1)多个任务之间存在关联,比如行人和车辆检测,对于深度网络也可以理解为有部分共同的网络结构;

2)每个独立任务的训练数据比较少,单独训练无法有效收敛;

3)多个任务之间存在相关性信息,单独训练时无法有效挖掘;

       可以看一下这篇 Tutorial:www.public.asu.edu/~jye02/Software/MALSAR/MTL-SDM12.pdf

       关于多任务学习的应用,比如 分类任务下的二级分类,人脸识别等,大家可以更进一步了解。


 

人工智能赛博物理操作系统

AI-CPS OS

人工智能赛博物理操作系统新一代技术+商业操作系统“AI-CPS OS:云计算+大数据+物联网+区块链+人工智能)分支用来的今天,企业领导者必须了解如何将“技术”全面渗入整个公司、产品等“商业”场景中,利用AI-CPS OS形成数字化+智能化力量,实现行业的重新布局、企业的重新构建和自我的焕然新生。


AI-CPS OS的真正价值并不来自构成技术或功能,而是要以一种传递独特竞争优势的方式将自动化+信息化、智造+产品+服务数据+分析一体化,这种整合方式能够释放新的业务和运营模式。如果不能实现跨功能的更大规模融合,没有颠覆现状的意愿,这些将不可能实现。


领导者无法依靠某种单一战略方法来应对多维度的数字化变革。面对新一代技术+商业操作系统AI-CPS OS颠覆性的数字化+智能化力量,领导者必须在行业、企业与个人这三个层面都保持领先地位:

  1. 重新行业布局:你的世界观要怎样改变才算足够?你必须对行业典范进行怎样的反思?

  2. 重新构建企业:你的企业需要做出什么样的变化?你准备如何重新定义你的公司?

  3. 重新打造自己:你需要成为怎样的人?要重塑自己并在数字化+智能化时代保有领先地位,你必须如何去做?

AI-CPS OS是数字化智能化创新平台,设计思路是将大数据、物联网、区块链和人工智能等无缝整合在云端,可以帮助企业将创新成果融入自身业务体系,实现各个前沿技术在云端的优势协同。AI-CPS OS形成的字化+智能化力量与行业、企业及个人三个层面的交叉,形成了领导力模式,使数字化融入到领导者所在企业与领导方式的核心位置:

  1. 精细种力量能够使人在更加真实、细致的层面观察与感知现实世界和数字化世界正在发生的一切,进而理解和更加精细地进行产品个性化控制、微观业务场景事件和结果控制。

  2. 智能:模型随着时间(数据)的变化而变化,整个系统就具备了智能(自学习)的能力。

  3. 高效:企业需要建立实时或者准实时的数据采集传输、模型预测和响应决策能力,这样智能就从批量性、阶段性的行为变成一个可以实时触达的行为。

  4. 不确定性:数字化变更颠覆和改变了领导者曾经仰仗的思维方式、结构和实践经验,其结果就是形成了复合不确定性这种颠覆性力量。主要的不确定性蕴含于三个领域:技术、文化、制度。

  5. 边界模糊:数字世界与现实世界的不断融合成CPS不仅让人们所知行业的核心产品、经济学定理和可能性都产生了变化,还模糊了不同行业间的界限。这种效应正在向生态系统、企业、客户、产品快速蔓延。

AI-CPS OS形成的数字化+智能化力量通过三个方式激发经济增长:

  1. 创造虚拟劳动力,承担需要适应性和敏捷性的复杂任务,即“智能自动化”,以区别于传统的自动化解决方案;

  2. 对现有劳动力和实物资产进行有利的补充和提升,提高资本效率

  3. 人工智能的普及,将推动多行业的相关创新,开辟崭新的经济增长空间


给决策制定者和商业领袖的建议:

  1. 超越自动化,开启新创新模式:利用具有自主学习和自我控制能力的动态机器智能,为企业创造新商机;

  2. 迎接新一代信息技术,迎接人工智能:无缝整合人类智慧与机器智能,重新

    评估未来的知识和技能类型;

  3. 制定道德规范:切实为人工智能生态系统制定道德准则,并在智能机器的开

    发过程中确定更加明晰的标准和最佳实践;

  4. 重视再分配效应:对人工智能可能带来的冲击做好准备,制定战略帮助面临

    较高失业风险的人群;

  5. 开发数字化+智能化企业所需新能力:员工团队需要积极掌握判断、沟通及想象力和创造力等人类所特有的重要能力。对于中国企业来说,创造兼具包容性和多样性的文化也非常重要。


子曰:“君子和而不同,小人同而不和。”  《论语·子路》云计算、大数据、物联网、区块链和 人工智能,像君子一般融合,一起体现科技就是生产力。


如果说上一次哥伦布地理大发现,拓展的是人类的物理空间。那么这一次地理大发现,拓展的就是人们的数字空间。在数学空间,建立新的商业文明,从而发现新的创富模式,为人类社会带来新的财富空间。云计算,大数据、物联网和区块链,是进入这个数字空间的船,而人工智能就是那船上的帆,哥伦布之帆!


新一代技术+商业的人工智能赛博物理操作系统AI-CPS OS作为新一轮产业变革的核心驱动力,将进一步释放历次科技革命和产业变革积蓄的巨大能量,并创造新的强大引擎。重构生产、分配、交换、消费等经济活动各环节,形成从宏观到微观各领域的智能化新需求,催生新技术、新产品、新产业、新业态、新模式。引发经济结构重大变革,深刻改变人类生产生活方式和思维模式,实现社会生产力的整体跃升。





产业智能官  AI-CPS



用“人工智能赛博物理操作系统新一代技术+商业操作系统“AI-CPS OS:云计算+大数据+物联网+区块链+人工智能)在场景中构建状态感知-实时分析-自主决策-精准执行-学习提升的认知计算和机器智能;实现产业转型升级、DT驱动业务、价值创新创造的产业互联生态链






长按上方二维码关注微信公众号: AI-CPS,更多信息回复:


新技术“云计算”、“大数据”、“物联网”、“区块链”、“人工智能新产业:智能制造”、“智能农业”、“智能金融”、“智能零售”、“智能城市、“智能驾驶”新模式:“财富空间、“数据科学家”、“赛博物理”、“供应链金融”


官方网站:AI-CPS.NET


本文系“产业智能官”(公众号ID:AI-CPS)收集整理,转载请注明出处!



版权声明产业智能官(公众号ID:AI-CPS推荐的文章,除非确实无法确认,我们都会注明作者和来源。部分文章推送时未能与原作者取得联系。若涉及版权问题,烦请原作者联系我们,与您共同协商解决。联系、投稿邮箱:erp_vip@hotmail.com





登录查看更多
15

相关内容

迁移学习(Transfer Learning)是一种机器学习方法,是把一个领域(即源领域)的知识,迁移到另外一个领域(即目标领域),使得目标领域能够取得更好的学习效果。迁移学习(TL)是机器学习(ML)中的一个研究问题,着重于存储在解决一个问题时获得的知识并将其应用于另一个但相关的问题。例如,在学习识别汽车时获得的知识可以在尝试识别卡车时应用。尽管这两个领域之间的正式联系是有限的,但这一领域的研究与心理学文献关于学习转移的悠久历史有关。从实践的角度来看,为学习新任务而重用或转移先前学习的任务中的信息可能会显着提高强化学习代理的样本效率。

知识荟萃

精品入门和进阶教程、论文和代码整理等

更多

查看相关VIP内容、论文、资讯等
【DeepMind推荐】居家学习的人工智能干货资源大全集
专知会员服务
112+阅读 · 2020年6月27日
【教程】自然语言处理中的迁移学习原理,41 页PPT
专知会员服务
96+阅读 · 2020年2月8日
《迁移学习简明手册》,93页pdf
专知会员服务
137+阅读 · 2019年12月9日
新加坡南洋理工最新37页《零样本学习综述》论文
专知会员服务
114+阅读 · 2019年10月20日
NLP领域中的迁移学习现状
AI科技评论
7+阅读 · 2019年9月1日
计算机视觉中深度迁移学习,165页PPT
专知
23+阅读 · 2019年8月18日
一文了解迁移学习经典算法
AI100
11+阅读 · 2018年8月4日
迁移学习之Domain Adaptation
全球人工智能
18+阅读 · 2018年4月11日
论文 | 2017CIKM - 迁移学习专题论文分享
机器学习研究会
6+阅读 · 2017年12月22日
【回顾】迁移学习的发展和现状
AI研习社
8+阅读 · 2017年11月17日
独家 | 一文读懂迁移学习(附学习工具包)
数据派THU
13+阅读 · 2017年7月13日
Arxiv
5+阅读 · 2020年3月17日
Transfer Adaptation Learning: A Decade Survey
Arxiv
37+阅读 · 2019年3月12日
Adversarial Transfer Learning
Arxiv
12+阅读 · 2018年12月6日
Learning to Focus when Ranking Answers
Arxiv
5+阅读 · 2018年8月8日
VIP会员
相关VIP内容
相关资讯
NLP领域中的迁移学习现状
AI科技评论
7+阅读 · 2019年9月1日
计算机视觉中深度迁移学习,165页PPT
专知
23+阅读 · 2019年8月18日
一文了解迁移学习经典算法
AI100
11+阅读 · 2018年8月4日
迁移学习之Domain Adaptation
全球人工智能
18+阅读 · 2018年4月11日
论文 | 2017CIKM - 迁移学习专题论文分享
机器学习研究会
6+阅读 · 2017年12月22日
【回顾】迁移学习的发展和现状
AI研习社
8+阅读 · 2017年11月17日
独家 | 一文读懂迁移学习(附学习工具包)
数据派THU
13+阅读 · 2017年7月13日
Top
微信扫码咨询专知VIP会员