物理英才‖曹则贤带你解析大自然的花样

2018 年 11 月 9 日 中国物理学会期刊网
经授权转载 中国科学院大学 ”微信 公众号


本期主讲人:曹则贤, 1987年毕业于中国科技大学物理系,1997年获德国Kaiserslautern大学物理学博士学位, 1998年加入中国科学院物理所;入选中科院“百人计划”,科技部“973”项目首席科学家,在Science,APL, PNAS, PRL, Advmat, Nature 子刊等国际杂志上发表研究论文百余篇,另发表中文物理学、材料学教育论文近两百篇,编、译、著有《物理学咬文嚼字》 (三卷),《至美无相》,Thin Film Growth,《一念非凡》,《量子力学-少年版》等专著多部。现为中国科学院物理研究所研究员, 《物理》杂志专栏撰稿人,Phys. Status Solidi等杂志编委。


奇形怪状中的力学 

01



在大量的工作后,我们明白一个道理,就是现实中的各种瓜果的形状的形成,纯粹是几何的因素。


它的原理和原子的形状产生的原理是一模一样的,就是要让整个体系的弹性形变的能量达到最小。理解这个道理以后,我们就明白了形状形成有几何的因素。于是在实验出现瓶颈的时候,我们就进行计算机模拟。


通过模拟,我们发现,在不同的瓜果中出现了有趣的结果。


首先,这是大自然里的瓜果形状:


这是模拟计算的结果:


大家看,如果你要是不懂这个原理,你单纯靠计算机设计,想将瓜果画成这个样子不见得容易,这样是我们知道这个原理以后,我们就能够模拟出来的结果。这个相似度怎么样?可以说是非常striking(显著)。


最终这篇文章是被发到Nature News上面。


那么这个模拟的要点到底在哪儿呢?我们发现实际上瓜果的外形三个因素有关。


第一个是它对圆形状的偏离,就是作为一个椭球到底能有多椭,多扁;第二个是皮和整个果肉在厚度上的比,就是皮厚在整个瓜果直径占比;第三条是果皮的硬度,因为有些植物的果皮是软的,有些是硬的,就是皮的硬度决定里面积聚的应力的多少。


只要它的三个参数,也就是椭偏率,相对皮厚和果皮硬度。只要这三个参数确定了,瓜果的外形就基本确定了,而与它是什么水果没有关系。


也就是说决定瓜果本身的外形的不是生物学的因素,而是一个纯力学的因素


这是我们的工作对理解这个瓜果植物外形起到的一个作用。


02

“偶遇”在黄金分割数


 


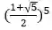
黄金分割数,即斐波那契数会在什么地方出现呢?它会在意想不起来的地方出现。


比方说,在这一个研究量子临界点的研究体系里面,研究一个自旋链的激发态对应的质量m1,m2 。


量子临界点


当你定出它俩位置的时候,会发现m1/m2竟然约等于

另一个是关于统计模型的研究,这位先生是和杨振宁先生一起合作的Baxter,他的贡献有Yang-Baxter方程。


Baxter


当然他也研究别的固体物理模型,比如六角格子上的硬球模型——Hexagon model


这个模型在统计物理上存在以下配分函数


实际上这是一个对fugacity,即的研究,其中μ就是化学势。那在求这个体系的配分函数的时候,它的相变点出现在哪呢?之前的研究发现这个点约等于十一点几。然后大家就怀疑十一点几这个值是不是存在计算的误差?也许正确的结果应该是整数,即十一,所以大家就老是往整数十一上凑。直到有一天提出, 值是等于十一点几。然后大家又往这个值考虑,然后确定相变点应该是严格的。在这个问题里出现的也许是个偶然。那么在另外一个和这个问题八竿子打不着的研究中去看,也有了一个有趣的结果。


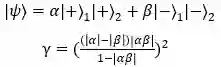
那这是什么呢?这是关于量子纠缠态的贝尔不等式,即所谓的Maximum in Hardy’s test


我们就来解Hardy’s test这样一个量子纠缠的问题,求这个表达式最大值。

首先我们知道这个纠缠态的表示,α和β的这个模平方等于1。


通过归一化,你会发现它的指数的最大的时候,它的最大值出现在哪儿呢?就出现在,也就是 。刚才是次,这个地方竟然出现的是在是,就是刚才的倒数。要知道这两个物理问题是完全不搭边的。


前一个是统计物理的格点模型里面一个统计相变问题,后一个就是一个直白的量子纠缠表达式,要求其相关数的最大值。结果,发现最大值出现的地方就是前一个数值的倒数。

而在这两个八杆子都打不着的问题中,这个黄金分割数却总会出现。

物理就那么有趣!



以下为完整视频



  文字:曹则贤

策划:林晓、李金柱、吴宝俊、成蒙

视频及文字摘录:刘新豹、杜硕

美编:贾力扬

责任编辑:张竟引

本文经授权转载自《中国科学院大学》微信公众号



十大热门文章

1.3位物理学家因“激光物理领域的突破性发明”获得2018年诺贝尔物理学奖

2.2018年诺贝尔物理奖解读 | 盛政明

3. 真空不空| 涂涛 郭光灿

4. 物理学咬文嚼字之一百:万物皆旋(下)

5. X射线自由电子激光单颗粒成像研究

6. X射线自由电子激光

7. 超导“小时代”之三十四:铁器新时代

8. 二胡音色的定量分析和一种改进方案

9. 云量子计算求解原子核问题

10. 周末大家谈——我和物理所

END

登录查看更多
0

相关内容

中国科学院成立于1949年11月,为中国自然科学最高学术机构、科学技术最高咨询机构、自然科学与高技术综合研究发展中心。
【纽约大学】最新《离散数学》笔记,451页pdf
专知会员服务
131+阅读 · 2020年5月26日
【MIT】Yufei Zhao《图论与加法组合学》,177页pdf
专知会员服务
51+阅读 · 2020年4月27日
【BAAI|2019】用深度学习模拟原子间势,王涵  (附pdf)
专知会员服务
18+阅读 · 2019年11月21日
特征方程的物理意义
算法与数学之美
6+阅读 · 2019年5月13日
【材料课堂】TEM复杂电子衍射花样的标定原理
材料科学与工程
39+阅读 · 2019年4月12日
吴恩达“官宣”荣升准爸爸~
AI100
4+阅读 · 2019年1月18日
丘成桐:攻克物理难题的数学大师
科技导报
5+阅读 · 2018年7月23日
SVM大解密(附代码和公式)
AI100
6+阅读 · 2018年4月7日
傅里叶变换和拉普拉斯变换的物理解释及区别
算法与数学之美
11+阅读 · 2018年2月5日
徐小平讲了个投资奇迹,3年不到75万变3亿
钛媒体
5+阅读 · 2017年12月15日
Arxiv
8+阅读 · 2019年2月15日
Learning Implicit Fields for Generative Shape Modeling
Arxiv
11+阅读 · 2018年12月6日
Physical Primitive Decomposition
Arxiv
4+阅读 · 2018年9月13日
W-net: Bridged U-net for 2D Medical Image Segmentation
Arxiv
20+阅读 · 2018年7月12日
Arxiv
3+阅读 · 2018年4月18日
Arxiv
3+阅读 · 2018年4月9日
VIP会员
相关资讯
特征方程的物理意义
算法与数学之美
6+阅读 · 2019年5月13日
【材料课堂】TEM复杂电子衍射花样的标定原理
材料科学与工程
39+阅读 · 2019年4月12日
吴恩达“官宣”荣升准爸爸~
AI100
4+阅读 · 2019年1月18日
丘成桐:攻克物理难题的数学大师
科技导报
5+阅读 · 2018年7月23日
SVM大解密(附代码和公式)
AI100
6+阅读 · 2018年4月7日
傅里叶变换和拉普拉斯变换的物理解释及区别
算法与数学之美
11+阅读 · 2018年2月5日
徐小平讲了个投资奇迹,3年不到75万变3亿
钛媒体
5+阅读 · 2017年12月15日
Top
微信扫码咨询专知VIP会员