Diffusion Model一发力,GAN就过时了???

2022 年 8 月 20 日 量子位
金磊 Alex 发自 凹非寺
量子位 | 公众号 QbitAI

曾经大红大紫的GAN已过时

马里兰大学副教授Tom Goldstein最近发表的一个推文,可谓是一石激起千层浪。

就连科技圈的大佬们也纷纷前来关注:

话题里“剑指”的关键词则是Diffusion Model,用Tom的话来说就是:

在2021年,它甚至可以说是闻所未闻

但其实这个算法并不陌生,因为它正是AI作画神器DALL·E的核心。

而且DALL·E的作者打一开始就“没看上”GAN,直接将其放弃。

无独有偶,同样的话题在国内也引发了不小的讨论:

那么图像生成领域的这波“后浪推前浪”,究竟是为何?

咱们这就来盘一盘。

什么是Diffusion Model?

Diffusion Model这次被拉进聚光灯之下,不得不归功于各类“AI一句话作图”神器的火爆。

例如OpenAI家的DALL·E 2:

谷歌家的Imagen:

不难看出,这些近期大流行的图像生成神器,不论是真实程度亦或是想象、理解能力,都是比较符合人类的预期。

因此它们也成为了这届网友们把玩的“新宠”(当年GAN出道的时候也是被玩坏了)

而如此能力背后的关键,便是Diffusion Model。

它的研究最早可以追溯到2015年,当时,斯坦福和伯克利的研究人员发布了一篇名为Deep Unsupervised Learning using Nonequilibrium Thermodynamics的论文:

但这篇研究和目前的Diffusion Model非常不一样;而真正使其发挥作用的研究是2020年,一项名为Denoising Diffusion Probabilistic Models的研究:

我们可以先来看一下各类生成模型之间的对比:

不难看出,Diffusion Model和其它模型的不同点在于,它的latent code(z)和原图是同尺寸大小的。

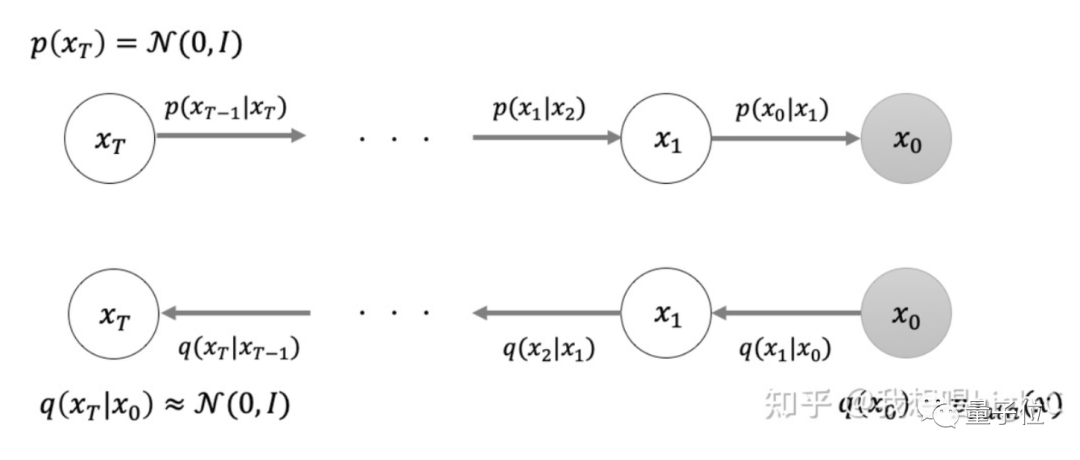
若是简单来概括Diffusion Model,就是存在一系列高斯噪声(T轮),将输入图片x0变为纯高斯噪声xT

再细分来看,Diffusion Model首先包含一个前向过程(Forward diffusion process)

这个过程的目的,就是往图片上添加噪声;但在这一步中还无法实现图片生成。

其次是一个逆向过程(Reverse diffusion process),这个过程可以理解为Diffusion的去噪推断过程。

最后在训练阶段,则是通过对真实数据分布下,最大化模型预测分布的对数似然。

上述的过程是基于DDPM这项研究展开。

不过知乎用户“我想唱high C”(TSAIL博士)认为:

DDPM提出的时候,领域里的研究者其实并不完全清楚这个模型背后的数学原理,所以文章里的描述没有探寻到更本质的数学原理。

在他看来,直到斯坦福大学Yang Song等在Score-Based Generative Modeling through Stochastic Differential Equations中,才首次揭示了diffusion model的连续版本对应的数学背景。

并且将统计机器学习中的denoising score matching方法与DDPM中的去噪训练统一起来。

更多细节过程可以参考文末链接中的论文详情。

那么接下来需要探讨的一个问题是:

为什么GAN这么快会被取代?

用OpenAI的一篇论文内容来讲,用Diffusion Model生成的图像质量明显优于GAN模型

DALL·E是个多模态预训练大模型,“多模态”和“大”字都说明,训练这个模型的数据集十分庞大冗杂。

发表这篇推特的Tom Goldstein教授提到,GAN模型训练过程有个难点,就是众多损失函数的鞍点(saddle-point)的最优权重如何确定,这其实是个蛮复杂的数学问题。

在多层深度学习模型的训练过程中,需通过多次反馈,直至模型收敛。

但在实际操作中发现,损失函数往往不能可靠地收敛到鞍点,导致模型稳定性较差。即使有研究人员提出一些技巧来加强鞍点的稳定性,但还是不足以解决这个问题。

尤其面对更加复杂、多样化的数据,鞍点的处理就变得愈加困难了。

与GAN不同,DALL·E使用Diffusion Model,不用在鞍点问题上纠结,只需要去最小化一个标准的凸交叉熵损失(convex cross-entropy loss),而且人已经知道如何使其稳定。

这样就大大简化了模型训练过程中,数据处理的难度。说白了,就是用一个新的数学范式,从新颖的角度克服了一道障碍。

此外,GAN模型在训练过程中,除了需要“生成器”,将采样的高斯噪声映射到数据分布;还需要额外训练判别器,这就导致训练变得很麻烦了。

和GAN相比,Diffusion Model只需要训练“生成器”,训练目标函数简单,而且不需要训练别的网络(判别器、后验分布等),瞬间简化了一堆东西。

目前的训练技术让Diffusion Model直接跨越了GAN领域调模型的阶段,而是直接可以用来做下游任务。

Diffusion Model直观图

从理论角度来看,Diffusion Model的成功在于训练的模型只需要“模仿”一个简单的前向过程对应的逆向过程,而不需要像其它模型那样“黑盒”地搜索模型。

并且,这个逆向过程的每一小步都非常简单,只需要用一个简单的高斯分布(q(x(t-1)| xt))来拟合。

这为Diffusion Model的优化带来了诸多便利,这也是它经验表现非常好的原因之一。

Diffushion Model是否就是完美?

不见得。

从趋势上来看,Diffushion Model领域确实正处于百花齐放的状态,但正如“我想唱high C”所述:

这个领域有一些核心的理论问题还需要研究,这给我们这些做理论的人提供了个很有价值的研究内容。>
并且,哪怕对理论研究不感兴趣,由于这个模型已经很work了,它和下游任务的结合也才刚刚起步,有很多地方都可以赶紧占坑。

我相信Diffusion Model的加速采样肯定会在不久的将来彻底被解决,从而让Diffusion Model占据深度生成模型的主导。

而对于Diffusion Model的有效性以及很快取代GAN这件事,马毅教授认为充分地说明了一个道理:

几行简单正确的数学推导,可以比近十年的大规模调试超参调试网络结构有效得多。

不过对于这种“前浪推后浪”的火热,马毅教授也有不一样的观点:

希望年轻的研究员端正研究的目的和态度,千万不要被目前热的东西忽悠。

包括Diffusion Process,这其实也是好几百年old的想法,只是老树发新芽,找到新的应用。

“我想唱high C”知乎回答:

https://www.zhihu.com/question/536012286/answer/2533146567

参考链接:

[1]https://twitter.com/tomgoldsteincs/status/1560334207578161152?s=21&t=QE8OFIwufZSTNi5bQhs0hQ
[2]https://www.zhihu.com/question/536012286
[3]https://arxiv.org/pdf/2105.05233.pdf
[4]https://arxiv.org/abs/1503.03585
[5]https://arxiv.org/abs/2006.11239
[6]https://arxiv.org/abs/2011.13456
[7]https://weibo.com/u/3235040884?topnav=1&wvr=6&topsug=1&is_all=1

「人工智能」、「智能汽车」微信社群邀你加入!

欢迎关注人工智能、智能汽车的小伙伴们加入我们,与AI从业者交流、切磋,不错过最新行业发展&技术进展。

ps.加好友请务必备注您的姓名-公司-职位哦~


点这里👇关注我,记得标星哦~

一键三连「分享」、「点赞」和「在看」

科技前沿进展日日相见~


登录查看更多
3

相关内容

生成对抗网络,10页pdf
专知会员服务
32+阅读 · 2022年11月23日
元宇宙知识 | 如何在元宇宙中应用众多GAN模型???
专知会员服务
35+阅读 · 2022年1月29日
专知会员服务
49+阅读 · 2021年4月24日
最新【深度生成模型】Deep Generative Models,104页ppt
专知会员服务
71+阅读 · 2020年10月24日
GAN新书《生成式深度学习》,Generative Deep Learning,379页pdf
专知会员服务
208+阅读 · 2019年9月30日
浙大开源快速扩散语音合成模型FastDiff和ProDiff
PaperWeekly
0+阅读 · 2022年10月22日
从多篇论文看扩散模型在文本生成领域的应用
PaperWeekly
0+阅读 · 2022年10月20日
扩散模型在文本生成领域的应用
新智元
0+阅读 · 2022年10月13日
生成扩散模型漫谈:DDPM = 拆楼 + 建楼
PaperWeekly
1+阅读 · 2022年6月19日
GAN毕业手册:从零到一构建自己的GAN模型
AI前线
14+阅读 · 2019年5月15日
手把手 | 生成式对抗网络(GAN)之MNIST数据生成
数说工作室
10+阅读 · 2017年7月31日
国家自然科学基金
0+阅读 · 2017年12月31日
国家自然科学基金
0+阅读 · 2013年12月31日
国家自然科学基金
0+阅读 · 2013年12月31日
国家自然科学基金
0+阅读 · 2012年12月31日
国家自然科学基金
1+阅读 · 2011年12月31日
国家自然科学基金
0+阅读 · 2009年12月31日
国家自然科学基金
0+阅读 · 2009年12月31日
Arxiv
0+阅读 · 2022年11月22日
Arxiv
46+阅读 · 2022年9月6日
Arxiv
14+阅读 · 2021年7月20日
Arxiv
11+阅读 · 2018年3月23日
VIP会员
相关基金
国家自然科学基金
0+阅读 · 2017年12月31日
国家自然科学基金
0+阅读 · 2013年12月31日
国家自然科学基金
0+阅读 · 2013年12月31日
国家自然科学基金
0+阅读 · 2012年12月31日
国家自然科学基金
1+阅读 · 2011年12月31日
国家自然科学基金
0+阅读 · 2009年12月31日
国家自然科学基金
0+阅读 · 2009年12月31日
Top
微信扫码咨询专知VIP会员