论文浅尝 | 采用多层注意力机制的事件检测

2019 年 8 月 24 日 开放知识图谱

笔记整理:杨帆,浙江大学计算机学院硕士,研究方向知识图谱。




动机

事件编码(event encoding)之前的工作集中在提取实体,检测触发单词以及匹配预定义的模板,这些方法存在以下缺点:首先它们依赖于细粒度的标记数据进行训练,但是这些数据很难获得;其次它们使用句子级别的嵌入来去除导致错误的上下文信息,但是一个事件的信息并不只是包含在一个单一的句子中。作者提出的模型引入多层的注意力机制来生成句子和文档的表示,旨在更好地捕获全局信息来进行事件分类及编码。


模型

本文提出的模型包含以下三个模块:

1. Sequence Encoder 


该模块使用双向GRU生成每个单词的表示。

2. Word-Level Attention

该模块包含以下三部分:

2.1 Bilinear Attention 

第一部分将 Sequence Encoder 生成的单词表示通过一层的MLP得到其对应的隐藏层表示,然后利用 计算得到attention 代表句子的全局信息。

2.2 Factorized Bilinear Multi-Aspect Attention (FBMA)


第二部分通过矩阵分解将之前单层的attention转换为多层的attention,用来抽取更丰富的全局信息。

 

2.3 Sentence Representation 

第三部分通过单词的表示以及对应的attention计算得到每个句子的表示。

 

3. Attention-Level Attention

3.1 Document representation 

文档表示的计算方式与句子表示类似,此处不再赘述。

 

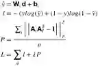
3.2 Loss 

该模型采用交叉熵作为损失函数,并且引入惩罚项P防止生成的多层attention的各层权重相同。


实验

1. Dataset 

2.Baselines 

3.Results  



OpenKG


开放知识图谱(简称 OpenKG)旨在促进中文知识图谱数据的开放与互联,促进知识图谱和语义技术的普及和广泛应用。

点击阅读原文,进入 OpenKG 博客。

登录查看更多
24

相关内容

【CVPR2020】时序分组注意力视频超分
专知会员服务
31+阅读 · 2020年7月1日
【CMU】基于图神经网络的联合检测与多目标跟踪
专知会员服务
59+阅读 · 2020年6月24日
【SIGIR2020-微软】知识图谱上的增强推荐推理
专知会员服务
77+阅读 · 2020年5月30日
【斯坦福大学-论文】实体上下文关系路径的知识图谱补全
17篇知识图谱Knowledge Graphs论文 @AAAI2020
专知会员服务
172+阅读 · 2020年2月13日
论文浅尝 | 面向时序知识图谱推理的循环事件网络
开放知识图谱
78+阅读 · 2019年9月22日
论文浅尝 | GraphIE:基于图的信息抽取框架
开放知识图谱
17+阅读 · 2019年6月2日
论文浅尝 | 使用循环神经网络的联合事件抽取
开放知识图谱
25+阅读 · 2019年4月28日
论文浅尝 | 面向知识图谱补全的共享嵌入神经网络模型
开放知识图谱
31+阅读 · 2019年4月7日
论文浅尝 | 基于局内去噪和迁移学习的关系抽取
开放知识图谱
16+阅读 · 2018年12月2日
论文浅尝 | 远程监督关系抽取的生成式对抗训练
开放知识图谱
17+阅读 · 2018年7月12日
论文浅尝 | 基于多原型mention向量的文本-实体联合学习
论文浅尝 | Improved Neural Relation Detection for KBQA
开放知识图谱
13+阅读 · 2018年1月21日
论文浅尝 | CFO: Conditional Focused Neural Question Answering
开放知识图谱
6+阅读 · 2017年12月15日
Talking-Heads Attention
Arxiv
15+阅读 · 2020年3月5日
Arxiv
6+阅读 · 2019年4月8日
Arxiv
7+阅读 · 2018年8月28日
Arxiv
27+阅读 · 2018年4月12日
VIP会员
相关资讯
论文浅尝 | 面向时序知识图谱推理的循环事件网络
开放知识图谱
78+阅读 · 2019年9月22日
论文浅尝 | GraphIE:基于图的信息抽取框架
开放知识图谱
17+阅读 · 2019年6月2日
论文浅尝 | 使用循环神经网络的联合事件抽取
开放知识图谱
25+阅读 · 2019年4月28日
论文浅尝 | 面向知识图谱补全的共享嵌入神经网络模型
开放知识图谱
31+阅读 · 2019年4月7日
论文浅尝 | 基于局内去噪和迁移学习的关系抽取
开放知识图谱
16+阅读 · 2018年12月2日
论文浅尝 | 远程监督关系抽取的生成式对抗训练
开放知识图谱
17+阅读 · 2018年7月12日
论文浅尝 | 基于多原型mention向量的文本-实体联合学习
论文浅尝 | Improved Neural Relation Detection for KBQA
开放知识图谱
13+阅读 · 2018年1月21日
论文浅尝 | CFO: Conditional Focused Neural Question Answering
开放知识图谱
6+阅读 · 2017年12月15日
Top
微信扫码咨询专知VIP会员