线性代数知识汇总

2019 年 6 月 18 日 算法与数学之美

1.  线性代数知识图谱

线性代数是代数学的一个分支,主要处理线性关系问题。线性关系意即数学对象之间的关系是以一次形来表达的。例如,在解析几何里,平面上直线的方程是二元一次方程;空间平面的方程是三元一次方程,而空间直线视为两个平面相交,由两个三元一次方程所组成的方程组来表示。含有 n个未知量的一次方程称为线性方程。变于量是一次的函数称为线性函数线性关系问题简称线性问题。解线性方程组的问题是最简单的线性问题。

线性(linear)指量与量之间按比例、成直线的关系,在数学上可以理解为一阶导数为常数的函数

非线性(non-linear)则指不按比例、不成直线的关系,一阶导数不为常数。

行列式非零矩阵可逆方阵满秩向量组满秩(向量个数等于维数)




2. 行列式

2.1 定义

矩阵的行列式,determinate(简称det),是基于矩阵所包含的行列数据计算得到的一个标量。是为求解线性方程组而引入的

2.2 二阶行列式

计算方式:对角线法则

      

2.3 三阶行列式

计算方式:对角线法则

      

2.4 n阶行列式

2.4.1 计算排列的逆序数

         

2.4.2 计算n阶行列式

      


2.4.3 简化计算总结



2.4.4 行列式的3种表示方法


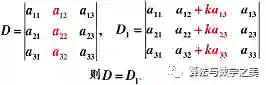
2.5 行列式的性质

性质1  行列式与它的转置行列式相等
注:行列式中行与列具有同等的地位,行列式的性质凡是对行成立的对列也同样成立.

性质2  互换行列式的两行(列),行列式变号
推论  如果行列式有两行(列)完全相同,则此行列式为零

性质3  行列式的某一行(列)中所有的元素都乘以同一个倍数k,等于用数k乘以此行列式.
推论    行列式的某一行(列)中所有元素的公因子可以提到行列式符号的外面.

性质4  行列式中如果有两行(列)元素成比例,则此行列式为零.

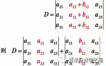
性质5  若行列式的某一列(行)的元素都是两数之和,则等于对应的两个行列式之和.


性质6  把行列式的某一列(行)的各元素乘以同一个倍数然后加到另一列(行)对应的元素上去,行列式不变.


2.6 计算行列式的方法

1)利用定义
2)利用性质把行列式化为上三角形行列式,从而算得行列式的值



定理中包含着三个结论:
1)方程组有解;(解的存在性) 
2)解是唯一的;(解的唯一性)
3)解可以由公式(2)给出.

定理4   如果线性方程组(1)的系数行列式不等于零,则该线性方程组一定有解,而且解是唯一的 .
定理4′ 如果线性方程组无解或有两个不同的解,则它的系数行列式必为零.


齐次线性方程组的相关定理
定理5   如果齐次线性方程组的系数行列式D不等于0,则齐次线性方程组只有零解,没有非零解.
定理5′ 如果齐次线性方程组有非零解,则它的系数行列式必为零.   

1. 用克拉默法则解线性方程组的两个条件
1) 方程个数等于未知量个数;
2) 系数行列式不等于零.

2. 克拉默法则的意义主要在于建立了线性方程组的解和已知的系数以及常数项之间的关系.它主要适用于理论推导.

2.8 行列式按行(列)展开

对角线法则只适用于二阶与三阶行列式.

本节主要考虑如何用低阶行列式来表示高阶行列式.






3. 矩阵

3.1 矩阵的定义


3.1.1 矩阵与行列式的区别


3.2 特殊矩阵




3.3 矩阵与线性变换




3.4 矩阵的运算

3.4.1 矩阵的加法



行列式与矩阵加法的比较:



3.4.2 数乘矩阵





3.4.3 矩阵与矩阵相乘




3.4.4 矩阵的转置




反对称矩阵(skew symmetric matrix)


3.4.5 方阵的行列式


3.4.6 伴随矩阵


3.4.7 共轭矩阵


3.5 可逆矩阵(或称非奇异矩阵)





3.6 矩阵分块法






分块矩阵不仅形式上进行转置,而且每一个子块也进行转置.





4. 矩阵的初等变换与线性方程组

4.1 矩阵的初等变换




4.2 矩阵之间的等价关系






4.3 初等变换与矩阵乘法的关系





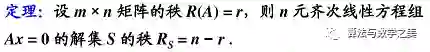
4.4 矩阵的秩








4.5 线性方程组的多解







5. 向量组的线性相关性

5.1 向量组及其线性组合
















5.2 向量组的线性相关性





5.3 向量组的秩



结论:矩阵的最高阶非零子式一般不是唯一的,但矩阵的秩是唯一的.









5.4 线性方程组的解的结构

问题:什么是线性方程组的解的结构?

答:所谓线性方程组的解的结构,就是当线性方程组有无限多个解时,解与解之间的相互关系
备注:

1)当方程组存在唯一解时,无须讨论解的结构.

2)下面的讨论都是假设线性方程组有解.









5.5 向量空间

5.5.1 封闭的概念

定义:所谓封闭,是指集合中任意两个元素作某一运算得到的结果仍属于该集合.

5.5.2 向量空间的概念

定义:设 V 是 n 维向量的集合,如果
① 集合 V 非空,
② 集合 V 对于向量的加法和乘数两种运算封闭,
具体地说,就是:
若 a ∈ V, b ∈ V,则a + b ∈ V .(对加法封闭)
若 a ∈ V, l ∈ R,则 l a ∈ V .(对乘数封闭)
那么就称集合 V 为向量空间

5.5.3 子空间的概念

定义:如果向量空间 V 的非空子集合 V1 对于 V 中所定义的加法及乘数两种运算是封闭的,则称 V1 是 V 的子空间

5.5.4 向量空间的基的概念





6. 相似矩阵及二次型

6.1  向量的内积、长度及正交性

6.1.1 向量的内积



6.1.2 向量的长度或范数

单位向量:长度为1的向量。


6.1.3 向量的正交性

向量正交:向量内积为0。






6.1.4 正交矩阵或正交阵


6.1.5 正交矩阵的性质


6.2 方阵的特征值与特征向量






6.2.1  正定矩阵/半正定矩阵

1)矩阵半正定当且仅当它的每个特征值大于等于零(>=0)。

2)矩阵正定当且仅当它的每个特征值都大于零(>0)。

6.3 相似矩阵





6.4 对称矩阵的对角化













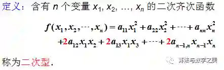
6.5 二次型及其它标准型

      










————

编辑 ∑Pluto

来源:CSDN

更多精彩:

泰勒定理的奇闻轶事

丘成桐:漫谈微分几何

Leibniz 如何想出微积分?(一)

线性相关和秩的物理意义

数学史上你认为最丑陋的公式是什么?

陶哲轩谈什么是好的数学

田渊栋:数学的用处(下篇)

你绝对没想过原来数学家这么流氓,一言不合就进行暴力证明

世界上最牛的五篇博士论文

数学中有哪些巧合让人眼前一亮?

算法立功!清华毕业教授美国被抢车,警察无能为力自己用“贪心算法”找回

学术史上的奇文:怎样用数学抓狮子

台大教授的反思:最难的一课 我们却没教给学生

☞麻省理工学院(MIT)研究生学习指导—— 怎样做研究生

☞分享 数学,常识和运气 ——投资大师詹姆斯·西蒙斯2010年在MIT的讲座


算法数学之美微信公众号欢迎赐稿

稿件涉及数学、物理、算法、计算机、编程等相关领域,经采用我们将奉上稿酬。

投稿邮箱:math_alg@163.com

登录查看更多
1

相关内容

线性代数(Linear Algebra)是数学的一个分支,它的研究对象是向量,向量空间(或称线性空间),线性变换和有限维的线性方程组。向量空间是现代数学的一个重要课题;因而,线性代数被广泛地应用于抽象代数和泛函分析中;通过解析几何,线性代数得以被具体表示。线性代数的理论已被泛化为算子理论。由于科学研究中的非线性模型通常可以被近似为线性模型,使得线性代数被广泛地应用于自然科学和社会科学中。 - 题图来自「维基百科」。
最新《自动微分手册》77页pdf
专知会员服务
103+阅读 · 2020年6月6日
干货书《数据科学数学系基础》2020最新版,266页pdf
专知会员服务
325+阅读 · 2020年3月23日
机器学习速查手册,135页pdf
专知会员服务
345+阅读 · 2020年3月15日
那些值得推荐和收藏的线性代数学习资源
博客 | MIT—线性代数(下)
AI研习社
6+阅读 · 2018年12月20日
博客 | MIT—线性代数(上)
AI研习社
9+阅读 · 2018年12月18日
博客 | 机器学习中的数学基础(凸优化)
AI研习社
14+阅读 · 2018年12月16日
深度学习线性代数简明教程
论智
11+阅读 · 2018年5月30日
【干货】​深度学习中的线性代数
专知
21+阅读 · 2018年3月30日
干货 | 受限玻尔兹曼机基础教程
机器学习算法与Python学习
7+阅读 · 2018年3月27日
图解高等数学|线性代数
遇见数学
39+阅读 · 2017年10月18日
【基础数学】- 01
遇见数学
20+阅读 · 2017年7月25日
Area Attention
Arxiv
5+阅读 · 2019年5月23日
Arxiv
11+阅读 · 2018年9月28日
VIP会员
相关资讯
那些值得推荐和收藏的线性代数学习资源
博客 | MIT—线性代数(下)
AI研习社
6+阅读 · 2018年12月20日
博客 | MIT—线性代数(上)
AI研习社
9+阅读 · 2018年12月18日
博客 | 机器学习中的数学基础(凸优化)
AI研习社
14+阅读 · 2018年12月16日
深度学习线性代数简明教程
论智
11+阅读 · 2018年5月30日
【干货】​深度学习中的线性代数
专知
21+阅读 · 2018年3月30日
干货 | 受限玻尔兹曼机基础教程
机器学习算法与Python学习
7+阅读 · 2018年3月27日
图解高等数学|线性代数
遇见数学
39+阅读 · 2017年10月18日
【基础数学】- 01
遇见数学
20+阅读 · 2017年7月25日
Top
微信扫码咨询专知VIP会员