改进语音识别性能的数据增强技巧

2018 年 4 月 22 日 深度学习每日摘要 DLdigest

端对端语音识别改进的规则技巧

今天分享给大家是一篇来自Salesforce Research的文章。

参考文献

Improved Regularization Techniques for End-to-End Speech Recognition, Yingbo Zhou, Caiming Xiong, Richard Socher.

对于端对端模型来说,通过数据增强和Dropout的方法可以提高模型的性能。在语音识别中也是如此,之前,我公众号没有写过关于语音识别任务的数据增强的技巧,最近做了大规模的语音识别实践发现,数据增强对于小数据集而言简直就是雪中送炭,当然,如果你拥有大体量的数万小时的语音数据库,而且又能囊括全国各地不同口音风格,那么数据增强理论上也能起到锦上添花的作用。今天基于Salesforce Research的这篇文章以及自己平时的实践经验,来分享一下语音识别任务中除了模型以外的可以提升性能的技巧。

这篇论文中提到,通过对音频的速度、音调、音量、时间对齐进行微小的扰动,以及通过增加高斯白噪声来对音频进行改动,同时,文章也探讨了在每一层神经网络上采用dropout所带来的效果。实验结果表明,通过将数据增强技术与dropout联合使用,可以将语音识别模型的性能在WSJ数据库上和LibriSpeech数据库上相比baseline系统提高20%以上,从结果上看,这些规则化技巧对语音识别的性能改进有很大的帮助。我们先看一下作者基于什么模型来实践这些数据增强的技巧。

本文使用的端对端模型非常接近于百度提出的Deep Speech2 (DS2),如上图所示,原始特征数据首先经过一个较大卷积核的卷积层,卷积核较大的好处就是对原始特征进行降维,降维以后通过5个残差连接区,而每一个残差区都是由批归一化层、channel-wise卷积层和1×1的卷积层构成,并通过relu激活函数,紧接着连上4个双向GRU网络,最终通过全连接层得到目标概率分布,并采取端对端的CTC损失函数作为目标函数,使用随机梯度下降算法来进行优化。这里相比DS2所做的创新主要是channel-wise可分离的卷积层,其实就是depth-wise可分离卷积层,它相比常规的卷积具有性能好、参数减少的优势,它们在参数数量上的区别可以通过下面的例子看得出来(具体关于可分离卷积的介绍,可以搜索xception这篇文章):

假设现在要做一个卷积,输入深度是128,输出深度是256;
常规的操作使用卷积核3×3进行卷积,那么参数数目为128×3×3×256=294912
depth-wise可分离卷积的操作是设置depth multiplier=2得到深度为2×128的中间层,再经过1×1的卷积层降维到深度为256,参数数目为128×3×3×2+128×2×1×1×256=67840,可以看到相比常规卷积,参数减少了77%;

除了使用了depth-wise可分离卷积层以外,残差连接以及在每一层上都采取了批归一化的技巧对训练有促进作用,整个网络共有约500万个参数。参数太大就容易出现过拟合的问题,为了避免过拟合,作者尝试探索了数据增强和dropout两种技巧来提升系统的性能。

1. 数据增强

在此之前,Hinton曾经提出使用Vocal Tract Length Perturbation (VTLP)的方法来提升语音识别的性能,具体的做法就是在训练阶段对每一个音频的频谱特征施加一个随机的扭曲因子,通过这种做法Hinton实现了在TIMIT小数据集上的测试集表现提升了0.65%,VTLP是基于特征层面所做的数据增强技巧,不过后来也有人发现通过改变原始音频的速度所带来的性能提升要比VTLP好。但是音频速度的快慢实际上会影响到音调(pitch),所以提高了音频的速度必然也就增大了音频的音调。反过来也是,降低了音频的速度就会使得音频的音调变小。所以,仅仅通过调节速度的方法就不能产生速度快同时音调低的音频,这就使得音频的多样性有所降低,对语音识别系统的性能提升有限。作者在本文中希望能够通过数据增强来丰富音频的变化,提升数据的数量和多样化,于是作者采取将音频的速度通过两个单独的变量来控制,它们分别是tempopitch,也就是节奏和音高,对音频的节奏和音高的调节可以通过语音的瑞士军刀——SOX软件来完成。

除了改变tempo和pitch以外,作者还添加了高斯白噪声、改变音频的音量以及随机对部分原始音频的采样点进行扭曲操作。

2. dropout

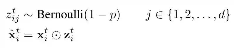
dropout是Hinton提出来的一种防止深度神经网络出现过拟合的技巧,它的做法是在训练神经网络的时候随机地让某些神经元的输入变为0,公式如下所示,通过生成一个概率为1-p的伯努利分布再与神经元的输入进行点乘,即可得到dropout以后的输入;而在推理阶段,我们只需要对输入乘以伯努利分布的期望值1-p即可。dropout对于前向神经网络作用很明显,但是应用到循环神经网络中的时候,很难取得较好的效果。

作者在本文中采取的dropout是不随时间变化的,即对于一个序列的不同时刻,产生dropout的伯努利分布是共享的,而在推理阶段,仍然是乘以伯努利分布的期望值1-p。作者在卷积层和循环层都是采取了这个变种的dropout,而在全连接层则是采取了标准的dropout。

3. 实验细节

作者采取的数据集是LibriSpeech和WSJ,输入到模型的特征是语音的频谱图(spectrogram),以20ms为一帧,步长设为10ms。同时,作者对特征做了两个层次的归一化,分别是把频谱图归一化成均值为0标准差为1的分布,以及对每一个特征维度进行同样的归一化,不过这个特征维度的归一化是基于整体训练集的统计来做的。

数据增强部分,作者基于tempo的增强参数是取自(0.7, 1.3)的均匀分布,基于pitch的增强参数是取自(-500, 500)的均匀分布,添加高斯白噪声的时候将信噪比控制在10-15分贝,同时在调整速度方面,作者分别使用了0.9,1.0和1.1作为调整的系数。综合上面所有数据增强技巧,如下图所示,模型的性能相比没有这些技巧的baseline提高了20%。

dropout同样提升了模型的性能,dropout概率作者对数据设置了0.1,对卷积层设置了0.2,对所有的循环层和全连接层设置了0.3,通过dropout,模型性能提高了22.43%,结合dropout和数据增强,模型整体性能提高了23.39%。

4. 总结

本文应该是对语音识别中的数据增强和规则化技巧做了总结,虽然实验用的数据集是时长比较短的数据集,但是这些数据集对于我们部署一个实际的语音识别系统也很重要。对于中文普通话语音识别而言,不论是不同人说话的语速、语调,还是不同地方的人说普通话的口音,这些导致语音识别的难度非常大,如果想去采集各个地方不同人所说的普通话语料,对于小公司或者小团队而言,是非常不现实的一件事情。所以,如何基于有限的普通话语料去使用数据增强算法来人工构建一个可以模拟全国各个地方不同口音分布的强大语料是一个不得不面对的实际难题,而解决了这个难题实际上也就能极大程度地提升语音识别的鲁棒性。

题图:《Fork in the Road


你可能会感兴趣的文章有:


漫谈语音合成之Char2Wav模型

漫谈Capsule Network基本原理

聊一聊TensorFlow的数据导入机制

开源的语音合成系统WORLD介绍以及使用方法

漫谈机器阅读理解之Facebook提出的DrQA系统

详解TensorFlow Eager命令式执行环境

动态层归一化(Dynamic Layer Normalization)

端对端的深度卷积神经网络在语音识别中的应用

SampleRNN语音合成模型

详述DeepMind wavenet原理及其TensorFlow实现

Layer Normalization原理及其TensorFlow实现

Batch Normalization原理及其TensorFlow实现

Maxout Network原理及其TensorFlow实现

时延神经网络(TDNN)原理及其TensorFlow实现

ConvLSTM原理及其TensorFlow实现

Network-in-Network原理及其TensorFlow实现

如何基于TensorFlow实现ResNet和HighwayNet

详解TensorFlow的新seq2seq模块及其用法

TensorFlow seq2seq中的Attention机制(续)

深度学习每日摘要|坚持技术,追求原创

微信ID:deeplearningdigest
长按二维码关注我
登录查看更多
8

相关内容

数据增强在机器学习领域多指采用一些方法(比如数据蒸馏,正负样本均衡等)来提高模型数据集的质量,增强数据。
【2020新书】使用高级C# 提升你的编程技能,412页pdf
专知会员服务
60+阅读 · 2020年6月26日
【CVPR2020-Oral】用于深度网络的任务感知超参数
专知会员服务
28+阅读 · 2020年5月25日
【KDD2020】多源深度域自适应的时序传感数据
专知会员服务
62+阅读 · 2020年5月25日
【CVPR2020】用多样性最大化克服单样本NAS中的多模型遗忘
专知会员服务
20+阅读 · 2020年3月29日
用于语音识别的数据增强
AI研习社
24+阅读 · 2019年6月5日
一种小目标检测中有效的数据增强方法
极市平台
119+阅读 · 2019年3月23日
语音识别的前沿论文,看我们推荐的这4篇
人工智能前沿讲习班
26+阅读 · 2019年1月14日
端对端的深度卷积神经网络在语音识别中的应用
深度学习每日摘要
6+阅读 · 2017年7月18日
Arxiv
8+阅读 · 2018年11月27日
Arxiv
5+阅读 · 2018年9月11日
Mobile big data analysis with machine learning
Arxiv
6+阅读 · 2018年8月2日
Arxiv
11+阅读 · 2018年3月23日
Arxiv
8+阅读 · 2018年1月25日
VIP会员
相关论文
Top
微信扫码咨询专知VIP会员