成为VIP会员查看完整内容
VIP会员码认证
首页
主题
发现
会员
服务
注册
·
登录
0
面向深度学习研究者的*概率分布*基础教程(附代码)
2019 年 9 月 9 日
专知
导读
本文介绍由Github用户graykode发布的概率分布基础教程,包括伯努利分布、高斯分布、狄利克雷分布等13种概率分布介绍与代码,主要针对用Python库进行深度学习研究的人员。
作者 | graykode
编译 | Xiaowen
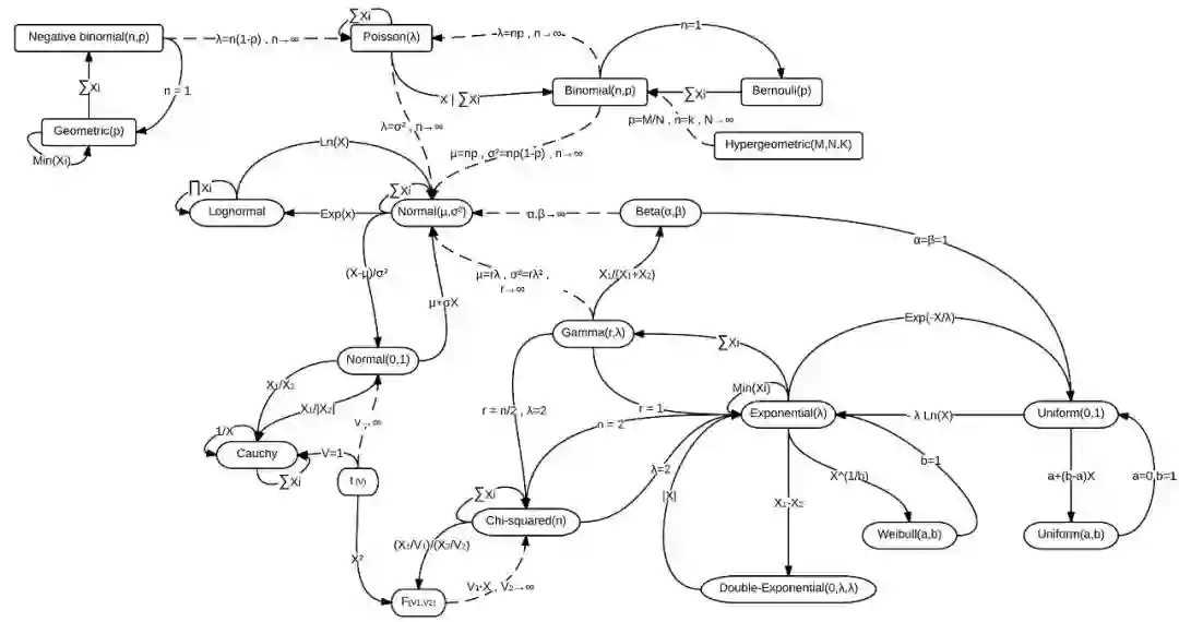
深度学习中的概率分布关系一览
https://github.com/graykode/distribution-is-all-you-need
conjugate 表示共轭分布关系
在贝叶斯概率理论中,如果后验分布p(n|x)与先验概率分布p(n)处于相同的概率分布家族中,则先验和后验被称为共轭分布,而在似然函数之前,先验被称为共
轭先验。
Multi-Class 表示随机变量大于2
N Times 表示我们还考虑先验概率P(X)
学习更多概率相关知识,推荐阅读
[pattern recognition and machine learning, Bishop 2006]
分布概率与特征
均匀分布(连续)
均匀分布在[a,b]上具有相同的概率值
代码:https://github.com/graykode/distribution-is-all-you-need/blob/master/uniform.py
伯努利分布(离散)
不考虑先验概率p(x)的伯努利分布。因此,如果我们优化到最大似然,将容易过拟合
利用二值交叉熵对二值分类进行分类。它的形式类似于取伯努利分布的负对数
代码:https://github.com/graykode/distribution-is-all-you-need/blob/master/bernoulli.py
二项分布(离散)
参数n和p的二项分布是n个独立实验序列中成功次数的离散概率分布。
二项分布是通过指定预先选择的数目来考虑先验概率的分布
代码:https://github.com/graykode/distribution-is-all-you-need/blob/master/binomial.py
Multi-伯努利分布,分类分布(离散)
多伯努利分布称为分类分布,是一个大于2的概率
交叉熵具有相同的形式,就像取多个伯努利分布的负对数
代码:https://github.com/graykode/distribution-is-all-you-need/blob/master/categorical.py
多项式分布(离散)
代码:https://github.com/graykode/distribution-is-all-you-need/blob/master/multinomial.py
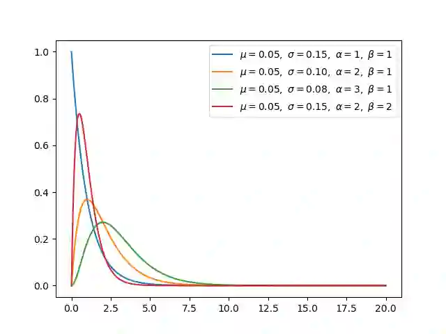
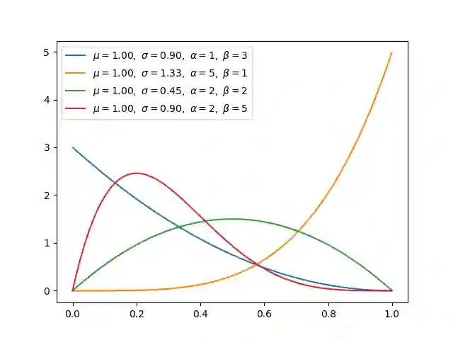
Beta分布(连续)
Beta分布与二项分布和伯努利分布是共轭的
利用共轭性,我们可以更容易地利用我们所知道的先验分布来获得后验分布
当Beta分布满足特殊情况(alpha=1,Beta=1)时,与均匀分布相同。
代码:https://github.com/graykode/distribution-is-all-you-need/blob/master/beta.py
狄利克雷分布(连续)
狄利克雷分布与多项分布共轭
如果K=2,变为Beta分布
代码:https://github.com/graykode/distribution-is-all-you-need/blob/master/dirichlet.py
Gamma分布(连续)
如果Gamma(a,1)/Gamma(a,1)+Gamma(b,1)与β(a,b)相同,则Gamma分布为β分布
指数分布和卡方分布是Gamma分布的特例
代码:https://github.com/graykode/distribution-is-all-you-need/blob/master/gamma.py
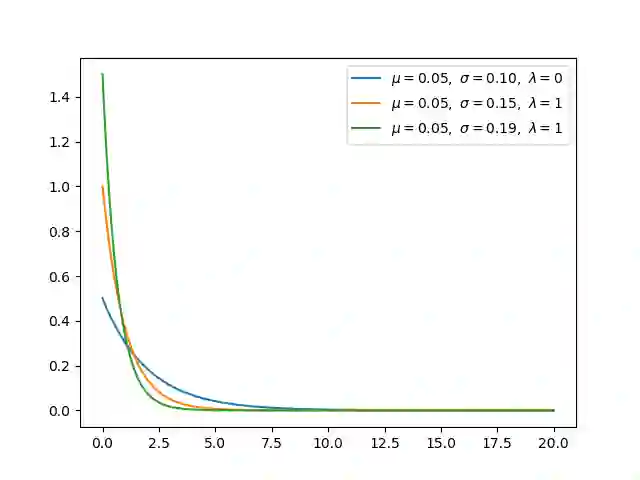
指数分布(连续)
指数分布是在Alpha为1时的Gamma分布的特殊情况
代码:https://github.com/graykode/distribution-is-all-you-need/blob/master/exponential.py
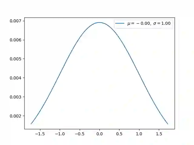
高斯分布(连续)
高斯分布是非常常用的连续值概率分布
代码:https://github.com/graykode/distribution-is-all-you-need/blob/master/gaussian.py
正态分布(连续)
正态分布是标准高斯分布,均值=0,方差=1
代码:https://github.com/graykode/distribution-is-all-you-need/blob/master/normal.py
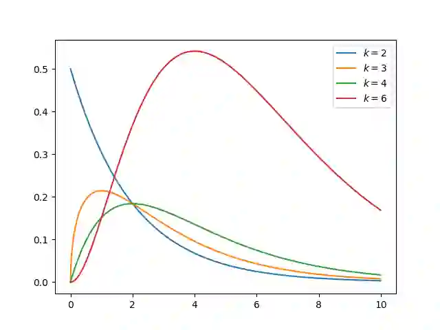
卡方分布(连续)
具有k自由度的卡方分布是k个独立标准正态随机变量平方和的分布
卡方分布是Beta分布的特例
代码:https://github.com/graykode/distribution-is-all-you-need/blob/master/chi-squared.py
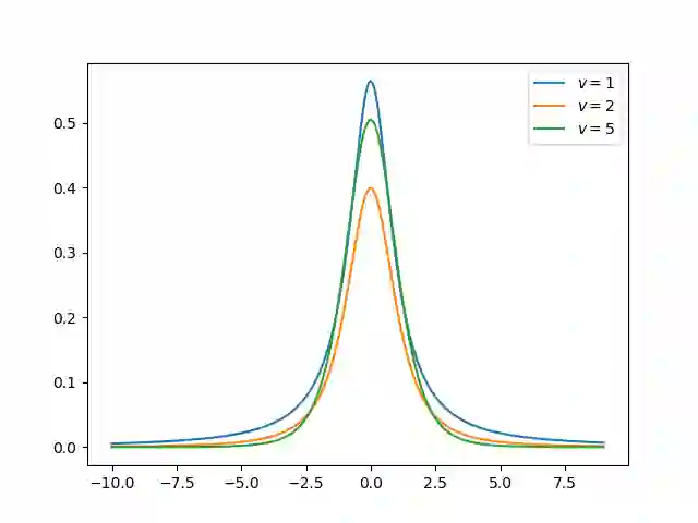
Student-t 分布(连续)
T型分布是对称的、钟形的,如正态分布,但具有较重的尾部,这意味着更容易产生远离其平均值的值
代码:https://github.com/graykode/distribution-is-all-you-need/blob/master/student-t.py
作者信息:
Tae Hwan Jung @graykode, Kyung Hee Univ CE(Undergraduate).
Author Email :
nlkey2022@gmail.com
-END-
专 · 知
专知,专业可信的人工智能知识分发,让认知协作更快更好!欢迎登录www.zhuanzhi.ai,注册登录专知,获取更多AI知识资料!
欢迎微信扫一扫加入
专知人工智能知识星球群
,获取
最新AI专业干货知识教程视频资料和与专家交流咨询
!
请加
专知小助手微信
(扫一扫如下二维码添加),加入
专知人工智能主题群,咨询技术商务合作
~
专知《深度学习:算法到实战》课程全部完成!560+位同学在学习,现在报名,限时优惠!网易云课堂人工智能畅销榜首位!
点击“
阅读原文
”,了解报名
专知《深度学习:算法到实战》
课
登录查看更多
点赞并收藏
0
暂时没有读者
0
权益说明
本文档仅做收录索引使用,若发现您的权益受到侵害,请立即联系客服(微信: zhuanzhi02,邮箱:bd@zhuanzhi.ai),我们会尽快为您处理
相关内容
概率分布
关注
1
概率分布,是指用于表述随机变量取值的概率规律。事件的概率表示了一次试验中某一个结果发生的可能性大小。若要全面了解试验,则必须知道试验的全部可能结果及各种可能结果发生的概率,即随机试验的概率分布。如果试验结果用变量X的取值来表示,则随机试验的概率分布就是随机变量的概率分布,即随机变量的可能取值及取得对应值的概率。根据随机变量所属类型的不同,概率分布取不同的表现形式。
一份循环神经网络RNNs简明教程,37页ppt
专知会员服务
173+阅读 · 2020年5月6日
CMU-Ruslan 教授《深度学习基础:监督学习与生成模型》教程,127页ppt
专知会员服务
51+阅读 · 2020年2月14日
WSDM 2020教程《深度贝叶斯数据挖掘》,附257页PPT下载
专知会员服务
157+阅读 · 2020年2月7日
【ICCV 2019】贝叶斯优化的1-Bit CNNs 《Bayesian Optimized 1-Bit CNNs》
专知会员服务
16+阅读 · 2019年11月17日
【TensorFlow 2.0深度学习开源书】深度学习开源书,基于TensorFlow 2.0实战
专知会员服务
123+阅读 · 2019年11月13日
【书籍】深度学习框架:PyTorch入门与实践(附代码)
专知会员服务
167+阅读 · 2019年10月28日
【开源书】PyTorch深度学习起步,零基础入门(附pdf下载)
专知会员服务
114+阅读 · 2019年10月26日
问答与对话-理论与基础之面向自然语言处理的深度学习基础 【邱锡鹏】 第十四届中国中文信息学会暑期学校暨中国中文信息学会《前沿科技讲习班》ATT第13期
专知会员服务
48+阅读 · 2019年10月21日
【机器学习基础最新版】(Mathematics for Machine Learning),417页pdf
专知会员服务
244+阅读 · 2019年10月21日
【干货】面向深度学习研究者的概率分布基础教程(附代码),庆熙大学| Tae Hwan Jung
专知会员服务
36+阅读 · 2019年9月9日
机器学习领域必知必会的12种概率分布(附Python代码实现)
算法与数学之美
21+阅读 · 2019年10月18日
Python机器学习课程(代码与教程)
专知
37+阅读 · 2019年5月13日
【代码分享】系列之朴素贝叶斯(github clone)
机器学习算法与Python学习
6+阅读 · 2018年3月24日
【书籍】深度学习框架:PyTorch入门与实践(附代码)
专知
16+阅读 · 2018年1月21日
推荐|深度学习PyTorch的教程代码
全球人工智能
10+阅读 · 2017年10月8日
【专知-PyTorch手把手深度学习教程06】NLP-Word Embedding快速理解与PyTorch实现: 图文+代码
专知
31+阅读 · 2017年10月7日
【专知-PyTorch手把手深度学习教程05】Dropout快速理解与PyTorch实现: 图文+代码
专知
8+阅读 · 2017年10月6日
【专知-PyTorch手把手深度学习教程04】GAN快速理解与PyTorch实现: 图文+代码
专知
9+阅读 · 2017年10月5日
资源 | GitHub万星:适用于初学者的TensorFlow代码资源集
机器之心
9+阅读 · 2017年9月2日
详解基于朴素贝叶斯的情感分析及Python实现
AI研习社
9+阅读 · 2017年7月12日
A Survey on Bayesian Deep Learning
Arxiv
64+阅读 · 2020年7月2日
A Survey on Causal Inference
Arxiv
112+阅读 · 2020年2月5日
Bivariate Beta LSTM
Arxiv
6+阅读 · 2019年10月7日
Transformer-XL: Attentive Language Models Beyond a Fixed-Length Context
Arxiv
11+阅读 · 2019年6月2日
Bayesian Convolutional Neural Networks
Arxiv
19+阅读 · 2018年6月27日
Understanding disentangling in $β$-VAE
Arxiv
4+阅读 · 2018年4月10日
Detecting and counting tiny faces
Arxiv
4+阅读 · 2018年1月19日
Inference Suboptimality in Variational Autoencoders
Arxiv
3+阅读 · 2018年1月10日
Negative Binomial Matrix Factorization for Recommender Systems
Arxiv
8+阅读 · 2018年1月5日
Dr.VAE: Drug Response Variational Autoencoder
Arxiv
3+阅读 · 2017年7月6日
VIP会员
自助开通(推荐)
客服开通
详情
相关主题
概率分布
伯努利分布
先验概率
共轭
概率
共轭分布
相关VIP内容
一份循环神经网络RNNs简明教程,37页ppt
专知会员服务
173+阅读 · 2020年5月6日
CMU-Ruslan 教授《深度学习基础:监督学习与生成模型》教程,127页ppt
专知会员服务
51+阅读 · 2020年2月14日
WSDM 2020教程《深度贝叶斯数据挖掘》,附257页PPT下载
专知会员服务
157+阅读 · 2020年2月7日
【ICCV 2019】贝叶斯优化的1-Bit CNNs 《Bayesian Optimized 1-Bit CNNs》
专知会员服务
16+阅读 · 2019年11月17日
【TensorFlow 2.0深度学习开源书】深度学习开源书,基于TensorFlow 2.0实战
专知会员服务
123+阅读 · 2019年11月13日
【书籍】深度学习框架:PyTorch入门与实践(附代码)
专知会员服务
167+阅读 · 2019年10月28日
【开源书】PyTorch深度学习起步,零基础入门(附pdf下载)
专知会员服务
114+阅读 · 2019年10月26日
问答与对话-理论与基础之面向自然语言处理的深度学习基础 【邱锡鹏】 第十四届中国中文信息学会暑期学校暨中国中文信息学会《前沿科技讲习班》ATT第13期
专知会员服务
48+阅读 · 2019年10月21日
【机器学习基础最新版】(Mathematics for Machine Learning),417页pdf
专知会员服务
244+阅读 · 2019年10月21日
【干货】面向深度学习研究者的概率分布基础教程(附代码),庆熙大学| Tae Hwan Jung
专知会员服务
36+阅读 · 2019年9月9日
热门VIP内容
开通专知VIP会员 享更多权益服务
【ICCV2025教程】基础模型遇见具身智能体
军事机器学习设计:关于开发自动化任务摘要系统的梯次化设计科学研究 | 2025最新93页
扩散模型中的缓存方法综述:迈向高效的多模态生成
【ICCV2025教程】《迈向视觉语言模型的全面推理》
相关资讯
机器学习领域必知必会的12种概率分布(附Python代码实现)
算法与数学之美
21+阅读 · 2019年10月18日
Python机器学习课程(代码与教程)
专知
37+阅读 · 2019年5月13日
【代码分享】系列之朴素贝叶斯(github clone)
机器学习算法与Python学习
6+阅读 · 2018年3月24日
【书籍】深度学习框架:PyTorch入门与实践(附代码)
专知
16+阅读 · 2018年1月21日
推荐|深度学习PyTorch的教程代码
全球人工智能
10+阅读 · 2017年10月8日
【专知-PyTorch手把手深度学习教程06】NLP-Word Embedding快速理解与PyTorch实现: 图文+代码
专知
31+阅读 · 2017年10月7日
【专知-PyTorch手把手深度学习教程05】Dropout快速理解与PyTorch实现: 图文+代码
专知
8+阅读 · 2017年10月6日
【专知-PyTorch手把手深度学习教程04】GAN快速理解与PyTorch实现: 图文+代码
专知
9+阅读 · 2017年10月5日
资源 | GitHub万星:适用于初学者的TensorFlow代码资源集
机器之心
9+阅读 · 2017年9月2日
详解基于朴素贝叶斯的情感分析及Python实现
AI研习社
9+阅读 · 2017年7月12日
相关论文
A Survey on Bayesian Deep Learning
Arxiv
64+阅读 · 2020年7月2日
A Survey on Causal Inference
Arxiv
112+阅读 · 2020年2月5日
Bivariate Beta LSTM
Arxiv
6+阅读 · 2019年10月7日
Transformer-XL: Attentive Language Models Beyond a Fixed-Length Context
Arxiv
11+阅读 · 2019年6月2日
Bayesian Convolutional Neural Networks
Arxiv
19+阅读 · 2018年6月27日
Understanding disentangling in $β$-VAE
Arxiv
4+阅读 · 2018年4月10日
Detecting and counting tiny faces
Arxiv
4+阅读 · 2018年1月19日
Inference Suboptimality in Variational Autoencoders
Arxiv
3+阅读 · 2018年1月10日
Negative Binomial Matrix Factorization for Recommender Systems
Arxiv
8+阅读 · 2018年1月5日
Dr.VAE: Drug Response Variational Autoencoder
Arxiv
3+阅读 · 2017年7月6日
大家都在搜
PINN
WOS
2025最新文献
NTU博士论文
扩散模型
突防
国防科技创新
朱克爱德华兹家族
事件相机
无人机航拍交通事故现场勘查处置系统——行业第一的警用事故处理软件
Top
提示
微信扫码
咨询专知VIP会员与技术项目合作
(加微信请备注: "专知")
微信扫码咨询专知VIP会员
Top