自动微分到底是什么?这里有一份自我简述

2020 年 6 月 3 日 机器之心
机器之心整理

参与:思、Jamin

一直以来,自动微分都在 DL 框架背后默默地运行着,本文希望探讨它到底是什么,通过 JAX,自动微分又能怎么用。
自动微分现在已经是深度学习框架的标配,我们写的任何模型都需要靠自动微分机制分配模型损失信息,从而更新模型。在广阔的科学世界中,自动微分也是必不可少的。说到底,大多数算法都是由基本数学运算与基本函数组建的。

在 ICLR 2020 的一篇 Oral 论文中(满分 8/8/8),图宾根大学的研究者表示,目前深度学习框架中的自动微分模块只会计算批量数据反传梯度,但批量梯度的方差、海塞矩阵等其它量也很重要,它们可以在计算梯度的过程中快速算出来。

目前自动微分框架只计算出梯度,因此就限定了研究方向只能放在梯度下降变体之上,而不能做更广的探讨。为此,研究者构建了 BACKPACK,它建立在 PyTorch 之上,还扩展了自动微分与反向传播能获得的信息。

选自论文 BACKPACK,arXiv:1912.10985。

除此之外,Julia Computing 团队去年 7 月份也发表了一份论文,提出了可微编程系统,它能将自动微分内嵌于 Julia 语言,从而将其作为第一级的语言特性。由于广泛的科学计算和机器学习领域都需要线性代数的支持,因此这种可微编程能成为更加通用的一种模式。

从这些前沿研究可以清晰地感受到,自动微分越来越重要。

自动微分是什么

在数学与计算代数学中,自动微分也被称为微分算法或数值微分。它是一种数值计算的方式,用来计算因变量对某个自变量的导数。此外,它还是一种计算机程序,与我们手动计算微分的「分析法」不太一样。

自动微分基于一个事实,即每一个计算机程序,不论它有多么复杂,都是在执行加减乘除这一系列基本算数运算,以及指数、对数、三角函数这类初等函数运算。通过将链式求导法则应用到这些运算上,我们能以任意精度自动地计算导数,而且最多只比原始程序多一个常数级的运算。


一般而言会存在两种不同的自动微分模式,即前向累积梯度(前向模式)和反向累计梯度(反向模式)。前向累积会指定从内到外的链式法则遍历路径,即先计算 d_w1/d_x,再计算 d_w2/d_w1,最后计算 dy/dw_2。

反向梯度累积正好相反,它会先计算 dy/dw_2,然后计算 d_w2/d_w1,最后计算 d_w1/d_x。这是我们最为熟悉的反向传播模式,它非常符合「沿模型误差反向传播」这一直观思路。


如图所示,两种自动微分模式都在求 dy/dx,只不过根据链式法则展开的形式不太一样。

来一个实例:误差传播

在统计学上,由于变量含有误差,使得函数也含有误差,我们将其称之为误差传播。阐述这种关系的定律叫做误差传播定律。

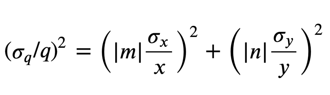
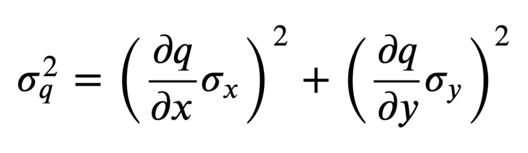
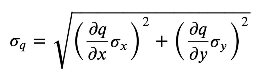
先定义一个函数 q(x,y) ,我们想通过 q 传递 x 与 y 的不确定性信息,即 𝜎_x 与 𝜎_y。最直接的方式是随机采样 x 与 y,并计算 q 的值,然后查看它的分布。这就是「传播不确定性」这个概念的意义。

误差传播的积分公式可以是一个近似值, q(x,y) 的一般表达式可以写为:


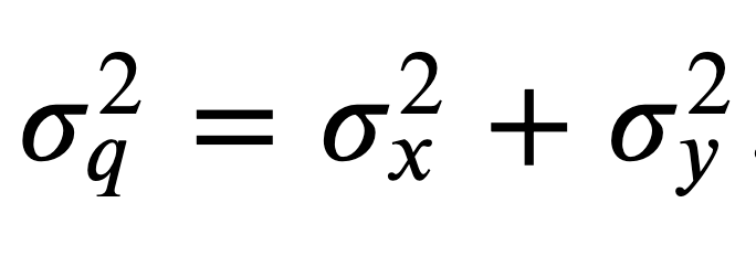
如果我们定义一个特殊案例,即 q(x,y)=x±y,那么总不确定性可以写为:


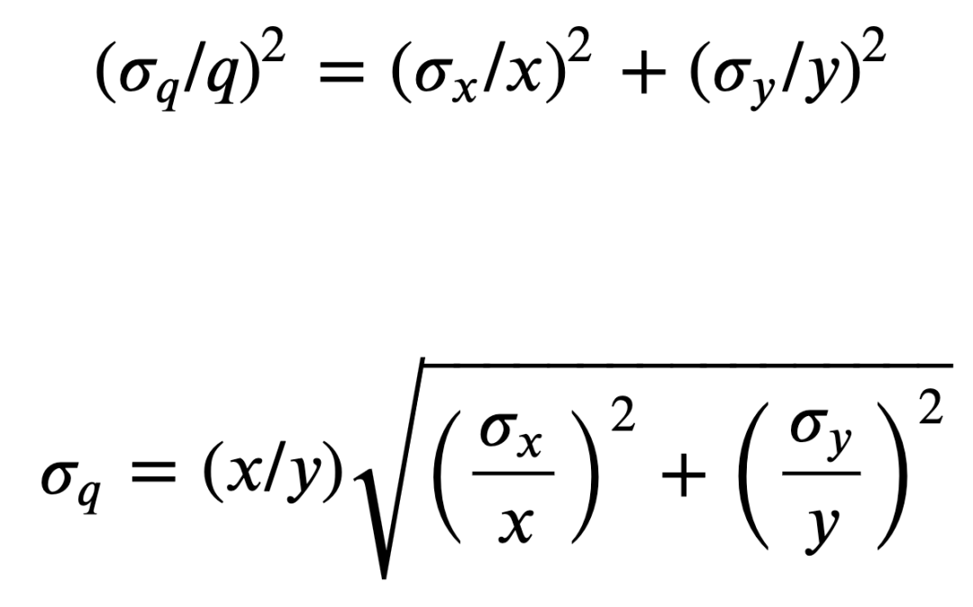
对于特例 q(x,y)=xy 与 q(x,y)=x/y ,不确定性分别为 (σ_q/q)^2 = (σ_x/x)^2+(σ_y/y)^2 与 σ_q=(x/y)* sqrt((σ_x/x)^2+(σ_y/y)^2)。

我们可以尝试这些方法,并对比根据这些近似公式算出来的反传误差,以及实际发生的反传误差。

实战 JAX 自动微分

Jax 是谷歌开源的一个科学计算库,能对 Python 程序与 NumPy 运算执行自动微分,而且能够在 GPU 和 TPU 上运行,具有很高的性能。

如下先导入 JAX,然后用三行代码就能定义之前给出的反传不确定性度量。

from jax *import* grad, jacfwd
import jax.numpy *as* np

def error_prop_jax_gen(q,x,dx):
    jac = jacfwd(q)
    return np.sqrt(np.sum(np.power(jac(x)*dx,2)))


这里计算的反传梯度是根据 jax 完成的,后面的反传误差会直接通过公式计算,并对比两者。

1. 配置两个具有不确定性的观察值

我们需要使用 x 与 y 作为符号推理,但可以把它们都储存在数组 x 中,x[0]=x、x[1]=y。

x_ = np.array([2.,3.])
dx_ = np.array([.1,.1])

2. 加减法

在 𝑞(𝑥,𝑦)=𝑥±𝑦 这一特例情况下,误差传播公式可以简化为



上图所示,通过误差传播公式计算出来的值与 JAX 计算出来的是一致地。

3. 乘除法

在 𝑞(𝑥,𝑦)=𝑥𝑦 与 𝑞(𝑥,𝑦)=𝑥/𝑦 这两种特例中,误差传播公式可以写为:



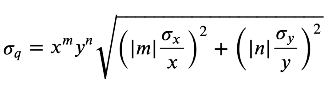
4. 幂

对于特例 𝑞(𝑥,𝑦)=𝑥^𝑚*𝑦^𝑛,传播公式可以表示为:


我们可以写成



JAX 的使用非常多样,甚至能直接使用它搭建神经网络。例如 JAXnet 框架,它是一个基于 JAX 的深度学习库,它的 API 提供了便利的模型搭建体验。比如说,以下代码就能建个神经网络:

from jaxnet import *

net = Sequential(Dense(1024), relu, Dense(1024), relu, Dense(4), logsoftmax)

此外,不久之前,DeepMind 也发布了两个新库:在 Jax 上进行面向对象开发 的 Haiku 和 Jax 上的强化学习库 RLax。JAX 这样的通用自动微分库也许能在更广泛的领域发挥作用。

参考阅读:



机器之心联合 AWS 开设线上公开课,通过 6 次直播课程帮助大家熟悉 Amazon SageMaker 各项组件的使用方法,轻松玩转机器学习。

6 月 4 日 20:00,AWS高级解决方案架构师王元恺将带来第 4 课,详解如何使用 DeepAR 进行时间序列预测。

点击阅读原文或识别二维码,立即预约直播。

登录查看更多
2

相关内容

在数学和计算机代数中,自动微分有时称作演算式微分,是一种可以借由计算机程序计算一个函数导数的方法。两种传统做微分的方法为:(1)对一个函数的表示式做符号上的微分,并且计算其在某一点上的值。(2)使用差分。使用符号微分最主要的缺点是速度慢及将计算机程序转换成表示式的困难。此外,很多函数在要计算更高阶微分时会变得复杂。 使用差分的两个重要的缺点是舍弃误差及数值化过程和相消误差。此两者传统方法在计算更高阶微分时,都有复杂度及误差增加的问题。自动微分则解决上述的问题。
最新《自动微分手册》77页pdf
专知会员服务
103+阅读 · 2020年6月6日
麻省理工学院MIT-ICLR2020《神经网络能推断出什么?》
专知会员服务
51+阅读 · 2020年2月19日
图卷积网络到底怎么做,这是一份极简的Numpy实现
从张量到自动微分:PyTorch入门教程
论智
9+阅读 · 2018年10月10日
什么是深度学习的卷积?
论智
18+阅读 · 2018年8月14日
教程 | PyTorch经验指南:技巧与陷阱
机器之心
15+阅读 · 2018年7月30日
PyTorch:60分钟入门学习
全球人工智能
13+阅读 · 2018年5月18日
【干货】理解深度学习中的矩阵运算
机器学习研究会
18+阅读 · 2018年2月12日
干货|7步掌握基于Keras的深度学习!
全球人工智能
4+阅读 · 2017年11月14日
神经网络中的「注意力」是什么?怎么用?
北京思腾合力科技有限公司
17+阅读 · 2017年10月28日
Meta-Learning with Implicit Gradients
Arxiv
13+阅读 · 2019年9月10日
Arxiv
21+阅读 · 2019年8月21日
Arxiv
7+阅读 · 2018年12月26日
Arxiv
4+阅读 · 2018年10月31日
Arxiv
4+阅读 · 2018年10月5日
Efficient and Effective $L_0$ Feature Selection
Arxiv
5+阅读 · 2018年8月7日
The Matrix Calculus You Need For Deep Learning
Arxiv
12+阅读 · 2018年7月2日
Arxiv
5+阅读 · 2018年2月26日
Arxiv
27+阅读 · 2017年12月6日
Arxiv
4+阅读 · 2017年7月25日
VIP会员
相关资讯
图卷积网络到底怎么做,这是一份极简的Numpy实现
从张量到自动微分:PyTorch入门教程
论智
9+阅读 · 2018年10月10日
什么是深度学习的卷积?
论智
18+阅读 · 2018年8月14日
教程 | PyTorch经验指南:技巧与陷阱
机器之心
15+阅读 · 2018年7月30日
PyTorch:60分钟入门学习
全球人工智能
13+阅读 · 2018年5月18日
【干货】理解深度学习中的矩阵运算
机器学习研究会
18+阅读 · 2018年2月12日
干货|7步掌握基于Keras的深度学习!
全球人工智能
4+阅读 · 2017年11月14日
神经网络中的「注意力」是什么?怎么用?
北京思腾合力科技有限公司
17+阅读 · 2017年10月28日
相关论文
Meta-Learning with Implicit Gradients
Arxiv
13+阅读 · 2019年9月10日
Arxiv
21+阅读 · 2019年8月21日
Arxiv
7+阅读 · 2018年12月26日
Arxiv
4+阅读 · 2018年10月31日
Arxiv
4+阅读 · 2018年10月5日
Efficient and Effective $L_0$ Feature Selection
Arxiv
5+阅读 · 2018年8月7日
The Matrix Calculus You Need For Deep Learning
Arxiv
12+阅读 · 2018年7月2日
Arxiv
5+阅读 · 2018年2月26日
Arxiv
27+阅读 · 2017年12月6日
Arxiv
4+阅读 · 2017年7月25日
Top
微信扫码咨询专知VIP会员