AAAI 2020 | DIoU和CIoU:IoU在目标检测中的正确打开方式

2020 年 2 月 9 日 AI科技评论

作者 | VincentLee

编辑 | Camel

本文来源于微信公众号:晓飞的算法工程笔记

本文对发表于 AAAI 2020 的论文《Distance-IoU Loss: Faster and Better Learning for Bounding Box Regression》进行解读。

论文地址:https://arxiv.org/abs/1911.08287
代码地址:https://github.com/Zzh-tju/DIoU
论文提出了IoU-based的DIoU loss和CIoU loss,以及建议使用DIoU-NMS替换经典的NMS方法,充分地利用IoU的特性进行优化。 并且方法能够简单地迁移到现有的算法中带来性能的提升,实验在YOLOv3上提升了5.91mAP,值得学习。
一、简介

1、IoU

IoU是目标检测里面很重要的一个指标,通过预测的框和GT间的交集与并集的比例进行计算,经常用于评价bbox的优劣 。 但一般对bbox的精调都采用L2范数,而一些研究表明这不是最优化IoU的方法,因此出现了IoU loss。

2、IoU loss

IoU loss顾名思义就是直接通过IoU计算梯度进行回归,论文提到IoU loss的无法避免的缺点: 当两个box无交集时,IoU=0,很近的无交集框和很远的无交集框的输出一样,这样就失去了梯度方向,无法优化。 IoU loss的实现形式有很多种,除公式2外,还有UnitBox的交叉熵形式和IoUNet的Smooth-L1形式。
这里论文主要讨论的类似YOLO的检测网络,按照GT是否在cell判断当前bbox是否需要回归,所以可能存在无交集的情况。 而一般的two stage网络,在bbox regress的时候都会卡 ,不会对无交集的框进行回归。

3、GIoU loss

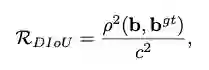
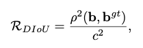
GIou loss在IoU loss的基础上增加一个惩罚项, 为包围预测框 的最小区域大小,当bbox的距离越大时,惩罚项将越大。
尽管GIoU解决了IoU的梯度问题,但他仍然存在几个限制:

图 1、边界框回归步骤GIoU损失(第一行)和DIoU损失(第二行)。绿色和黑色分别表示target框和anchor框。蓝色和红色分别表示GIoU损失和DIoU损失的预测框。GIoU损失一般会增加预测框的大小,使其与target框重叠,而DIoU损失则直接使中心点的归一化距离最小化。

如图1所示,在训练过程中,GIoU倾向于先增大bbox的大小来增大与GT的交集,然后通过公式3的IoU项引导最大化bbox的重叠区域。

图 2、在这种情况下,GIoU的loss会退化为IoU的loss,而DIoU的loss仍然可以区分。绿色和红色分别表示目标框和预测框。

如图2中的包含情况,GIoU会退化成IoU。
由于很大程度依赖IoU项,GIoU需要更多的迭代次数来收敛,特别是水平和垂直的bbox(后面会分析)。 一般地,GIoU loss不能很好地收敛SOTA算法,反而造成不好的结果。

4、DIoU

综合上面的分析,论文提出Distance-IoU(DIoU) loss,简单地在IoU loss基础上添加一个惩罚项,该惩罚项用于最小化两个bbox的中心点距离。 如图1所示,DIoU收敛速度和效果都很好,而且DIoU能够用于NMS的计算中,不仅考虑了重叠区域,还考虑了中心点距离。 另外,论文考虑bbox的三要素,重叠区域,中心点距离和长宽比,进一步提出了Complete IoU(CIoU) loss,收敛更快,效果更好。

二、对 IoU Loss 和GIoU Loss 的分析

为了全面地分析IoU loss和GIoU的性能,论文进行了模拟实验,模拟不同的距离、尺寸和长宽比的bbox的回归情况。

1、Simulation Experiment

图 3、Simulation Experiment

如图3所示,实验选择7个不同长宽比(1:4, 1:3, 1:2, 1:1, 2:1, 3:1, 4:1)的单元box(area=1)作为GT,单元框的中心点固定在(7, 7),而实验共包含5000 x 7 x 7个bbox,且分布是均匀的:
  • Distance: 在中心点半径3的范围内均匀分布5000中心点,每个点带上7种scales和7种长宽比;
  • Scale: 每个中心点的尺寸分别为0.5, 0.67, 0.75, 1, 1.33, 1.5, 2 ;
  • Aspect ratio: 每个中心点的长宽比为1:4, 1:3, 1:2, 1:1, 2:1, 3:1, 4:1。

给定一个loss函数 ,可以通过梯度下降来模拟bbox优化的过程。 对于预测的bbox 阶段的结果, 的梯度,使用 来加速收敛。 bbox的优化评价使用 -norm,共训练200轮,error曲线如图3b所示

2、Limitations of IoU and GIoU Losses

图 4

论文将5000个中心点上的bbox在最后阶段的total error进行了可视化。 IoU loss只对与target box有交集的bbox有效,因为无交集的bbox的 为0。 而GIoU由于增加了惩罚函数,盆地区域明显增大,但是垂直和水平的区域依然保持着高错误率,这是由于GIoU的惩罚项经常很小甚至为0,导致训练需要更多的迭代来收敛。

三、方法

一般而言,IoU-based loss可以定义为公式5, 是预测box 的惩罚项。

1、Distance-IoU Loss

论文提出了能减少两个box中心点间的距离的惩罚项, 分别表示 的中心点。 是欧氏距离, 是最小包围两个bbox的框的对角线长度。

DIoU loss的完全定义如公式7。

图 5

DIoU loss的惩罚项能够直接最小化中心点间的距离,而GIoU loss意在减少外界包围框的面积   DIoU loss保留了IoU loss和GIoU loss的一些属性:
  • DIoU loss依然是尺寸无关的,不会大尺寸产生大的loss,小尺寸产生小的loss那样;
  • 类似于GIoU loss,DIoU loss能够为无交集的bbox提供梯度方向;
  • 当bbox完全重合时, ,当bbox很远时,
在模拟实验中,发现DIoU loss也有一些独有的属性:
  • 如图1和图3所示,DIoU loss能够直接最小化bbox的中心点距离。 因此,他的收敛很快;
  • 在包含的情况下,或垂直和水平的情况下,DIoU loss的收敛非常快,而GIoU loss则几乎退化成了IoU loss。

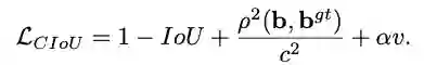
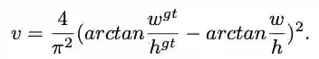
2、Complete IoU loss

论文考虑到bbox回归三要素中的长宽比还没被考虑到计算中,因此,进一步在DIoU的基础上提出了CIoU。 其惩罚项如公式8,其中 是权重函数,而 用来度量长宽比的相似性。

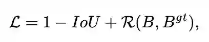
完整的损失函数定义如公式10。

α 的定义如公式11,重叠区域能够控制权重的大小。

最后,CIoU loss的梯度类似于DIoU loss,但还要考虑 的梯度。 在长宽在 的情况下, 的值通常很小,会导致梯度爆炸,因此在实现时将 替换成1。

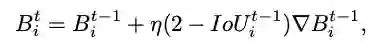
3、Non-Maximum Suppression using DIoU

在原始的NMS中,IoU指标用于抑制多余的检测框,但由于仅考虑了重叠区域,经常会造成错误的抑制,特别是在bbox包含的情况下。 因此,可以使用DIoU作为NMS的标准,不仅考虑重叠区域,还考虑了中心点距离。

其中 是分类置信度, 为NMS阈值, 为最高置信度的框。 DIoU-NMS倾向于中心点距离较远的box存在不同的对象,而且仅需改几行代码,DIoU-NMS就能够很简单地集成到目标检测算法中。

四、实验结果

1、YOLO v3 on PASCAL VOC

在YOLOv3上进行实验对比,DIoU loss和CIoU的效果都很显著,mAP分别提升3.29%和5.67%,而AP75则分别提升6.40%和8.43%,而使用DIoU-NMS则能进一步提升,幅度达到5.91%和9.88%。

2、SSD on PASCAL VOC

在SSD-FPN上进行实验对比,因为本身模型已经精度很好了,DIoU loss和CIoU的效果不是很显著,但仍有提升。 mAP分别提升0.59%和0.84%,而AP75则分别提升1.77%和2.59%,而使用DIoU-NMS则能进一步提升效果。

3、Faster R-CNN on MS COCO

在Faster R-CNN ResNet-50-FPN上,由于Faster R-CNN本身提供的bbox质量都比较高(即在图4的盆地),因此,GIoU的优化都很小,但此时DIoU和CIoU则表现了不错的优化效果。 注意到,CIoU在小物体上的性能都有所下降,可能由于长宽比对小物体的检测贡献不大,因为此时中心点比长宽比重要。

图 6

图6对GIoU和CIoU的结果进行了可视化,可以看到,在中大型物体检测上,CIoU的结果比GIoU要准确。

4、Discussion on DIoU-NMS

图 7

如图7所示,DIoU-NMS能够更好地引导bbox的消除。

图 8

为了进一步验证DIoU-NMS的效果,进行了对比实验。 如图8所示,DIoU-NMS的整体性能都比原生的NMS效果要好。
五、总结
论文提出了两种新的IoU-based损失函数,DIoU loss和CIoU loss: DIoU loss最小化bbox间的中心点距离,从而使得函数快速收敛; CIoU loss则在DIoU loss的基础上加入长宽比的考量,能够进一步地快速收敛和提升性能。 另外论文提出DIoU-NMS来代替原生的NMS,充分地利用IoU的特性进行优化,从实验结果来看,效果也是很好的。


AAAI 2020 报道:

新型冠状病毒疫情下,AAAI2020 还去开会吗?

美国拒绝入境,AAAI2020现场参会告吹,论文如何分享?

AAAI 最佳论文公布


AAAI 2020 论文集:
AAAI 2020 论文解读会 @ 望京(附PPT下载)
AAAI 2020上的NLP有哪些研究风向?
微软 6 篇精选 AAAI 2020 论文


AAAI 2020 论文解读系列:

01. [中科院自动化所] 通过识别和翻译交互打造更优的语音翻译模型
02. [中科院自动化所] 全新视角,探究「目标检测」与「实例分割」的互惠关系
03. [北理工] 新角度看双线性池化,冗余、突发性问题本质源于哪里?
04. [复旦大学] 利用场景图针对图像序列进行故事生成
05. [腾讯 AI Lab] 2100场王者荣耀,1v1胜率99.8%,腾讯绝悟 AI 技术解读
06. [复旦大学] 多任务学习,如何设计一个更好的参数共享机制?
07. [清华大学] 话到嘴边却忘了?这个模型能帮你 | 多通道反向词典模型
08. [北航等] DualVD: 一种视觉对话新框架
09. [清华大学] 借助BabelNet构建多语言义原知识库
10. [微软亚研] 沟壑易填:端到端语音翻译中预训练和微调的衔接方法
11. [微软亚研] 时间可以是二维的吗?基于二维时间图的视频内容片段检测
12. [清华大学] 用于少次关系学习的神经网络雪球机制

13. [中科院自动化所] 通过解纠缠模型探测语义和语法的大脑表征机制

14. [中科院自动化所] 多模态基准指导的生成式多模态自动文摘

15. [南京大学] 利用多头注意力机制生成多样性翻译

16. [UCSB 王威廉组] 零样本学习,来扩充知识图谱(视频解读)

17. [上海交大] 基于图像查询的视频检索,代码已开源!

18. [奥卢大学] 基于 NAS 的 GCN 网络设计(视频解读)
19. [中科大] 智能教育系统中的神经认知诊断,从数据中学习交互函数
20. [北京大学] 图卷积中的多阶段自监督学习算法
21. [清华大学] 全新模型,对话生成更流畅、更具个性化(视频解读,附PPT)
22. [华南理工] 面向文本识别的去耦注意力网络
23. [自动化所] 基于对抗视觉特征残差的零样本学习方法
24. [计算所] 引入评估模块,提升机器翻译流畅度和忠实度(已开源)
25. [北大&上交大] 姿态辅助下的多相机协作实现主动目标追踪
26. [快手] 重新审视图像美学评估 & 寻找精彩片段聚焦点
27. [计算所&微信AI] 改进训练目标,提升非自回归模型翻译质量(已开源)
28. [中科院&云从科技]: 双视图分类,利用多个弱标签提高分类性能
29. [中山大学] 基于树状结构策略的渐进强化学习
30. [东北大学] 基于联合表示的神经机器翻译(视频解读)
31. [计算所]引入评估模块,提升机器翻译流畅度和忠实度(视频解读)
32. [清华大学]用于少次关系学习的神经网络雪球机制(视频解读)
33. [计算所]非自回归机器翻译,基于n元组的训练目标(视频解读)
34. [清华大学] 司法考试数据集(视频解读,附下载链接)
35. [自动化所] 弱监督语义分割(视频解读)
36. [自动化所] 稀疏二值神经网络,不需要任何技巧,取得SOTA精度(视频解读)
37. [华科&阿里] 从边界到文本—一种任意形状文本的检测方法
38. [上交大&云从科技] DCMN+ 模型:破解「阅读理解」难题,获全球领先成绩
39. [自动化所&微信AI] 双通道多步推理模型,更好解决视觉对话生成问题
40. [ETH Zurich] 反向R? 削弱显著特征为细粒度分类带来提升
41. [中科大] RiskOracle: 一种时空细粒度交通事故预测方法
42. [华为] 短小时序,如何预测? ——基于特征重构的张量ARIMA
43. [清华大学] 棋盘游戏做辅助,进行跳跃式标注(视频解读)
44. [商汤] 新视频语义分割和光流联合学习算法
45. [商汤] 新弱监督目标检测框架


更多AAAI 2020信息,将在「AAAI 2020 交流群」中进行,加群方式:添加AI研习社顶会小助手(AIyanxishe2),备注「AAAI」,邀请入群。

   


点击“阅读原文” 前往 AAAI 2020 专题页

登录查看更多
0

相关内容

【文献综述】深度学习目标检测方法及其主流框架综述
专知会员服务
119+阅读 · 2020年6月26日
专知会员服务
164+阅读 · 2020年4月21日
CVPR2020 | 商汤-港中文等提出PV-RCNN:3D目标检测新网络
专知会员服务
45+阅读 · 2020年4月17日
47.4mAP!最强Anchor-free目标检测网络:SAPD
极市平台
13+阅读 · 2019年12月16日
CVPR 2019:精确目标检测的不确定边界框回归
AI科技评论
13+阅读 · 2019年9月16日
目标检测中边界框的回归策略
极市平台
17+阅读 · 2019年9月8日
理解 YOLO 目标检测
AI研习社
22+阅读 · 2018年11月5日
Fast R-CNN
数据挖掘入门与实战
3+阅读 · 2018年4月20日
Focal Loss for Dense Object Detection
统计学习与视觉计算组
12+阅读 · 2018年3月15日
使用SSD进行目标检测:目标检测第二篇
专知
29+阅读 · 2018年1月28日
Scale-Aware Trident Networks for Object Detection
Arxiv
4+阅读 · 2019年1月7日
Arxiv
6+阅读 · 2018年7月9日
Arxiv
5+阅读 · 2018年5月16日
Arxiv
3+阅读 · 2018年3月27日
Arxiv
7+阅读 · 2018年3月19日
Arxiv
8+阅读 · 2018年1月12日
VIP会员
相关资讯
47.4mAP!最强Anchor-free目标检测网络:SAPD
极市平台
13+阅读 · 2019年12月16日
CVPR 2019:精确目标检测的不确定边界框回归
AI科技评论
13+阅读 · 2019年9月16日
目标检测中边界框的回归策略
极市平台
17+阅读 · 2019年9月8日
理解 YOLO 目标检测
AI研习社
22+阅读 · 2018年11月5日
Fast R-CNN
数据挖掘入门与实战
3+阅读 · 2018年4月20日
Focal Loss for Dense Object Detection
统计学习与视觉计算组
12+阅读 · 2018年3月15日
使用SSD进行目标检测:目标检测第二篇
专知
29+阅读 · 2018年1月28日
Top
微信扫码咨询专知VIP会员