Nature封面:城里人为什么容易路痴?

2022 年 4 月 7 日 新智元



  新智元报道  

编辑:好困 袁榭

【新智元导读】最近一期Nature杂志的封面文章表明,在规整城区长大的人,路痴度确实显著高于在芜杂城区长大的人。


北京,城区四四方方、街道齐齐整整。

 

重庆,城区是个山间迷宫,外地人大都有过上桥-爬坡-下坡-迷路的经历。

 

到底哪个城市长大的人,路痴程度更高呢?

 

答:北京人。

 

真的,不是恶搞。

 

 

在最近一期的Nature封面文章中,研究人员发现:在空间拓扑结构复杂、信息熵值高的地方成长可以获得更强的空间导航能力。

 

城市建得太规整,长大容易变路痴


毋庸置疑,环境的地理与文化性质对人类的认知功能有影响。

 

比如在绿植环境生活的人不容易抑郁、在水泥森林底层生活的人则反之,等等。对于空间导航能力来说,亦是如此。

 

此前的研究表明,人类在复杂环境中找路时,不仅会激活海马体甚至还能增加其后部的体积。

 

不过,一个人成长的环境如何影响其后天认知能力,相关研究仍然甚少。其中的原因主要有两个:

 

  1. 人类活动环境的复杂度,远比啮齿动物的笼子更难定性和定量;

  2. 从生活在不同环境中的人群中收集大量样本的认知数据,成本非常高。

 

左:伦敦;右:纽约

 

为了克服这些限制,研究人员通过嵌入在电子游戏中的认知任务,测试了来自全球38个地域的397162人的非语言空间导航能力。

 

并利用香农提出的信息熵,建立了对街道网络复杂性的衡量标准,从而对人类的空间导航能力进行量化。

 

经过计算,研究人员得出了38个地域最大城市的平均街道网络熵值 (SNE):网格状城市(例如芝加哥)的SNE较小,而结构更有机芜杂的城市(例如布拉格)的SNE较高。

 

简单来说就是,熵越小,城市街道网络就越简单、越有序。

 

上:阿根廷;下:罗马尼亚

 

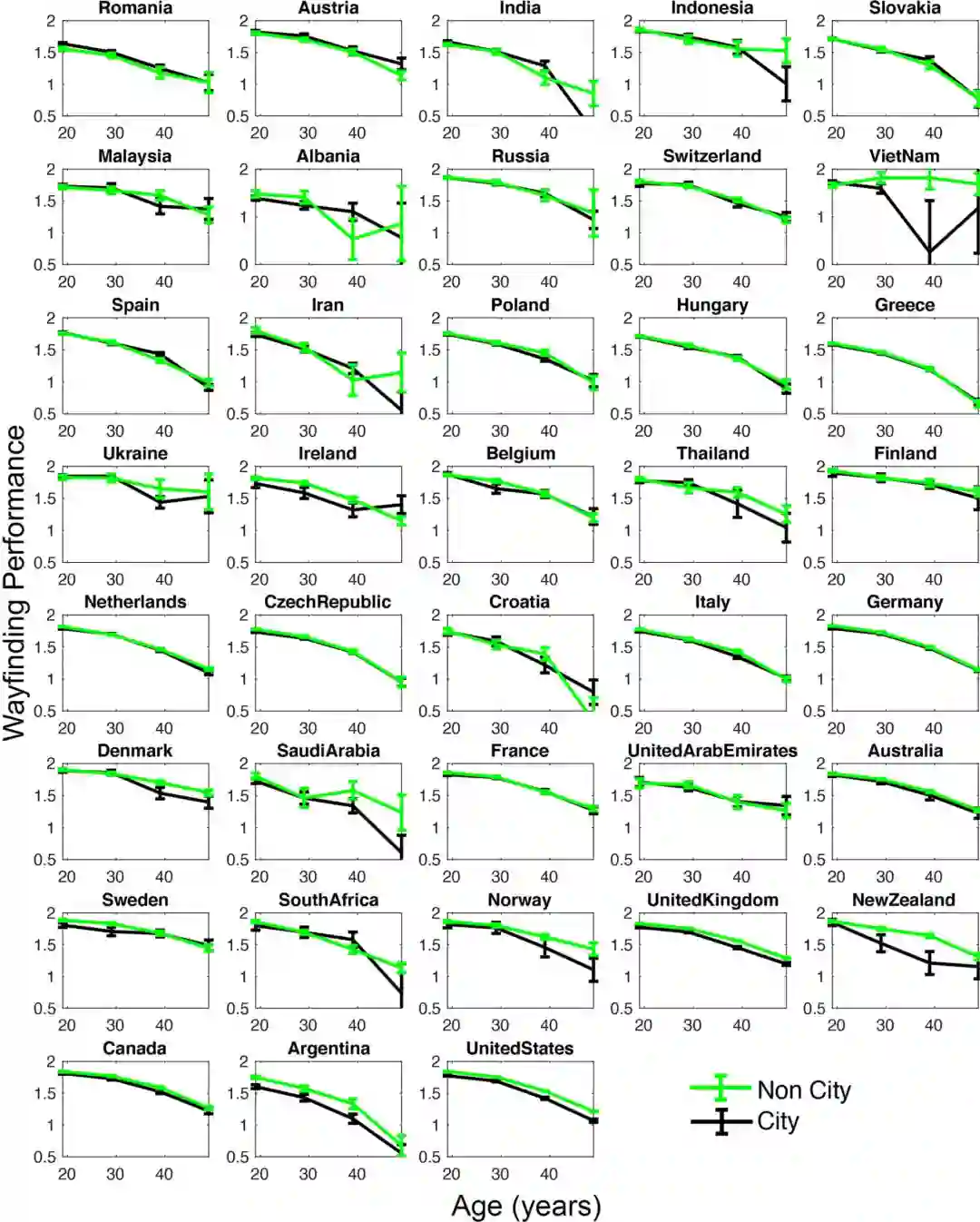
为了便于评价,研究人员定义了「找路表现」指标(wayfinding performance,WF),它在控制变量的同时,记录了参与者在找路时的效率。

 

同时,研究人员还把参与者的找路能力和所在地域关联了起来,并制作了一个线性混合模型(LMM)。

 

其中包括年龄、性别和教育的固定效应和地域的随机效应,以及环境的随机斜率:WFperf~年龄+性别+教育+(1+环境/地域)。

 

38个地域的SNE和环境效应(正值表示在城市以外长大的参与者有优势)

 

a. 不同地域之间的差异。b. 左:不同SNE的例子,低(美国芝加哥)和高(捷克布拉格);中:街道方位的分布,以10°为单位分为36个区间;右:每个地域的平均SNE与环境效应大小(随机环境斜率)的关系。

 

总结来说,人们更擅长在与他们长大的地方拓扑结构相似的环境中找路,也就是城市以外长大的人更擅长在复杂空间中进行导航。

 

此外,人们空间导航的能力整体而言会随着年龄的增长而逐渐衰退,不过,如果是在美国城市里长大的,那么你找路的能力相当于比同龄人老了5岁。

 

不同地域不同年龄组在找路时的表现

 

玩游戏老迷路的原因找到了

 

研究人员使用了游戏《航海英雄》(Sea Hero Quest)的数据库,其中包含使用移动游戏《航海英雄》测量的390万参与者的空间导航行为。

 

《航海英雄》的玩法涉及驾驶船只在虚拟海面上寻找生物,技能已被之前的医学研究证明可以预测现实世界的导航能力。

 

 

在此研究中,研究人员专注于其中的探路任务,先向参与者展示了一张游戏内地图,该地图指示开始位置和几个关卡点的位置,参与者要按设定的顺序找到。

 

为了提供对空间导航能力的可靠估计,研究人员只使用了至少到达11个游戏内关卡点、并输入所有自身相关信息的参与者的数据。

 

最后结果是来自38个地域的397162名参与者被纳入研究对象。其中男性212143人(平均年龄37.81 ± 13.59岁),女性185173人(平均年龄38.67 ± 14.92岁)。

 

 

c、e. 分别为第42与68关所有玩家的轨迹热图,其中黑色三角为起始点,带圈数字为参与者被要求达到的关卡记录点;d、f. 分别为第42与68关部分玩家的轨迹示例。

 


g、h. 参与者在《航海英雄》「找路表现」与生长环境的相关性数据图,次要指标分为为性别与教育程度两种,横轴为年龄。《航海英雄》「找路表现」为纵轴,并以参与者年龄的五年为一段分别。

 

研究人员确定了测试的对称效果,即参与者在《航海英雄》游戏中不同空间拓扑结构的关卡的表现,是否与成长环境的空间拓扑结构产生的效果有对应关系。

 

研究人员的假设是,在更复杂空间拓扑的环境中长大的人,可能在《航海英雄》游戏中熵值更高的关卡中表现更好。相对应的,在规整城区长大的人可能在游戏的普通熵值关卡中表现更好。

 

 

研究人员用k-均值算法将不同地域的城市环境分为两个「平均街道网络熵值」 (SNE)的组别,包含了一个低SNE组和一个高SNE组。然后以类似方法定义了《航海英雄》游戏关卡的熵值,熵值分布程度的不同是基于游戏关卡的简化维诺图计算出来的。

 

为了在分析中包含尽可能多的空间拓扑结构的游戏关卡,研究人员对完成所有游戏关卡(75个关卡,最后筛剩9439名参与者)的参与者进行了以下分析,为参与者的「找路表现」拟合了两个线性混合模型(LMM):一个是来自低SNE地域的参与者(2021人),另一个是来自高SNE地域的参与者(7418人)。

 

两个模型都控制了年龄、性别和教育水平的变量。

 

 

a. 游戏第42关与68关轨迹的空间熵值分布;b. 42个找路关卡中每个关卡的熵值与高/低SNE地域参与者表现的函数曲线斜率;c. 标准化的参与者手指滑动轨迹长度与游戏关卡路径长度中位数的函数图;d. 参与者生长环境影响与与游戏关卡路径长度中位数的函数图;e. 《城市英雄》的游戏截图。

 

研究人员观察到,唯一的斜率负值对应于在低SNE地域长大的参与者,这表明习惯于较少熵环境的人在较少熵的游戏关卡中表现更好。

 




《航海英雄》的另一版本:《城市英雄》

 

由于活动地点区位的分布更密集,居住在市中心的人们通常比居住在郊区或农村环境中的人们出行的距离更短。

 

因此,研究人员假设来自城市的参与者在需要更短轨迹的游戏关卡中会有更好的找路表现。

 

 

为了检验这一假设,研究人员将参与者在每个关卡的手指划过屏幕的轨迹长度标准化,并将它们与相应的游戏关卡路径长度中位数进行对比。

 

从结果来看,在城市中长大的参与者在较小空间的游戏关卡中的表现,一般比自己在较大空间的游戏关卡中的表现好;而在城市外长大的参与者在较大的游戏关卡中的表现,比自己在较小空间的游戏关卡中的表现好。

 

学历再高,也是路痴

 

研究人员表示,平均而言,在城市长大的人比在城市以外长大的人的找路导航技能更差,即使在控制年龄、性别和教育水平等变量的情况下也是如此。

 

也就是说,人类发展的导航策略与他们所习惯的环境类型相一致,而换到在其他环境之后,就会变得不那么适用了。

 

 

此外,来自城市的人和来自非城市地区的人之间的这种差异因地域而异,例如,此差异在美国的程度,是在罗马尼亚的六倍多。

 

研究人员认为,这种对空间的认知能力是和一个人的成长环境有关的,而且这种关联在整个生命期是稳定的。


比如,布局更复杂的城市对找路能力的要求更高,从而磨练了个体的技能。

 

而这似乎也证明了城市设计在人类认知和大脑功能中的重要性。


参考资料:

https://www.nature.com/articles/s41586-022-04486-7



登录查看更多
0

相关内容

【Nature. Mach. Intell. 】图神经网络论文汇集
专知会员服务
47+阅读 · 2022年3月26日
Nature论文: DeepMind用AI引导直觉解决数学猜想难题
专知会员服务
31+阅读 · 2021年12月2日
最新《深度卷积神经网络理论》报告,35页ppt
专知会员服务
47+阅读 · 2020年11月30日
【Nature通讯】深度神经网络模型中的个体差异
专知会员服务
14+阅读 · 2020年11月16日
【论文】结构GANs,Structured GANs,
专知会员服务
15+阅读 · 2020年1月16日
来看看几篇Nature上的GNN吧~
图与推荐
2+阅读 · 2022年3月25日
别忽视新冠轻症,它会损害你的记忆力
量子位
0+阅读 · 2022年1月21日
这期Nature封面「雪崩」了!
新智元
0+阅读 · 2021年1月16日
国家自然科学基金
2+阅读 · 2015年12月31日
国家自然科学基金
0+阅读 · 2014年12月31日
国家自然科学基金
0+阅读 · 2013年12月31日
国家自然科学基金
0+阅读 · 2012年12月31日
国家自然科学基金
26+阅读 · 2011年12月31日
国家自然科学基金
0+阅读 · 2011年12月31日
国家自然科学基金
0+阅读 · 2011年12月31日
国家自然科学基金
0+阅读 · 2009年12月31日
国家自然科学基金
1+阅读 · 2008年12月31日
国家自然科学基金
0+阅读 · 2008年12月31日
Arxiv
0+阅读 · 2022年4月20日
Arxiv
23+阅读 · 2021年10月11日
A Comprehensive Survey on Graph Neural Networks
Arxiv
21+阅读 · 2019年1月3日
VIP会员
相关基金
国家自然科学基金
2+阅读 · 2015年12月31日
国家自然科学基金
0+阅读 · 2014年12月31日
国家自然科学基金
0+阅读 · 2013年12月31日
国家自然科学基金
0+阅读 · 2012年12月31日
国家自然科学基金
26+阅读 · 2011年12月31日
国家自然科学基金
0+阅读 · 2011年12月31日
国家自然科学基金
0+阅读 · 2011年12月31日
国家自然科学基金
0+阅读 · 2009年12月31日
国家自然科学基金
1+阅读 · 2008年12月31日
国家自然科学基金
0+阅读 · 2008年12月31日
Top
微信扫码咨询专知VIP会员