微软研究院开源DialoGPT:「你有什么梦想?」「让世界充满机器人」

2019 年 11 月 20 日 机器之心
机器之心发布
作者:Yizhe Zhang, Siqi Sun, Michel Galley等
自然语言对话生成是人工智能社区面临的一大难题,微软研究院的一项新研究让我们离解决这一难题又更近了一步。他们用 GPT-2 模型——DialoGPT,在大规模 reddit 数据上预训练了一个对话系统,在多个对话数据集上取得了最佳结果。并且经过人类裁判的评测,在非交互的图灵测试条件下,系统可以生成接近人类水平的对话。


利用微软 DialoGPT 生成的对话结果示例。


DialoGPT 是一种用于对话响应生成的可调节式千兆词级神经网络模型,其训练基于 Reddit 数据。该研究成果的源代码已经开源,另外他们也发布了一个大规模预训练模型。


  • 论文:https://arxiv.org/abs/1911.00536

  • 项目:https://www.microsoft.com/en-us/research/project/large-scale-pretraining-for-response-generation/

  • 代码:https://github.com/microsoft/DialoGPT


近来,使用基于 transformer 的架构进行大规模预训练方面进展颇丰(Radford et al., 2018; Devlin et al., 2019; Raffel et al., 2019),这些进展也在实践中取得了巨大的成功。举个例子,OpenAI 的 GPT-2(Radford et al., 2018)表明在大型数据集上训练的 transformer 模型能够捕获文本数据中的长程依赖性,进而生成流畅、词法多样以及内容丰富的文本。这样的模型有能力习得细粒度的文本数据,并得到能近似模仿人类所写的真实世界文本的高分辨率输出。

 
DialoGPT 是对 GPT-2 的扩展,目标是解决对话神经响应生成中的挑战性难题。神经响应生成是文本生成的一个子类。而文本生成任务的目标都是生成与提示有关联的看起来自然的文本(同时又与任何训练实例都不同)。但是,建模对话面临着很多显著的难题,因为人类对话中两个参与者的目标可能是相互抵触的,而且可能响应的范围在本质上也更具多样性。因此,对话生成中的一对多问题通常比神经机器翻译、文本摘要和文本释义等其它文本生成任务的问题更为困难。人类对话通常更加不正式、噪声更多,而当以文本形式聊天时,通常还含有非正式的缩写或句法/词法错误。


类似于 GPT-2,DialoGPT 是以自回归语言模型的形式构建的,其模型架构使用了多层 transformer。但不同于 GPT-2,DialoGPT 的训练使用了从 Reddit 讨论链中提取出的大规模对话对/会话。作者猜想这应该能让 DialoGPT 学到对话流中更细粒度的 P(Target, Source) 的联合分布。他们在实践中也观察到了这一现象:DialoGPT 生成的句子丰富多样而且包含特定于源提示的信息,类似于 GPT-2 为连续文本生成的结果。
 
作者在一个公开的基准数据集(DSTC-7)和一个新的从 Reddit 帖子中提取出的 6k 大小的多参照测试数据集上对新提出的预训练模型进行了评估。结果表明,DialoGPT 在自动评估和人类评估方面都取得了当前最佳的表现,将对话生成结果的质量提升到了接近人类的水平。
 
作者已经公布了本研究的源代码与预训练模型。作者表示,这种模型使用简单,能够轻松地适应新的对话数据集,尤其是训练样本较少的数据集。这个 DialoGPT 软件包还包含一个开源的基于 Huggingface PyTorch transformer(HuggingFace, 2019)构建的训练工作流程(数据提取/准备和模型训练/评估)。


方法
 
模型架构
 
DialoGPT 模型基于 GPT-2 架构。它从 GPT-2 继承了带有层归一化的 12 到 24 层 transformer、一种适用于经过作者修改的模型深度的初始化方案,用于 token 化器的字节对编码(Sennrich et al., 2016)。遵照 OpenAI 的 GPT-2 方法,作者将多轮对话会话建模为了长文本,将生成任务纳入到了语言建模任务的框架中。
 
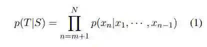
作者首先将一个对话会话中所有对话回合连接成一个长文本 x_1, · · · , x_N(N 为序列长度),并以「文本结束 token」结束。可将源句子(对话历史)记为 S = x_1, · · · , x_m,将目标句子(基本真值响应)记为 T = x_{m+1}, · · · , x_N,则 P(T|S) 的条件分布可以写为一系列条件概率的积: 



对于多轮对话实例 T_1, · · · , T_K,(1)式可写为 p(T_K, · · · , T_2|T_1),这本质上就是 p(T_i |T_1, · · · , T_{i−1}) 的条件概率的积。最终,对单个目标 p(T_K, · · · , T_2|T_1) 的优化可以被视为是优化所有的 p(T_i |T_1, · · · , T_{i−1}) 源-目标对。 作者这里的实现基于开源的 PyTorch-transformer 库。

链接: https://github.com/huggingface/pytorch-transformers
 
互信息最大化
 
开放域文本生成模型有一个众所周知的困难,即会生成枯燥的、没有信息的样本。为了解决这个问题,作者实现了一个最大互信息(MMI)评分函数(Li et al., 2016a; Zhang et al., 2018)。MMI 是利用一个预训练的后向模型来预测给定响应的源句子,即 P(Source|target)。作者首先使用 top-K 采样生成一组假设,然后使用 P(Source|Hypothesis) 的概率来对所有假设重新排序。直观来看,最大化后向模型似然会对所有枯燥的假设施加惩罚,因为频繁的和重复性的假设可能与很多可能的查询有关,因此在任意特定查询下得到的概率会更低。
 
作者也尝试了使用策略梯度来优化奖励  其中与 Zhang et al. (2018) 一样使用了一种样本平均的基线。这个验证奖励可以得到稳定提升,但不同于 RNN 框架下的训练,作者观察到强化学习训练容易收敛到某个劣化的局部最优解,这时的假设仅仅是对源句子的重复(即学舌模式),此时的互信息是最大化的。作者猜想,由于 transformer 具有强大的模型表征能力,所以它们很容易陷入局部最优位置。但强化学习训练规范化的相关工作还有待未来研究。


结果
 
作者将 DialoGPT 与另外两个基准进行了比较:作者自己内部的基于 (Li et al., 2016a) 的序列到序列模型 PersonalityChat,这个模型是基于 Twitter 数据训练的,已经在微软 Azure 的 Cognitive Service 得到了实际应用。表 2 总结了自动化评估的结果。有 345M 个参数的 DialoGPT 以及波束搜索在几乎所有基准上都得到了最高的自动评估分数。


表 2:DSTC 评估
 
作者进一步在一个有 6K 个样本的多参照测试集上评估了 DialoGPT。结果见表 3。测试过程使用了两种设置:从头开始训练以及使用 GPT-2 作为预训练模型进行微调。在这两种设置中,更大的模型都总是优于更小的模型。另外表 3 的倒数第二行总结了执行互信息最大化的结果。


表 3:6K Reddit 多参照评估

 
表 4(交互式聊天)和表 5(有用户提示的自播放聊天)给出了一些生成对话的样本。


表 4:解决常识问题


表 5:多轮对话的交互式示例

 
有趣的是,新提出的模型表现出了在一定程度上解决常识问题的能力,作者猜想这可能要归功于 Reddit 数据中可以学习到的丰富信息。在某些案例中,模型并不是给出「所需的」答案,而会生成另一个可替代的合理答案。作者观察到,该系统能比 RNN 对话生成系统更好地处理多轮对话生成,而且往往在上下文方面更能保持一致(表 5)。
 
作者还通过众包评估了从 Reddit 6K 测试数据集随机采样的 2000 个测试源。系统经过了配对,每一对系统的输出都被随机呈现给 3 位评判者,他们会根据相关性、信息量和生成结果与人类结果的相似程度使用一个 3 分制的类 Likert 度量对这些结果进行排名。作者先要求这些评判者经过了一个资格测试,并采用了一种垃圾检测制度。表 7 给出了评判者在相关性、信息量和人类相似度方面的整体偏好,结果用原始数值与占整体的百分比来表示。

表 7:在相关性、信息量和人类响应可能性方面的人类评估结果

 
表 7 还表明「单纯」的 DialoGPT 基质模型可能就已经能达到与人类响应相近的质量了。


机器之心「SOTA模型」22大领域、127个任务,机器学习 SOTA 研究一网打尽。

点击阅读原文,立即访问

登录查看更多
6

相关内容

【ACL2020】利用模拟退火实现无监督复述
专知会员服务
14+阅读 · 2020年5月26日
【ACL2020-Google】逆向工程配置的神经文本生成模型
专知会员服务
17+阅读 · 2020年4月20日
【ACL2020-Allen AI】预训练语言模型中的无监督域聚类
专知会员服务
24+阅读 · 2020年4月7日
微软机器阅读理解在一场多轮对话挑战中媲美人类
微软丹棱街5号
19+阅读 · 2019年5月14日
AI会话能力超越人类!CoQA挑战赛微软创新纪录
媲美人类对话水平!微软最新NLP模型3项评分全面超越人类水平!
机器学习算法与Python学习
8+阅读 · 2019年5月4日
Question Generation by Transformers
Arxiv
5+阅读 · 2019年9月14日
Arxiv
8+阅读 · 2019年3月21日
Hierarchical Deep Multiagent Reinforcement Learning
Arxiv
8+阅读 · 2018年9月25日
Arxiv
7+阅读 · 2018年4月21日
Arxiv
11+阅读 · 2018年3月23日
Arxiv
10+阅读 · 2018年3月22日
VIP会员
Top
微信扫码咨询专知VIP会员