7 papers | ML因果关系论文获Judea Pearl点赞;华为云端网络压缩新技术

2019 年 12 月 1 日 机器之心
机器之心整理
参与:杜伟、一鸣
本周的论文既有关于细粒度神经架构搜索和机器学习因果关系的研究,也有能够提升图像识别的对抗样本和编辑嵌入图像的框架 Image2StyleGAN++
目录:


  1. Fine-Grained Neural Architecture Search

  2. Hybrid Composition with IdleBlock: More Efficient Networks for Image Recognition

  3. Causality for Machine Learning

  4. Fast Sparse ConvNets

  5. Adversarial Examples Improve Image Recognition

  6. Positive-Unlabeled Compression on the Cloud

  7. Image2StyleGAN++: How to Edit the Embedded Images?


论文 1:Fine-Grained Neural Architecture Search


  • 作者:Heewon Kim、Seokil Hong、Bohyung Han、Heesoo Myeong、Kyoung Mu Lee

  • 论文地址:https://arxiv.org/abs/1911.07478v1


摘要: 在本文中,研究者提出了一种优雅的细粒度神经架构搜索(fine-grained neural architecture search,FGNAS)框架,该框架允许在单层中采用多个异构运算,甚至可以使用几种不同的基础运算生成合成特征图。与其他方法相比,尽管搜索空间非常大,但 FGNAS 仍可高效运行,因为它能够通过随机梯度下降方法端对端地训练网络。此外,所提出的 FGNAS 框架允许在预定义的资源约束下根据参数数量、FLOP 和时延来优化网络。FGNAS 已应用于资源要求很高的计算机视觉任务中的两个关键应用-大型图像分类和图像超分辨率,结果证明可以通过灵活的运算搜索和通道剪枝展示了 SOTA 性能。


FGNAS 搜索方法概览图。(a)FGNAS 与基线(特征图)、通道剪枝和每层运算搜索架构的灵活性对比;(b)FGNAS 的卷积运算定义。


自动化神经架构搜索(或剪枝)方法的比较。从概念上讲,FGNAS 在所有方法中拥有最大的搜索空间,并且可以通过基于梯度的搜索策略来高效地优化候选网络。
FGNAS 与当前 SOTA 架构在 CIFAR-10 数据集上的比较。可以看出,FGNAS 在搜索成本、Top-1 Acc. 和参数数量三方面均取得了 SOTA 结果。


推荐: 本文提出的 FGNAS 架构搜索方法通过通道剪枝提供了统一的结构和运算搜索框架,并可以通过基于梯度的方法进行优化。此外,研究者还提出了针对资源的可微神经网络正则化项,它可以通过各种特定于任务的资源感知损失函数来促进高效稳定的优化。


论文 2:Hybrid Composition with IdleBlock: More Efficient Networks for Image Recognition


  • 作者:Bing Xu、Andrew Tulloch、Yunpeng Chen、Xiaomeng Yang、Lin Qiao

  • 论文链接:https://arxiv.org/pdf/1911.08609.pdf


摘要: 近年来,卷积神经网络(CNN)已经主宰了计算机视觉领域。自 AlexNet 诞生以来,计算机视觉社区已经找到了一些能够改进 CNN 的设计,让这种骨干网络变得更加强大和高效,其中比较出色的单个分支网络包括 Network in Network、VGGNet、ResNet、DenseNet、ResNext、MobileNet v1/v2/v3 和 ShuffleNet v1/v2。近年来同样吸引了研究社区关注的还有多分辨率骨干网络。作者认为目前实现高效卷积网络的工作流程可以分成两步:1)设计一种网络架构;2)对该网络中的连接进行剪枝。在第一步,作者研究了人类专家设计的架构与搜索得到的架构之间的共同模式:对于每种骨干网络,其架构都是由其普通模块和归约模块(reduction block)的设计所确定的。第二步会将某些连接剪枝去掉,这样就不能保证每个模块都有完整的信息交换了。Facebook AI 的研究者在这篇论文中通过在网络设计步骤中考虑剪枝,为图像识别任务设计了一种更高效的网络。他们创造了一种新的模块设计方法:Idle。


Idle 的设计思路。Idle 设计中的信息交换应用在 Idle 模块之外。


混合组成架构。


推荐: Facebook AI 近日一项研究提出了一种新的卷积模块 IdleBlock 以及使用该模块的混合组成(HC)方法。实验表明这种简洁的新方法不仅能显著提升网络效率,而且还超过绝大多数神经网络结构搜索的工作,在同等计算成本下取得了 SOTA 表现,相信这项研究能给图像识别网络的开发、神经网络结构搜索甚至其他领域网络设计思路带来一些新的启迪。


论文 3:Causality for Machine Learning


  • 作者:Bernhard Schölkopf

  • 论文链接:https://arxiv.org/abs/1911.10500


摘要: 由 Judea Pearl 倡导的图形因果推理(graphical causal inference)源于 AI 研究,并且在很长一段时间内,它与机器学习领域几乎没有任何联系。在本文中,研究者探讨了图形因果推理与机器学习之间已建立以及应该建立哪些联系,并介绍了一些关键概念。本文认为,机器学习和 AI 领域的未解决难题在本质上与因果关系有关,并解释了因果关系领域如何理解这些难题。


Judea Pearl 和 Yann LeCun 点赞该论文。


推荐: 这篇研究机器学习中因果关系的论文获得了图灵奖得主 Judea Pearl 和 Yann LeCun 点赞。


论文 4:Fast Sparse ConvNets


  • 作者:Erich Elsen、Marat Dukhan、Trevor Gale、Karen Simonyan

  • 论文链接:https://arxiv.org/abs/1911.09723v1


摘要: 从历史发展的角度来看,对有效推理(efficient inference)的追求已经成为研究新的深度学习架构和构建块背后的驱动力之一。近来的一些示例包括:压缩和激发模块(squeeze-and-excitation module)、Xception 中的深度级可分离卷积(depthwise seperable convolution)和 MobileNet v2 中的倒置瓶颈(inverted bottleneck)。在所有这些示例中,生成的构建块不仅实现了更高的有效性和准确率,而且在领域内得到广泛采用。在本文中,来自 DeepMind 和 Google 的研究者们进一步扩展了神经网络架构的有效构建块,并且在没有结合标准基本体(standard primitive)的情况下,他们主张用稀疏对应(sparse counterpart)来替换这些密集基本体(dense primitive)。利用稀疏性来减少参数数量的想法并不新鲜,传统观点也认为理论浮点运算次数的减少不能转化为现实世界的效率增益。

研究者通过提出一类用于 ARM 和 WebAssembly 的有效稀疏核来纠正这种错误观点,并且进行开源作为 XNNPACK 库的组成部分。借助于稀疏标准体(sparse primitive)的有效实现,研究者表明,MobileNet v1、MobileNet v2 和 EfficientNet 架构的稀疏版本在有效性和准确率曲线(efficiency-accuracy curve)上显著优于强大的密集基线(dense baseline)。在骁龙 835 芯片上,他们提出的稀疏网络比同等的密集网络性能增强 1.3-2.4 倍,这几乎相当于 MobileNet-family 一整代的性能提升。研究者希望他们的研究成果可以促进稀疏性更广泛地用作创建有效和准确深度学习架构的工具。


MobileNet v1、MobileNet v2 和 EfficientNet 模型。蓝色实线为稀疏模型,红色虚线为密集模型。


密集和稀疏模型的大小、浮点运算次数和推理速度。所有输入图像的大小为 224×224。稀疏 MobileNet v1 模型每一层的稀疏度为 90%,稀疏 MobileNet v2 每一层的稀疏度为 85%。


推荐: 该研究证明,在计算预算不变的情况下,稀疏卷积网络的准确率要高于密集网络。通过推翻「稀疏性即缓慢」的错误观点,研究者希望在该领域开辟新的研究途径。


论文 5:Adversarial Examples Improve Image Recognition


  1. 作者:Cihang Xie、Mingxing Tan、Boqing Gong、Jiang Wang、Alan Yuille、Quoc V. Le

  2. 论文地址:https://arxiv.org/pdf/1911.09665v1.pdf

  3. 实现地址:https://github.com/tensorflow/tpu/tree/ master/models/official/efficientnet


摘要: 对抗样本经常被认为是卷积神经网络的一个威胁。而研究者在这篇论文中提出了相反的论点:对抗网络可以被用来提升图像识别模型的准确率,只要使用正确的方式。研究者在这里提出了 AdvProp,这是一个增强对抗训练方法,能够将对抗样本视为额外样本,以方式过拟合。这一方法的关键在于对对抗样本使用了分离的辅助批归一化,因为它们和正常样本的隐藏分布不同。

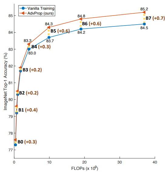
研究说明,AdvProp 在很多图像识别任务上提升了一系列模型的性能,而且当模型变得更大的时候,性能也会更好。例如,通过将 AdvProp 用在最新的 EfficientNet-B7 模型上,使用 ImageNet 进行训练,研究者可以取得性能点的提升,如 ImageNet (+0.7%)、ImageNet-C (+6.5%)、ImageNet-A (+7.0%)、Stylized- ImageNet (+4.8%)。而在 增强的 EfficientNet-B8 上,这一方法在没有额外数据的情况下达到了 SOTA——85.5% 的 ImageNet top-1 精确度。这一结果超越了使用 3.5B Instagram 数据和 9.4 倍参数量的最佳模型。


图 1:AdvProp 能够提升图像识别模型的性能。上图为从「金丝雀」分类中随机提取的图像。


图 4: AdvProp 提升了在 ImageNet 上模型的表现。 如果模型在更大的网络上训练,则会取得更好的效果。 研究取得的最好效果是在 EfficientNet-B7 网络上,在 ImageNet 上有 85.2% 的 top-1 精确度。


推荐: 本文是 Quoc V. Le 等的一篇新论文。这项研究结合了对抗样本和图像识别,说明了对抗样本对模型性能的提升能力。


论文 6:Positive-Unlabeled Compression on the Cloud


  • 作者:Yixing Xu、Yunhe Wang、Hanting Chen、Kai Han、Chunjing Xu、Dacheng Tao、Chang Xu

  • 论文地址:https://arxiv.org/pdf/1909.09757.pdf


摘要: 卷积神经网络被广泛应用于诸多 CV 领域的任务中。为了保证性能,神经网络会存在大量的冗余参数。为了将 神经网络应用于移动设备中,往往需要压缩网络。但是上传模型到云端进行压缩时,耗时较长。为了解决这个问题,本文提出了一种基于少样本的云端网络压缩技术,实验表明,论文中的算法只需要依赖少量原始训练数据,达到和使用全部样本的压缩算法相当的准确率。


推荐: 本文作者来自华为诺亚方舟实验室、北京大学和悉尼大学,论文已被 NeurlPS 2019 大会接收。


论文 7:Image2StyleGAN++: How to Edit the Embedded Images?


  • 作者:Rameen Abdal、Yipeng Qin、Peter Wonka

  • 论文链接:https://arxiv.org/pdf/1911.11544.pdf


摘要: 研究者提出了一个名为 Image2StyleGAN++的网络,是一种多应用的图像编辑框架。这一框架从三个方面扩展了近来提出的 Image2StyleGAN。首先,研究者引入了噪声优化机制,用来弥补 W+隐空间嵌入。这一噪声优化机制可以重置图像中的高频特征,并显著提升重建图像的质量。其次,研究者扩展了全局 W+印控机嵌入,以便局部嵌入。第三,研究者将嵌入和激活张量(activation tensor)操纵结合,让局部编辑像全局情感编辑那样有着很高的图像质量。这种编辑方法能够推动很多高质量图像编辑应用,如图像重建『、重着色、图像混合、局部风格迁移等。


图 1: a)和 b)是输入图像,c)是将两个图像左右拼接的结果,d)则是通过框架合并生成的图像,和 c 有一些不同。


推荐: 本文提出的新图像生成方法具有更好的效果,对于图像相关的应用很有帮助。

登录查看更多
1

相关内容

专知会员服务
74+阅读 · 2020年5月21日
【Uber AI新论文】持续元学习,Learning to Continually Learn
专知会员服务
37+阅读 · 2020年2月27日
【NeurIPS2019】图变换网络:Graph Transformer Network
专知会员服务
112+阅读 · 2019年11月25日
ICCV 2019:华为、北大等首创GAN剪枝算法,线上加速 3 倍以上
GAN生成式对抗网络
9+阅读 · 2019年9月24日
Deep Compression/Acceleration:模型压缩加速论文汇总
极市平台
14+阅读 · 2019年5月15日
已删除
将门创投
4+阅读 · 2019年5月8日
谷歌提出MorphNet:网络规模更小、速度更快!
全球人工智能
4+阅读 · 2019年4月20日
深度学习时代的图模型,清华发文综述图网络
GAN生成式对抗网络
13+阅读 · 2018年12月23日
PRL导读-2018年120卷15期
中科院物理所
4+阅读 · 2018年4月23日
AutoML: A Survey of the State-of-the-Art
Arxiv
75+阅读 · 2019年8月14日
Area Attention
Arxiv
5+阅读 · 2019年5月23日
Arxiv
19+阅读 · 2019年4月5日
Arxiv
11+阅读 · 2018年5月13日
Arxiv
4+阅读 · 2018年4月30日
VIP会员
相关资讯
ICCV 2019:华为、北大等首创GAN剪枝算法,线上加速 3 倍以上
GAN生成式对抗网络
9+阅读 · 2019年9月24日
Deep Compression/Acceleration:模型压缩加速论文汇总
极市平台
14+阅读 · 2019年5月15日
已删除
将门创投
4+阅读 · 2019年5月8日
谷歌提出MorphNet:网络规模更小、速度更快!
全球人工智能
4+阅读 · 2019年4月20日
深度学习时代的图模型,清华发文综述图网络
GAN生成式对抗网络
13+阅读 · 2018年12月23日
PRL导读-2018年120卷15期
中科院物理所
4+阅读 · 2018年4月23日
相关论文
AutoML: A Survey of the State-of-the-Art
Arxiv
75+阅读 · 2019年8月14日
Area Attention
Arxiv
5+阅读 · 2019年5月23日
Arxiv
19+阅读 · 2019年4月5日
Arxiv
11+阅读 · 2018年5月13日
Arxiv
4+阅读 · 2018年4月30日
Top
微信扫码咨询专知VIP会员