内部分享:这篇文章教你如何用神经网络破Flappy Bird记录

2017 年 6 月 2 日 AI科技评论

AI科技评论按:本文作者杨浩,原文载于作者个人博客 

以下内容来源于一次部门内部的分享,主要针对 AI 初学者,介绍包括 CNN、Deep Q Network 以及 TensorFlow 平台等内容。由于笔者并非深度学习算法研究者,因此以下更多从应用的角度对整个系统进行介绍,而不会进行详细的公式推导。

关于 Flappy Bird 

Flappy Bird(非官方译名:笨鸟先飞)是一款 2013 年鸟飞类游戏,由越南河内独立游戏开发者阮哈东(Dong Nguyen)开发,另一个独立游戏开发商 GEARS Studios 发布。—— 以上内来自《维基百科》

Flappy Bird 操作简单,通过点击手机屏幕使 Bird 上升,穿过柱状障碍物之后得分,碰到则游戏结束。由于障碍物高低不等,控制 Bird 上升和下降需要反应快并且灵活,要得到较高的分数并不容易,笔者目前最多得过 10 分。

本文主要介绍如何通过 AI(人工智能)的方式玩 Flappy Bird 游戏,分为以下四个部分内容:

1. Flappy Bird 游戏展示

2. 模型:卷积神经网络

3. 算法:Deep Q Network

4. 代码:TensorFlow 实现

  一、Flappy Bird 游戏展示

在介绍模型、算法前先来直接看下效果,上图是刚开始训练的时候,画面中的小鸟就像无头苍蝇一样乱飞,下图展示的是在本机(后面会给出配置)训练超过 10 小时后(训练步数超过 2000000)的情况,其最好成绩已经超过 200 分,人类玩家已基本不可能超越。

训练数小于 10000 步(刚开始训练)

训练步数大于 2000000 步(10 小时后)

由于本机配置了 CUDA 以及 cuDNN,采用了 NVIDIA 的显卡进行并行计算,所以这里提前贴一下运行时的日志输出。

关于 CUDA 以及 cuDNN 的配置,其中有一些坑包括:安装 CUDA 之后循环登录,屏幕分辨率无法正常调节等等,都是由于 NVIDIA 驱动安装的问题,这不是本文要讨论的主要内容,读者可自行 Google。

● 加载 CUDA 运算库

● TensorFlow 运行设备 /gpu:0

/gpu:0 这是 TensorFlow 平台默认的配置方法,表示使用系统中的第一块显卡。

本机软硬件配置:

系统:Ubuntu 16.04

显卡:NVIDIA GeForce GTX 745 4G

版本:TensorFlow 1.0

软件包:OpenCV 3.2.0、Pygame、Numpy、…

细心的朋友可能发现,笔者的显卡配置并不高,GeForce GTX 745,显存 3.94G,可用 3.77G(桌面占用了一部分),属于入门中的入门。对于专业做深度学习算法的朋友,这个显卡必然是不够的。知乎上有帖子教大家怎么配置更专业的显卡,有兴趣的可以移步。

  二、模型:卷积神经网络

神经网络算法是由众多的神经元可调的连接权值连接而成,具有大规模并行处理、分布式信息存储、良好的自组织自学习能力等特点。人工神经元与生物神经元结构类似,其结构对比如下图所示。

生物神经元

人工神经元

人工神经元的输入(x1,x2...xm)类似于生物神经元的树突,输入经过不同的权值(wk1, wk2, ....wkn),加上偏置,经过激活函数得到输出,最后将输出传输到下一层神经元进行处理。

单神经元输出函数

激活函数为整个网络引入了非线性特性,这也是神经网络相比于回归等算法拟合能力更强的原因。常用的激活函数包括 sigmoid、tanh 等,它们的函数表达式如下:

sigmoid 函数

tanh 双曲正切函数

这里可以看出,sigmoid 函数的值域是(0,1),tanh 函数的值域是(-1,1)。

卷积神经网络起源于动物的视觉系统,主要包含的技术是:

1. 局部感知域(稀疏连接);

2. 参数共享;

3. 多卷积核;

4. 池化。

● 1. 局部感知域(稀疏连接)

全连接网络的问题在于:

1. 需要训练的参数过多,容器导致结果不收敛(梯度消失),且训练难度极大;

2. 实际上对于某个局部的神经元来讲,它更加敏感的是小范围内的输入,换句话说,对于较远的输入,其相关性很低,权值也就非常小。

人类的视觉系统决定了人在观察外界的时候,总是从局部到全局。

比如,我们看到一个美女,可能最先观察到的是美女身上的某些部位(自己体会)。

因此,卷积神经网络与人类的视觉类似,采用局部感知,低层的神经元只负责感知局部的信息,在向后传输的过程中,高层的神经元将局部信息综合起来得到全局信息。

全连接与局部连接的对比(图片来自互联网)

从上图中可以看出,采用局部连接之后,可以大大的降低训练参数的量级。

● 2. 参数共享

虽然通过局部感知降低了训练参数的量级,但整个网络需要训练的参数依然很多。

参数共享就是将多个具有相同统计特征的参数设置为相同,其依据是图像中一部分的统计特征与其它部分是一样的。其实现是通过对图像进行卷积(卷积神经网络命名的来源)。

可以理解为,比如从一张图像中的某个局部(卷积核大小)提取了某种特征,然后以这种特征为探测器,应用到整个图像中,对整个图像顺序进行卷积,得到不同的特征。

卷积过程(图片来自互联网)

每个卷积都是一种特征提取方式,就像一个筛子,将图像中符合条件(激活值越大越符合条件)的部分筛选出来,通过这种卷积就进一步降低训练参数的量级。

● 3. 多卷积核

如上,每个卷积都是一种特征提取方式,那么对于整幅图像来讲,单个卷积核提取的特征肯定是不够的,那么对同一幅图像使用多种卷积核进行特征提取,就能得到多幅特征图(feature map)

不同的卷积核提取不同的特征(图片来自互联网)

多幅特征图可以看成是同一张图像的不同通道,这个概念在后面代码实现的时候用得上。

● 4. 池化

得到特征图之后,可以使用提取到的特征去训练分类器,但依然会面临特征维度过多,难以计算,并且可能过拟合的问题。从图像识别的角度来讲,图像可能存在偏移、旋转等,但图像的主体却相同的情况。也就是不同的特征向量可能对应着相同的结果,那么池化就是解决这个问题的。

池化过程(图片来自互联网)

池化就是将池化核范围内(比如 2*2 范围)的训练参数采用平均值(平均值池化)或最大值(最大值池化)来进行替代。

终于到了展示模型的时候,下面这幅图是笔者手画的(用电脑画太费时,将就看吧),这幅图展示了本文中用于训练游戏所用的卷积神经网络模型。

卷积神经网络模型

图像的处理过程

1. 初始输入四幅图像 80×80×4(4 代表输入通道,初始时四幅图像是完全一致的),经过卷积核 8×8×4×32(输入通道 4,输出通道 32),步距为 4(每步卷积走 4 个像素点),得到 32 幅特征图(feature map),大小为 20×20;

2. 将 20×20 的图像进行池化,池化核为 2×2,得到图像大小为 10×10;

3. 再次卷积,卷积核为 4×4×32×64,步距为 2,得到图像 5×5×64;

4. 再次卷积,卷积核为 3×3×64*64,步距为 2,得到图像 5×5×64,虽然与上一步得到的图像规模一致,但再次卷积之后的图像信息更为抽象,也更接近全局信息;

5. Reshape,即将多维特征图转换为特征向量,得到 1600 维的特征向量;

6. 经过全连接 1600×512,得到 512 维特征向量;

7. 再次全连接 512×2,得到最终的 2 维向量 [0,1] 和 [1,0],分别代表游戏屏幕上的是否点击事件。

可以看出,该模型实现了端到端的学习,输入的是游戏屏幕的截图信息(代码中经过 opencv 处理),输出的是游戏的动作,即是否点击屏幕。深度学习的强大在于其数据拟合能力,不需要传统机器学习中复杂的特征提取过程,而是依靠模型发现数据内部的关系。

不过这也带来另一方面的问题,那就是深度学习高度依赖大量的标签数据,而这些数据获取成本极高

  三、算法:Deep Q Network

有了卷积神经网络模型,那么怎样训练模型?使得模型收敛,从而能够指导游戏动作呢?机器学习分为监督学习、非监督学习和强化学习,这里要介绍的 Q Network 属于强化学习(Reinforcement Learning)的范畴。在正式介绍 Q Network 之前,先简单说下它的光荣历史。

2014 年 Google 4 亿美金收购 DeepMind 的桥段,大家可能听说过。那么,DeepMind 是如何被 Google 给盯上的呢?最终原因可以归咎为这篇论文(点击文末阅读原文获取链接)

Playing Atari with Deep Reinforcement Learning

DeepMind 团队通过强化学习,完成了 20 多种游戏,实现了端到端的学习。其用到的算法就是 Q Network。2015 年,DeepMind 团队在《Nature》上发表了一篇升级版(点击文末阅读原文获取链接)

Human-level control through deep reinforcement learning

自此,在这类游戏领域,人已经无法超过机器了。后来又有了 AlphaGo,以及 Master,当然,这都是后话了。其实本文也属于上述论文的范畴,只不过基于 TensorFlow 平台进行了实现,加入了一些笔者自己的理解而已。

回到正题,Q Network 属于强化学习,那么先介绍下强化学习。

强化学习模型

这张图是从 UCL 的课程中拷出来的,课程链接地址(点击文末阅读原文获取链接)

https://www.youtube.com/watch?v=2pWv7GOvuf0 

强化学习过程有两个组成部分:

● 智能代理(学习系统)

● 环境

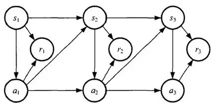
如图所示,在每步迭代过程中,首先智能代理(学习系统)接收环境的状态 st,然后产生动作 at 作用于环境,环境接收动作 at,并且对其进行评价,反馈给智能代理 rt。不断的循环这个过程,就会产生一个状态 / 动作 / 反馈的序列:(s1, a1, r1, s2, a2, r2.....,sn, an, rn),而这个序列让我们很自然的想起了:

● 马尔科夫决策过程

MDP:马尔科夫决策过程

马尔科夫决策过程与著名的 HMM(隐马尔科夫模型)相同的是,它们都具有马尔科夫特性。那么什么是马尔科夫特性呢?简单来说,就是未来的状态只取决于当前的状态,与过去的状态无关。

HMM(马尔科夫模型)在语音识别,行为识别等机器学习领域有较为广泛的应用。条件随机场模型(Conditional Random Field)则用于自然语言处理。两大模型是语音识别、自然语言处理领域的基石。

上图可以用一个很形象的例子来说明。比如你毕业进入了一个公司,你的初始职级是 T1(对应图中的 s1),你在工作上刻苦努力,追求上进(对应图中的 a1),然后领导觉得你不错,准备给你升职(对应图中的 r1),于是,你升到了 T2;你继续刻苦努力,追求上进...... 不断的努力,不断的升职,最后升到了 sn。当然,你也有可能不努力上进,这也是一种动作,换句话说,该动作 a 也属于动作集合 A,然后得到的反馈 r 就是没有升职加薪的机会。

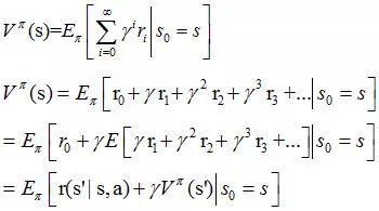
这里注意下,我们当然希望获取最多的升职,那么问题转换为:如何根据当前状态 s(s 属于状态集 S),从 A 中选取动作 a 执行于环境,从而获取最多的 r,即 r1 + r2 ……+rn 的和最大 ?这里必须要引入一个数学公式:状态值函数

状态值函数模型

公式中有个折合因子γ,其取值范围为 [0,1],当其为 0 时,表示只考虑当前动作对当前的影响,不考虑对后续步骤的影响,当其为 1 时,表示当前动作对后续每步都有均等的影响。当然,实际情况通常是当前动作对后续得分有一定的影响,但随着步数增加,其影响减小。

从公式中可以看出,状态值函数可以通过迭代的方式来求解。增强学习的目的就是求解马尔可夫决策过程(MDP)的最优策略。

策略就是如何根据环境选取动作来执行的依据。策略分为稳定的策略和不稳定的策略,稳定的策略在相同的环境下,总是会给出相同的动作,不稳定的策略则反之,这里我们主要讨论稳定的策略。

求解上述状态函数需要采用动态规划的方法,而具体到公式,不得不提:

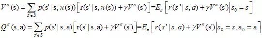
● 贝尔曼方程

贝尔曼方程

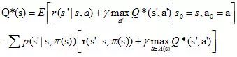
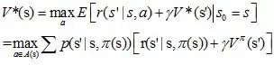
其中,π代表上述提到的策略,Q π (s, a) 相比于 V π (s),引入了动作,被称作动作值函数。对贝尔曼方程求最优解,就得到了贝尔曼最优性方程

状态值函数最优解

动作值函数最优解

求解该方程有两种方法:策略迭代值迭代

● 策略迭代

策略迭代分为两个步骤:策略评估策略改进,即首先评估策略,得到状态值函数,其次,改进策略,如果新的策略比之前好,就替代老的策略。

策略迭代

● 值迭代

从上面我们可以看到,策略迭代算法包含了一个策略估计的过程,而策略估计则需要扫描 (sweep) 所有的状态若干次,其中巨大的计算量直接影响了策略迭代算法的效率。而值迭代每次只扫描一次,更新过程如下:

值迭代

即在值迭代的第 k+1 次迭代时,直接将能获得的最大的 Vπ(s) 值赋给 Vk+1。

● Q-Learning

Q-Learning 是根据值迭代的思路来进行学习的。该算法中,Q 值更新的方法如下:

Q 值更新方法

虽然根据值迭代计算出目标 Q 值,但是这里并没有直接将这个 Q 值(是估计值)直接赋予新的 Q,而是采用渐进的方式类似梯度下降,朝目标迈近一小步,取决于α,这就能够减少估计误差造成的影响。类似随机梯度下降,最后可以收敛到最优的 Q 值。具体算法如下:

Q-Learning 算法

如果没有接触过动态规划的童鞋看上述公式可能有点头大,下面通过表格来演示下 Q 值更新的过程,大家就明白了。

Q-Learning 算法的过程就是存储 Q 值的过程。上表中,横列为状态 s,纵列为 Action a,s 和 a 决定了表中的 Q 值。

● 第一步:初始化,将表中的 Q 值全部置 0;

● 第二步:根据策略及状态 s,选择 a 执行。假定当前状态为 s1,由于初始值都为 0,所以任意选取 a 执行,假定这里选取了 a2 执行,得到了 reward 为 1,并且进入了状态 s3。根据 Q 值更新公式:

Q 值更新公式

来更新 Q 值,这里我们假设α是 1,λ也等于 1,也就是每一次都把目标 Q 值赋给 Q。那么这里公式变成:

Q 值更新公式

所以在这里,就是

本次 Q 值更新

那么对应的 s3 状态,最大值是 0,所以

Q 值

Q 表格就变成:

然后置位当前状态 s 为 s3。

● 第三步:继续循环操作,进入下一次动作,当前状态是 s3,假设选择动作 a3,然后得到 reward 为 2,状态变成 s1,那么我们同样进行更新:

Q 值更新

所以 Q 的表格就变成:

● 第四步: 继续循环,Q 值在试验的同时反复更新,直到收敛。

上述表格演示了具有 4 种状态 / 4 种行为的系统,然而在实际应用中,以本文讲到的 Flappy Bird 游戏为例,界面为 80*80 个像素点,每个像素点的色值有 256 种可能。那么实际的状态总数为 256 的 80*80 次方,这是一个很大的数字,直接导致无法通过表格的思路进行计算。

因此,为了实现降维,这里引入了一个价值函数近似的方法,通过一个函数表近似表达价值函数:

价值函数近似

其中,ω 与 b 分别为参数。看到这里,终于可以联系到前面提到的神经网络了,上面的表达式不就是神经元的函数吗?

● Q-network

下面这张图来自论文《Human-level Control through Deep Reinforcement Learning》,其中详细介绍了上述将 Q 值神经网络化的过程。(感兴趣的可以点之前的链接了解原文~)

Q-network

以本文为例,输入是经过处理的 4 个连续的 80x80 图像,然后经过三个卷积层,一个池化层,两个全连接层,最后输出包含每一个动作 Q 值的向量。

现在已经将 Q-learning 神经网络化为 Q-network 了,接下来的问题是如何训练这个神经网络。神经网络训练的过程其实就是一个最优化方程求解的过程,定义系统的损失函数,然后让损失函数最小化的过程。

训练过程依赖于上述提到的 DQN 算法,以目标 Q 值作为标签,因此,损失函数可以定义为:

DQN 损失函数(来源于论文)

上面公式是 s',a'即下一个状态和动作。确定了损失函数,确定了获取样本的方式,DQN 的整个算法也就成型了!

DQN 算法(来源于论文)

值得注意的是这里的 D—Experience Replay,也就是经验池,就是如何存储样本及采样的问题。

由于玩 Flappy Bird 游戏,采集的样本是一个时间序列,样本之间具有连续性,如果每次得到样本就更新 Q 值,受样本分布影响,效果会不好。因此,一个很直接的想法就是把样本先存起来,然后随机采样如何?这就是 Experience Replay 的思想。

算法实现上,先反复实验,并且将实验数据存储在 D 中;存储到一定程度,就从中随机抽取数据,对损失函数进行梯度下降。

  四、代码:TensorFlow 实现

终于到了看代码的时候。首先申明下,当笔者从 Deep Mind 的论文入手,试图用 TensorFlow 实现对 Flappy Bird 游戏进行实现时,发现 github 已有大神完成 demo。思路相同,所以直接以公开代码为例进行分析说明了。

如有源码需要,请移步 GitHub(点击文末阅读原文获取链接):Using Deep Q-Network to Learn How To Play Flappy Bird

代码从结构上来讲,主要分为以下几部分:

● GameState 游戏类,frame_step 方法控制移动

● CNN 模型构建

● OpenCV-Python 图像预处理方法

● 模型训练过程

1. GameState 游戏类及 frame_step 方法

通过 Python 实现游戏必然要用 pygame 库,其包含时钟、基本的显示控制、各种游戏控件、触发事件等,对此有兴趣的,可以详细了解 pygame。frame_step 方法的入参为 shape 为 (2,) 的 ndarray,值域: [1,0]:什么都不做; [0,1]:提升 Bird。来看下代码实现:

if input_actions[1] == 1:

    if self.playery > -2 * PLAYER_HEIGHT:

        self.playerVelY = self.playerFlapAcc

        self.playerFlapped = True

        # SOUNDS['wing'].play()

后续操作包括检查得分、设置界面、检查是否碰撞等,这里不再详细展开。

frame_step 方法的返回值是:

return image_data, reward, terminal

分别表示界面图像数据,得分以及是否结束游戏。对应前面强化学习模型,界面图像数据表示环境状态 s,得分表示环境给予学习系统的反馈 r。

2. CNN 模型构建

该 Demo 中包含三个卷积层,一个池化层,两个全连接层,最后输出包含每一个动作 Q 值的向量。因此,首先定义权重、偏置、卷积和池化函数:

# 权重

def weight_variable(shape):

    initial = tf.truncated_normal(shape, stddev=0.01)

    return tf.Variable(initial)

# 偏置

def bias_variable(shape):

    initial = tf.constant(0.01, shape=shape)

    return tf.Variable(initial)

# 卷积

def conv2d(x, W, stride):

    return tf.nn.conv2d(x, W, strides=[1, stride, stride, 1], padding="SAME")

# 池化

def max_pool_2x2(x):

    return tf.nn.max_pool(x, ksize=[1, 2, 2, 1], strides=[1, 2, 2, 1], padding="SAME")

然后,通过上述函数构建卷积神经网络模型(对代码中参数不解的,可直接往前翻,看上面那张手画的图)。

def createNetwork():

    # 第一层卷积

    W_conv1 = weight_variable([8, 8, 4, 32])

    b_conv1 = bias_variable([32])

    # 第二层卷积

    W_conv2 = weight_variable([4, 4, 32, 64])

    b_conv2 = bias_variable([64])

    # 第三层卷积

    W_conv3 = weight_variable([3, 3, 64, 64])

    b_conv3 = bias_variable([64])

    # 第一层全连接

    W_fc1 = weight_variable([1600, 512])

    b_fc1 = bias_variable([512])

    # 第二层全连接

    W_fc2 = weight_variable([512, ACTIONS])

    b_fc2 = bias_variable([ACTIONS])

    # 输入层

    s = tf.placeholder("float", [None, 80, 80, 4])

    # 第一层隐藏层 + 池化层

    h_conv1 = tf.nn.relu(conv2d(s, W_conv1, 4) + b_conv1)

    h_pool1 = max_pool_2x2(h_conv1)

    # 第二层隐藏层(这里只用了一层池化层)

    h_conv2 = tf.nn.relu(conv2d(h_pool1, W_conv2, 2) + b_conv2)

    # h_pool2 = max_pool_2x2(h_conv2)

    # 第三层隐藏层

    h_conv3 = tf.nn.relu(conv2d(h_conv2, W_conv3, 1) + b_conv3)

    # h_pool3 = max_pool_2x2(h_conv3)

    # Reshape

    # h_pool3_flat = tf.reshape(h_pool3, [-1, 256])

    h_conv3_flat = tf.reshape(h_conv3, [-1, 1600])

    # 全连接层

    h_fc1 = tf.nn.relu(tf.matmul(h_conv3_flat, W_fc1) + b_fc1)

    # 输出层

    # readout layer

    readout = tf.matmul(h_fc1, W_fc2) + b_fc2

    return s, readout, h_fc1

3. OpenCV-Python 图像预处理方法

在 Ubuntu 中安装 opencv 的步骤比较麻烦,当时也踩了不少坑,各种 Google 解决。建议安装 opencv3。

这部分主要对 frame_step 方法返回的数据进行了灰度化和二值化,也就是最基本的图像预处理方法。

x_t, r_0, terminal = game_state.frame_step(do_nothing)

# 首先将图像转换为 80*80,然后进行灰度化

x_t = cv2.cvtColor(cv2.resize(x_t, (80, 80)), cv2.COLOR_BGR2GRAY)

# 对灰度图像二值化

ret, x_t = cv2.threshold(x_t, 1, 255, cv2.THRESH_BINARY)

# 四通道输入图像

s_t = np.stack((x_t, x_t, x_t, x_t), axis=2)

4. DQN 训练过程

这是代码部分要讲的重点,也是上述 Q-learning 算法的代码化。

i. 在进入训练之前,首先创建一些变量:

# define the cost function

a = tf.placeholder("float", [None, ACTIONS])

y = tf.placeholder("float", [None])

readout_action = tf.reduce_sum(tf.multiply(readout, a), axis=1)

cost = tf.reduce_mean(tf.square(y - readout_action))

train_step = tf.train.AdamOptimizer(1e-6).minimize(cost)

# open up a game state to communicate with emulator

game_state = game.GameState()

# store the previous observations in replay memory

D = deque()

在 TensorFlow 中,通常有三种读取数据的方式:Feeding、Reading from files 和 Preloaded data。Feeding 是最常用也最有效的方法。即在模型(Graph)构建之前,先使用 placeholder 进行占位,但此时并没有训练数据,训练是通过 feed_dict 传入数据。

这里的 a 表示输出的动作,即强化学习模型中的 Action,y 表示标签值,readout_action 表示模型输出与 a 相乘后,在一维求和,损失函数对标签值与输出值的差进行平方,train_step 表示对损失函数进行 Adam 优化。

赋值的过程为:

# perform gradient step

train_step.run(feed_dict={

    y: y_batch,

    a: a_batch,

    s: s_j_batch}

)

ii. 创建游戏及经验池 D

# open up a game state to communicate with emulator

game_state = game.GameState()

# store the previous observations in replay memory

D = deque()

经验池 D 采用了队列的数据结构,是 TensorFlow 中最基础的数据结构,可以通过 dequeue() 和 enqueue([y]) 方法进行取出和压入数据。经验池 D 用来存储实验过程中的数据,后面的训练过程会从中随机取出一定量的 batch 进行训练。

变量创建完成之后,需要调用 TensorFlow 系统方法 tf.global_variables_initializer() 添加一个操作实现变量初始化。运行时机是在模型构建完成,Session 建立之初。比如:

# Create two variables.

weights = tf.Variable(tf.random_normal([784, 200], stddev=0.35),

                      name="weights")

biases = tf.Variable(tf.zeros([200]), name="biases")

...

# Add an op to initialize the variables.

init_op = tf.global_variables_initializer()

# Later, when launching the model

with tf.Session() as sess:

  # Run the init operation.

  sess.run(init_op)

  ...

  # Use the model

  ...

iii. 参数保存及加载

采用 TensorFlow 训练模型,需要将训练得到的参数进行保存,不然一关机,就一夜回到解放前了。TensorFlow 采用 Saver 来保存。一般在 Session() 建立之前,通过 tf.train.Saver() 获取 Saver 实例。

saver = tf.train.Saver()

变量的恢复使用 saver 的 restore 方法:

# Create some variables.

v1 = tf.Variable(..., name="v1")

v2 = tf.Variable(..., name="v2")

...

# Add ops to save and restore all the variables.

saver = tf.train.Saver()

# Later, launch the model, use the saver to restore variables from disk, and

# do some work with the model.

with tf.Session() as sess:

  # Restore variables from disk.

  saver.restore(sess, "/tmp/model.ckpt")

  print("Model restored.")

  # Do some work with the model

  ...

在该 Demo 训练时,也采用了 Saver 进行参数保存。

# saving and loading networks

saver = tf.train.Saver()

checkpoint = tf.train.get_checkpoint_state("saved_networks")

if checkpoint and checkpoint.model_checkpoint_path:

    saver.restore(sess, checkpoint.model_checkpoint_path)

    print("Successfully loaded:", checkpoint.model_checkpoint_path)

else:

    print("Could not find old network weights")

首先加载 CheckPointState 文件,然后采用 saver.restore 对已存在参数进行恢复。

在该 Demo 中,每隔 10000 步,就对参数进行保存:

# save progress every 10000 iterations

if t % 10000 == 0:

    saver.save(sess, 'saved_networks/' + GAME + '-dqn', global_step=t)

iv. 实验及样本存储

首先,根据ε 概率选择一个 Action。

# choose an action epsilon greedily

readout_t = readout.eval(feed_dict={s: [s_t]})[0]

a_t = np.zeros([ACTIONS])

action_index = 0

if t % FRAME_PER_ACTION == 0:

    if random.random() <= epsilon:

        print("----------Random Action----------")

        action_index = random.randrange(ACTIONS)

        a_t[random.randrange(ACTIONS)] = 1

    else:

        action_index = np.argmax(readout_t)

        a_t[action_index] = 1

else:

    a_t[0] = 1  # do nothing

这里,readout_t 是训练数据为之前提到的四通道图像的模型输出。a_t 是根据ε 概率选择的 Action。

其次,执行选择的动作,并保存返回的状态、得分。

# run the selected action and observe next state and reward

x_t1_colored, r_t, terminal = game_state.frame_step(a_t)

x_t1 = cv2.cvtColor(cv2.resize(x_t1_colored, (80, 80)), cv2.COLOR_BGR2GRAY)

ret, x_t1 = cv2.threshold(x_t1, 1, 255, cv2.THRESH_BINARY)

x_t1 = np.reshape(x_t1, (80, 80, 1))

# s_t1 = np.append(x_t1, s_t[:,:,1:], axis = 2)

s_t1 = np.append(x_t1, s_t[:, :, :3], axis=2)

# store the transition in D

D.append((s_t, a_t, r_t, s_t1, terminal))

经验池 D 保存的是一个马尔科夫序列。(s_t, a_t, r_t, s_t1, terminal) 分别表示 t 时的状态 s_t,执行的动作 a_t,得到的反馈 r_t,以及得到的下一步的状态 s_t1 和游戏是否结束的标志 terminal。

在下一训练过程中,更新当前状态及步数:

# update the old values

s_t = s_t1

t += 1

重复上述过程,实现反复实验及样本存储。

v. 通过梯度下降进行模型训练

在实验一段时间后,经验池 D 中已经保存了一些样本数据后,就可以从这些样本数据中随机抽样,进行模型训练了。这里设置样本数为 OBSERVE = 100000.。随机抽样的样本数为 BATCH = 32。

if t > OBSERVE:

    # sample a minibatch to train on

    minibatch = random.sample(D, BATCH)

    # get the batch variables

    s_j_batch = [d[0] for d in minibatch]

    a_batch = [d[1] for d in minibatch]

    r_batch = [d[2] for d in minibatch]

    s_j1_batch = [d[3] for d in minibatch]

    y_batch = []

    readout_j1_batch = readout.eval(feed_dict={s: s_j1_batch})

    for i in range(0, len(minibatch)):

        terminal = minibatch[i][4]

        # if terminal, only equals reward

        if terminal:

            y_batch.append(r_batch[i])

        else:

            y_batch.append(r_batch[i] + GAMMA * np.max(readout_j1_batch[i]))

    # perform gradient step

    train_step.run(feed_dict={

        y: y_batch,

        a: a_batch,

        s: s_j_batch}

    )

s_j_batch、a_batch、r_batch、s_j1_batch 是从经验池 D 中提取到的马尔科夫序列(Java 童鞋羡慕 Python 的列表推导式啊),y_batch 为标签值,若游戏结束,则不存在下一步中状态对应的 Q 值(回忆 Q 值更新过程),直接添加 r_batch,若未结束,则用折合因子(0.99)和下一步中状态的最大 Q 值的乘积,添加至 y_batch。

最后,执行梯度下降训练,train_step 的入参是 s_j_batch、a_batch 和 y_batch。差不多经过 2000000 步(在本机上大概 10 个小时)训练之后,就能达到本文开头动图中的效果啦。

以上。

AI科技评论招业界记者啦!

在这里,你可以密切关注海外会议的大牛演讲;可以采访国内巨头实验室的技术专家;对人工智能的动态了如指掌;更能深入剖析AI前沿的技术与未来!

如果你:

*对人工智能有一定的兴趣或了解

 * 求知欲强,具备强大的学习能力

 * 有AI业界报道或者媒体经验优先

简历投递:

lizongren@leiphone.com

登录查看更多
0

相关内容

Flappy Bird (飞扬的小鸟 像素鸟、下坠的小鸟、笨鸟) 是一款由来自越南的独立游戏开发者Dong Nguyen所开发的作品,游戏于2013年5月24日上线,并在2014年2月突然暴红。
2014年2月,《Flappy Bird》被开发者本人从苹果及谷歌应用商店撤下。2014年8月份正式回归APP STORE,正式加入Flappy迷们期待已久的多人对战模式。游戏中玩家必须控制一只小鸟,跨越由各种不同长度水管所组成的障碍。
[ICML-Google]先宽后窄:对深度薄网络的有效训练
专知会员服务
36+阅读 · 2020年7月5日
一份简明有趣的Python学习教程,42页pdf
专知会员服务
77+阅读 · 2020年6月22日
专知会员服务
74+阅读 · 2020年5月21日
【高能所】如何做好⼀份学术报告& 简单介绍LaTeX 的使用
【GitHub实战】Pytorch实现的小样本逼真的视频到视频转换
专知会员服务
36+阅读 · 2019年12月15日
教程 | 从零开始搭建『深度学习』GPU开发环境
机器学习算法与Python学习
8+阅读 · 2019年10月28日
实践 | 如何快速训练免费的文本生成神经网络
黑龙江大学自然语言处理实验室
4+阅读 · 2018年6月4日
从零开始:教你如何训练神经网络
机器之心
5+阅读 · 2017年12月11日
TensorFlow神经网络教程
Python程序员
4+阅读 · 2017年12月4日
循环神经网络的介绍、代码及实现
AI研习社
3+阅读 · 2017年11月21日
10个深度学习软件的安装指南(附代码)
数据派THU
17+阅读 · 2017年11月18日
手把手教你安装深度学习软件环境(附代码)
数据派THU
4+阅读 · 2017年10月4日
从零开始:深度学习软件环境安装指南
机器之心
6+阅读 · 2017年10月2日
Arxiv
3+阅读 · 2018年10月25日
Relational recurrent neural networks
Arxiv
8+阅读 · 2018年6月28日
Arxiv
5+阅读 · 2018年5月28日
Arxiv
3+阅读 · 2012年11月20日
VIP会员
相关资讯
教程 | 从零开始搭建『深度学习』GPU开发环境
机器学习算法与Python学习
8+阅读 · 2019年10月28日
实践 | 如何快速训练免费的文本生成神经网络
黑龙江大学自然语言处理实验室
4+阅读 · 2018年6月4日
从零开始:教你如何训练神经网络
机器之心
5+阅读 · 2017年12月11日
TensorFlow神经网络教程
Python程序员
4+阅读 · 2017年12月4日
循环神经网络的介绍、代码及实现
AI研习社
3+阅读 · 2017年11月21日
10个深度学习软件的安装指南(附代码)
数据派THU
17+阅读 · 2017年11月18日
手把手教你安装深度学习软件环境(附代码)
数据派THU
4+阅读 · 2017年10月4日
从零开始:深度学习软件环境安装指南
机器之心
6+阅读 · 2017年10月2日
Top
微信扫码咨询专知VIP会员