NeurIPS 2022 | Meta 提出二值transformer网络BiT,刷新NLP网络压缩极限

2022 年 10 月 3 日 机器之心

机器之心专栏

机器之心编辑部
来自 Meta 和北京大学的研究者 在 BERT 模型上验证了二值化 tra nsformer 的可行性。

神经网络压缩一直被视为机器学习模型从实验室走向工业应用中的不可或缺的一步,而量化 (quantization) 又是神经网络压缩中最常用的方法之一。今天这篇 NeurIPS 论文 BiT 从实验和理论验证了极端压缩情况下的 1-bit 的 BERT 网络也能在自然语言处理的分类数据集 GLUE 上取得接近全精度网络的结果,将与全精度网络差距从之前方法的 16% 缩小到了仅 6%,被审稿人称赞是一篇实验扎实、有借鉴意义的论文。


  • 论文地址:https://arxiv.org/abs/2205.13016

  • 代码地址:https://github.com/facebookresearch/bit


BiT 论文的方法主要分为两个部分: (1) 自由度更高的二值化方法 (2) 采用与 student 网络更相近的 teacher 网络进行知识蒸馏。


方法


作者发现,在 transformer block 中, 有两层的输出激活值 (activation) 是非负的,即 Softmax 的输出和前馈网络中的 ReLU 的输出(BiT 采用 ReLU 作为非线性函数),所以作者提出将这些非负的激活值二值化成 {0,1}, 而将其他实数值激活层二值化成{-1,1}, 从而最大程度减小二值化激活值和实数激活值之间的分布差距。

如下图所示



进一步地,作者提出自由度更高的二值化方程。它通过学习对实数值的缩放和偏移,将实数值置于更加合适的量化范围,从而得到更优的二值化输出。


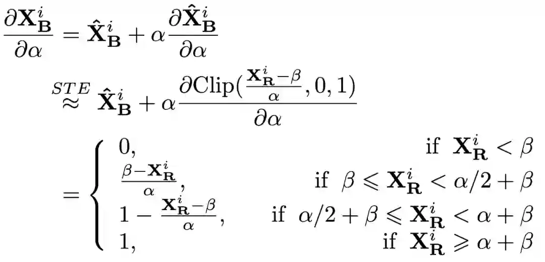
(1) 对于输出只有非负值的层,全精度激活值被量化到{0,α}:



这里的缩放系数 α 和偏移系数 β 都通过导数直接学习。


关于 α 的导数,通过 straight-though estimator (STE) 将不可导的取整函数近似作 CLIP 函数:



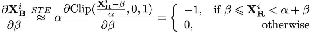
类似地,可以得到对于 β 的导数:



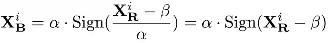
(2) 而对于输出既有正值也有负值的层,全精度激活值被量化到 。这种情况下,二值化函数的输出与 Sign 函数内部缩放全精度激活值与否无关:



此场景下对缩放系数 α 的求导就非常简单:



除此之外,作者发现直接用全精度网络蒸馏二值化网络效果并非最优,猜想原因是全精度网络与二值化网络之间的分布差距过大,因此作者提出采用一个 W1A2 网络,即参数值 (W) 为 1 bit, 激活值 (A) 为 2 bit 的网络来作为中间过渡,用全精度网络蒸馏 W1A2 网络,再用 W1A2 网络作为 teacher 蒸馏二值化 (W1A1) 网络,从而进一步提升二值化网络的效果。


3. 实验


这些看似简单的改进能给二值化网络带来巨大的精度提升。消融实验表明,自由度更高的二值化方程(Elastic binarization )在 GLUE 数据集上带来了 15.7% 的提升,而分布蒸馏进一步带来了 2.5% 提升。



最终结果远超之前的 SOTA 模型 BiBERT,将与全精度网络的差距缩小到了仅 6%。



4. 局限性


本文主要在 BERT 模型上验证了二值化 transformer 的可行性,而其在其他各种预训练 transformer 上的可行性有待进一步试验。并且作者认为,相比于自然语言分类任务,文本生成类任务(比如翻译,文本总结)将会是更具有挑战的任务,也会是一个非常有意思的进一步探索方向。此外该方法在不同领域(例如视觉图像和语音处理)上的性能也会值得研究。


© THE END 

转载请联系本公众号获得授权

投稿或寻求报道:content@jiqizhixin.com

登录查看更多
1

相关内容

CVPR 2022 | 用于语义分割任务的跨图像关系型知识蒸馏
专知会员服务
23+阅读 · 2022年5月15日
【CVPR2022】MSDN: 零样本学习的互语义蒸馏网络
专知会员服务
21+阅读 · 2022年3月8日
NeurIPS 2021 | 寻MixTraining: 一种全新的物体检测训练范式
专知会员服务
12+阅读 · 2021年12月9日
专知会员服务
65+阅读 · 2021年4月11日
专知会员服务
29+阅读 · 2020年10月24日
专知会员服务
18+阅读 · 2020年10月18日
[ICML-Google]先宽后窄:对深度薄网络的有效训练
专知会员服务
36+阅读 · 2020年7月5日
【CVPR 2020-商汤】8比特数值也能训练卷积神经网络模型
专知会员服务
26+阅读 · 2020年5月7日
ICLR'22 | 基于Transformer的跨域方法
图与推荐
1+阅读 · 2022年9月7日
ViT的复仇:Meta AI提出ViT训练的全新baseline
机器之心
0+阅读 · 2022年5月3日
国家自然科学基金
0+阅读 · 2014年12月31日
国家自然科学基金
0+阅读 · 2014年12月31日
国家自然科学基金
0+阅读 · 2014年12月31日
国家自然科学基金
1+阅读 · 2014年12月31日
国家自然科学基金
0+阅读 · 2012年12月31日
国家自然科学基金
0+阅读 · 2012年12月31日
国家自然科学基金
0+阅读 · 2011年12月31日
国家自然科学基金
0+阅读 · 2011年12月31日
国家自然科学基金
0+阅读 · 2009年12月31日
Arxiv
15+阅读 · 2022年6月14日
Arxiv
17+阅读 · 2022年2月23日
Arxiv
29+阅读 · 2020年3月16日
VIP会员
相关VIP内容
CVPR 2022 | 用于语义分割任务的跨图像关系型知识蒸馏
专知会员服务
23+阅读 · 2022年5月15日
【CVPR2022】MSDN: 零样本学习的互语义蒸馏网络
专知会员服务
21+阅读 · 2022年3月8日
NeurIPS 2021 | 寻MixTraining: 一种全新的物体检测训练范式
专知会员服务
12+阅读 · 2021年12月9日
专知会员服务
65+阅读 · 2021年4月11日
专知会员服务
29+阅读 · 2020年10月24日
专知会员服务
18+阅读 · 2020年10月18日
[ICML-Google]先宽后窄:对深度薄网络的有效训练
专知会员服务
36+阅读 · 2020年7月5日
【CVPR 2020-商汤】8比特数值也能训练卷积神经网络模型
专知会员服务
26+阅读 · 2020年5月7日
相关基金
国家自然科学基金
0+阅读 · 2014年12月31日
国家自然科学基金
0+阅读 · 2014年12月31日
国家自然科学基金
0+阅读 · 2014年12月31日
国家自然科学基金
1+阅读 · 2014年12月31日
国家自然科学基金
0+阅读 · 2012年12月31日
国家自然科学基金
0+阅读 · 2012年12月31日
国家自然科学基金
0+阅读 · 2011年12月31日
国家自然科学基金
0+阅读 · 2011年12月31日
国家自然科学基金
0+阅读 · 2009年12月31日
Top
微信扫码咨询专知VIP会员