知识图谱如何应用到文本标签化算法中

2020 年 2 月 18 日 AINLP

前言

丁香园和丁香医生业务中存在着大量的文章,帖子,公开问题等文本数据,采用简单的分词或者词典匹配的方法得到的关键词,在推荐和搜索场景中容易遇到准确性低下的情况。文本的标签生成是NLP领域的一项基础任务,目的是对文本更好地结构化,筛选重要的关键词,概括文本的中心语义。因此,我们探索了一套标签生成流程,其中除了应用了已有的信息抽取技术之外,还将医疗知识图谱结构,实体显著性判断,concept抽取融入模型,实现业务增长。

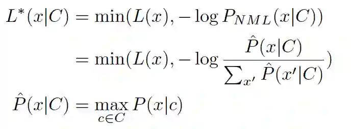
关于标签生成,优化的方法大致有两种思路,第一种是在拥有一个较为完备的知识图谱后,如何使用知识图谱去指导标签抽取过程保持语义上的一致。举个栗子,比如通过词分布的分析,某篇文章的主题被定为在“妇科”相关疾病上,那么“骨科”的实体词就会被避免作为标签被抽出。这种思路在业界多以LDA的无监督打标签算法为主,利用知识表示向量、知识图谱结构或者其他统计信息对LDA模型进行改进,输出的结果为原文出现过的实体词,以下我们将它称之为主题语义连贯的词分布标签方法

另一种思路是在知识图谱上做文章,比如专业的医学知识图谱上的实体词够精确,但有时由于词本身的含义不够泛化,并不适用于文章的表示,举个栗子,比如“HP”、“胃镜”、“三联疗法”这几个词的确贴合消化内科的主题,但是它没有“幽门螺杆菌的治疗方法”这样更加泛化的标签词来的直观,后者包含了更多的信息量,且更具可解释性这方向需要结合更多的NLP技术,包括在业务场景中挖掘优质的concept短语,构建concept短语与实体词的taxonomy,利用文本子图中心度测量、随机游走路径、词频共现等做encoding,以LDA作为抽取器完成标签工作,以下我们将它为Concept挖掘的标签方法

对这两种思路,我们调研了已有的相关研究,利用医疗知识图谱和医学垂直领域业务数据做了标签生成的尝试。

一. 如何做出主题语义连贯的词分布主题模型

《Incorporating Knowledge Graph Embeddings into Topic Modeling》
概率主题模型可用于从文档集合中提取低维主题。然而,以往的模型往往产生无法解释的主题。近年来,已有许多基于知识的主题模型被提出,但它们不能很好的处理知识图中的三元组,大部分以must-link形式,或直接利用图谱中的上层概念,无法在向量空间中量化。本文将知识表示嵌入到到LDA中,将潜在的Dirichlet分配(一种广泛使用的主题模型)与实体向量编码的知识相结合,来提高了主题语义的一致性和连贯性。本文主要在两个以往研究(CI-LDA和Corr-LDA)上做了改进,上图为linkKGLDA,下图为corrKGLDA:

两个模型的不同之处在于,前者为条件独立,后者为条件相关。具体的改进如下:

由于一些知识表示(TransE)是unit sphere,因此使用von Mises Fisher(VMF)分布对其进行建模。vmf分布被广泛用于模拟此类定向数据。此外,使用vmf分布代替多元高斯分布,可以更有效地进行推断。与传统LDA模型相比,增加一组参数:(μk, κk) ,主题k的vMF分布;以及edm,即文档中实体的知识表示向量。

二. 如何实现Concept挖掘的标签方法

目前的大多数concept标签方案,多是基于一定的统计数据,如:词对共现频数,词对覆盖率等。这些方法依赖业务场景下的query log,或者也可利用知识图谱结构进行层次聚类,中心化,路径预测等方式进行。下面将一一介绍相关研究。
《Graph-Sparse LDA: A Topic Model with Structured Sparsity》
本文引入了图稀疏LDA,这是一种分层主题模型,它使用单词之间关系的知识(例如: 本体编码)。 在模型中,主题被一些潜在的概念词概括,这些潜在概念词来自观察词在本体中的图。
GS-LDA在标准LDA模型中引入了一个额外的层次结构层: 主题不是分布在观察到的词上,而是分布在概念词上,然后通过由词汇结构通知的噪声过程生成观察到的词。

例如上图所示,“癫痫”是一个很好的概念词,可以概括出子类癫痫。 如果患者患有癫痫也可以解释“中枢神经系统紊乱”甚至“疾病”。
利用词典用的词或者实体总结文本时,通常都非常具体,而使用概念词总结一段文本,不仅可以说明具体的语义,同时能挖掘到更上层或者相似主题的语义。 例如: ”抗病毒药物”和”抗逆转录病毒”,一个词和它的邻居词,可以被认为产生自一个核心概念。 Graph-Sparse LDA模型假设一个主题有一组稀疏的概念词组成,或是后代,或是祖先。 最后定义如下过程:

推导了一个B、B-、A、A-和P(以及添加和删除主题)的 blocked-Gibbs sampler。然而,单是吉布斯抽样并不能使主题概念词矩阵中的稀疏性足够快。混合速度很慢,因为阻塞的吉布斯取样器设置Akw~=0的唯一时间是没有w~计数分配给任何文档中的主题K时。当有海量文档时,不太可能达到零计数,采样器稀疏主题概念词矩阵A的速度会很慢。因此本文引入了一个MH procedure,通过在A和P上的 joint moves,鼓励主题概念词矩阵A向更大稀疏的方向移动。分布如下:

首先,对A’进行智能分割合并移动。其次,试图通过提出一个P’来保持似然函数尽可能恒定:AP=A’P’。这样,先验p(A)和p(P)将对移动产生很大的影响。
《Grounding Topic Models with Knowledge Bases》
这篇工作认为尽管最近的研究试图利用各种知识源来改进主题建模,但它们要么承担着仅将主题表示为单词或短语分布,要么通过将主题与预先定义的知识库(知识库)实体进行一对一的绑定,建立主题模型,牺牲了主题建模的灵活性。 因此提出了一种基于taxnomy层次结构随机游走特征的LDA,目的在于将taxnomy的语义和结构化特征全部考虑进来。

与以往LDA不同的是,模型中加入了四个新的变量,其中rdj代表随机游走路径,edj代表taxonomy中的概念,mdj代表文档中的实体,ydl为单词index。从根节点顶层概念词c0开始,通过随机游走筛选子节点。过程结束直到到达叶子节点。因此这个随机游走给每一个entity(概念)分配了一个从根到叶子的路径。基于主题k,可以计算到达每个实体的随机行走的概率,从而获得主题k下实体的分布。同样,对于每个类别节点c,可以计算一个概率kc,表示c被包含在随机行走路径中的可能性。
除了随机游走得到的结构特征,本文同样利用了维基百科的page数据,得到实体,单词,概念之间的共现频数,作为先验信息。大文本语料库和知识库的推理是复杂的,为了保证实践中的效率,文章提出需要注意以下几个方面:
(a)所有实体的路径总数可能非常大,使得随机游走公式的计算非常庞大。因此,本文使用命名实体字典为每个文档选择候选实体,在采样时只考虑这些实体的路径。实验表明,该近似方法对建模性能的影响可以忽略不计,同时大大降低了采样的复杂度,使推理成为现实。
(b)通过修剪低级的具体类别节点(其最短的根到节点路径长度超过阈值),进一步减少层次深度。作者发现这样一个“粗糙”的实体本体足以满足需求。
(c)为了计算路径的概率,使用动态规划来避免冗余计算。
(d)初始化实体和路径分配以确保良好的起点。
《Modeling Documents by Combining Semantic Concepts with Unsupervised Statistical Learning》
以往的研究中,或是只用文档中的词来描述主题,或是在taxnomy中找到合适的concept描述主题,本文虽然只是在传统LDA模型上做了很小的改动,但是它可以实现文档词分布和taxnomy concept共存的主题表达形式。将文档中的所有单词(不仅仅是实体)映射到一组本体概念上,学习单词和概念的概率模型,并且使用完全无监督的方法,而无需任何监督标记。

将把这种模型称为概念模型。 在概念模型中,属于概念的词由人类先验地(例如,作为本体的一部分)定义,并且仅限于(通常)总体词汇的一小部分。 相反,在主题模型中,词汇表中的所有单词都可以与任何特定主题关联,但具有不同的概率。 在上面的公式中,概念模型的未知参数是单词概念概率p(wi|cj)和概念文档概率p(cj|d)。 作者的目标(在主题模型中)是从适当的语料库中估计这些。 例如,注意概率p(cj|d)可以解决前面提到的标记问题,因为每个这样的分布都告诉我们文档d表示的概念cj的混合。
使用吉布斯抽样将概念分配给文档中的单词,使用与在主题模型相同的抽样方程,但是有一个额外的约束,即一个单词只能分配给它在本体中关联的概念。 除了约束外,学习算法与主题模型的标准学习完全相同,最终的结果是语料库中的每个词都被赋予了本体中的一个概念。 反过来,这些分配可以直接估计上面等式中的某些项。 为了估计特定概念cj的p(wi|cj),我们通过抽样算法判断语料库中有多少单词可以分配给概念cj,并将这些计数标准化,以得到概率分布p(wi|cj)。 为了估计特定文档d的p(cj|d),计算每个概念分配给文档d中单词的次数,然后再次规范化和平滑计算以获得p(cj|d)。 下表显示了一组单词的学习概率(按概率排序)的例子。

《Unsupervised Graph-based Topic Labelling using DBpedia》
这是一个完全将LDA作为抽取功能组件的模型,topic labeling过程完全基于聚类和图的中心化操作。

可以看到,每个实体的语义图只能表示一种非常宽泛的概念,并不能体现各个实体概念之间的关系,直接作为标签会使每个概念都孤立起来,文本的语义不仅不一致,还会非常离散。相反本文方法是建立一个由多个实体子图构成的主题图,从中可以分析大图中每个节点对主题图的语义中心度贡献(因此模型的假设前提是:在图中起重要作用的节点也与种子概念有重要的语义关系)。最终从这些语义中心度贡献高的节点中选择标签。本文应用了几种语义中心性措施:Focused Closeness Centrality,Focused Information Centrality,Focused Betweenness Centrality,来计算候选标签的语义中心度。
《On Conceptual Labeling of a Bag of Words》
本文利用了probase来进行concept tagging,与上述的研究不同,他没有用到任何主题模型,主要的方法是用信息论的方法来权衡对词袋的语义覆盖度,输出覆盖最广但标签最少的单词。

使用MDL(最小长度描述原则)作为选择最好concept的标准,通过最大限度减少描述长度来实现当前概念集C的更新。迭代终止时,描述长度不能再减少了。由于编码长度在每次迭代时单调递减,因此保证了该算法收敛。虽然没有用到任何主题模型,但算法仍然可以通过三种操作(增删改)和MDL收敛的方式,自动的决定主题个数。前提是需要有海量的上下级概念对频数。

三. 实际工作中的尝试

在实际工作的尝试中,我们的整体算法流程分为两部分: 核心主题关键词抽取以及获取更为抽象的concept短语。
符合一定主题的关键词抽取: 在原有的linkKGLDA模型基础上,除了采用知识表示,还对图谱之外的词赋予deepwalk向量,是模型更好的应对图谱之外的词。
更为抽象的concept短语: 首先构建基于帖子的知识图谱,除了利用业务词典,丁香园论坛结构,搭建图谱上层,中下层图谱通过层次主题模型,concept,关键词抽取进行搭建。
通过的concept抽取模型(可参考: 医疗健康领域的短文本解析探索),我们从query和帖子标题中抽取到了300万的concept词语,那么如何才能找到一个帖子真正说的主题,并将文本中的最关键主题词连接到相应的concept上呢,这里我们要借助以下论文中提到的方法:
《Towards Better Text Understanding and Retrieval through Kernel Entity Salience Modeling》
由于一篇文章涉及到的实体多种多样,但一般会存在几个最关键的实体,例如:

文中出现了腹泻,绿便,奶等一系列表述疾病过程和食物相关的实体(可通过linkKGLDA识别出来),但中心实体”腹泻”和”乳糖酶乳粉”在识别结果中的排序可能并不是top1,这会使得后续的concept对应工作产生一定的噪音。

本文主要研究实体对文章的显著程度,通过结合文章上下文和实体知识表示(KEE),和Kernel Interaction Model (KIM) 模型,对实体-文章对进行排序,从而得到实体在文章中的显著程度。
实验数据利用的是远监督标注,利用文章和文章标题,以及已有算法(ner,名词短语抽取,实体链接,linkKGLDA概率等)得到训练数据。
《A User-Centered Concept Mining System for Query and Document Understanding at Tencent》
本篇文章在tagging docment上的方法有两种,实现的前提条件是需要有足够数量和高质量的query log,以及知识图谱。
整个过程分为两种方法: 基于概率和基于匹配:

基于条件概率:

文章3.1节描述了如何利用抽取到的主题关键词去对应到一组合适的concept,主要利用的还是主题关键词上下文与concept的条件概率推理。 与《Grounding Topic Models with Knowledge Bases》不同,这种方法可以得到图谱中不存在,但是搜索中经常出现的concept,并且也不需要大量上下位词的共现频数。

整个p(c|d)的计算过程重点在于第三步,即想要计算p(c|x),必须存在以上下文xj作为子串的概念词(这样的概念词来自于query log),如: 文中提到的概念词”省油的汽车”和文档中”丰田RAV4”的上下文”省油,耐用”。 虽然这样的概念词在医疗专业词汇和搜索中很少见,但这实际上是实体属性和概念属性的一种交集,在没有足够数量和高质量的query log的情况下,我们可以采用属性抽取相关工作的研究结果。 这样做更有利于做医疗领域的相关问题,当然也可参照之前的历史文章(taxnomy构建)和上面介绍的《On Conceptual Labeling of a Bag of Words》计算概率值。

基于匹配:

1.首先利用GBRank,textRank,word2vec算法,得到一定数量的关键词(instance)
2.利用检索或者web table找到与instance相关的概念候选。 每一个concept,用topN搜索结果标题文本信息来丰富concept表示(tf-idf向量)。
4.将concept表示与文档title tf-idf向量做相似度计算,超过一定阈值,打相应标签。

四. 实验对比

在丁香园论坛帖子的文本数据上,我们应用了前文调研的主题抽取、实体显著性判断、短语挖掘、concept召回等方法,所获得的标签在主题贴近度和可解释性上都有显著提高:

五. 总结:

标签生成任务虽然在NLP领域非常常见,但是想要获得高质量的标签词,在推荐、搜索、问答等工业场景下应用,背后其实集成了众多NLP基础工作。 标签生成的上游包含了分词、命名实体识别、医学概念归一化、消岐、concept质量优化等工作。 只有稳固的基础才能把楼盖得更高。
其次,知识图谱就是模型。 合理的图谱结构、丰富的数据量将决定最终结果的好坏。 在产业界尤其需要关注实际业务下的知识体系构建,一套知识图谱并不一定能满足所有的业务线,比如在医学科普文章下表现良好的图谱,若应用在考研、招聘类的文本下,反而会因为抽出过多的医学专业词汇而偏离主题。 可以与业务部门协同补全知识图谱,或者用一些统计学方法加以补充。
最后,标签词并不需要一定作为文本的一种“显式”的展示方式,作为长文本的一种更优的结构化数据,它有各种各样的“隐式”用法,比如作为特征输入到下游的文本分类、标题生成甚至融入到推荐系统策略中,我们会在今后陆续分享各种有趣的玩儿法。


参考文献

《Incorporating Knowledge Graph Embeddings into Topic Modeling》

《Graph-Sparse LDA: A Topic Model with Structured Sparsity》

《Grounding Topic Models with Knowledge Bases》

《Modeling Documents by Combining Semantic Concepts with Unsupervised Statistical Learning》

《Unsupervised Graph-based Topic Labelling using DBpedia》

《On Conceptual Labeling of a Bag of Words》

《A User-Centered Concept Mining System for Query and Document Understanding at Tencent》

《Towards Better Text Understanding and Retrieval through Kernel Entity Salience Modeling》

《End-to-End Neural Ad-hoc Ranking with Kernel Pooling》

《Automatic Event Salience Identification》



招聘信息


丁香园大数据NLP团队招聘各类算法人才,Base杭州。NLP团队的使命是利用NLP(自然语言处理)、Knowledge Graph(知识图谱)、Deep Learning(深度学习)等技术,处理丁香园海量医学文本数据,打通电商、在线问诊、健康知识、社区讨论等各个场景数据,构建医学知识图谱,搭建通用NLP服务。团队关注NLP前沿技术,也注重落地实现,包括但不仅限于知识图谱、短文本理解、语义搜索、可解释推荐、智能问答等。加入我们,让健康更多,让生活更好!


欢迎各位朋友推荐或自荐至 yangbt@dxy.cn




本文转载自公众号丁香园大数据,作者丁香园大数据NLP

推荐阅读

AINLP年度阅读收藏清单

知识图谱构建技术综述与实践

谈谈医疗健康领域的Phrase Mining

医疗领域知识图谱构建-关系抽取和属性抽取

中文NER任务实验小结报告——深入模型实现细节

大幅减少GPU显存占用:可逆残差网络(The Reversible Residual Network)

鼠年春节,用 GPT-2 自动写对联和对对联

transformer-XL与XLNet笔记

AINLP-DBC GPU 云服务器租用平台建立,价格足够便宜

征稿启示 | 稿费+GPU算力+星球嘉宾一个都不少

关于AINLP

AINLP 是一个有趣有AI的自然语言处理社区,专注于 AI、NLP、机器学习、深度学习、推荐算法等相关技术的分享,主题包括文本摘要、智能问答、聊天机器人、机器翻译、自动生成、知识图谱、预训练模型、推荐系统、计算广告、招聘信息、求职经验分享等,欢迎关注!加技术交流群请添加AINLP君微信(id:AINLP2),备注工作/研究方向+加群目的。



登录查看更多
0

相关内容

面向司法案件的案情知识图谱自动构建
专知会员服务
126+阅读 · 2020年4月17日
【SIGMOD2020-腾讯】Web规模本体可扩展构建
专知会员服务
32+阅读 · 2020年4月12日
【论文推荐】文本分析应用的NLP特征推荐
专知会员服务
34+阅读 · 2019年12月8日
知识图谱本体结构构建论文合集
专知会员服务
110+阅读 · 2019年10月9日
医疗知识图谱构建与应用
专知会员服务
389+阅读 · 2019年9月25日
基于知识图谱的文本挖掘 - 超越文本挖掘
专知
40+阅读 · 2019年8月18日
【知识图谱】基于知识图谱的用户画像技术
产业智能官
102+阅读 · 2019年1月9日
领域应用 | NLP 和知识图谱:金融科技领域的“双子星”
开放知识图谱
21+阅读 · 2018年8月12日
如何匹配两段文本的语义?
黑龙江大学自然语言处理实验室
7+阅读 · 2018年7月21日
如何将知识图谱特征学习应用到推荐系统?
人工智能头条
12+阅读 · 2018年6月10日
基于LDA的主题模型实践(三)
机器学习深度学习实战原创交流
23+阅读 · 2015年10月12日
基于LDA的主题模型实践(一)
机器学习深度学习实战原创交流
20+阅读 · 2015年9月9日
Arxiv
102+阅读 · 2020年3月4日
Arxiv
21+阅读 · 2019年8月21日
Arxiv
12+阅读 · 2018年9月15日
Arxiv
7+阅读 · 2018年3月21日
Arxiv
4+阅读 · 2018年2月19日
VIP会员
相关VIP内容
面向司法案件的案情知识图谱自动构建
专知会员服务
126+阅读 · 2020年4月17日
【SIGMOD2020-腾讯】Web规模本体可扩展构建
专知会员服务
32+阅读 · 2020年4月12日
【论文推荐】文本分析应用的NLP特征推荐
专知会员服务
34+阅读 · 2019年12月8日
知识图谱本体结构构建论文合集
专知会员服务
110+阅读 · 2019年10月9日
医疗知识图谱构建与应用
专知会员服务
389+阅读 · 2019年9月25日
相关资讯
基于知识图谱的文本挖掘 - 超越文本挖掘
专知
40+阅读 · 2019年8月18日
【知识图谱】基于知识图谱的用户画像技术
产业智能官
102+阅读 · 2019年1月9日
领域应用 | NLP 和知识图谱:金融科技领域的“双子星”
开放知识图谱
21+阅读 · 2018年8月12日
如何匹配两段文本的语义?
黑龙江大学自然语言处理实验室
7+阅读 · 2018年7月21日
如何将知识图谱特征学习应用到推荐系统?
人工智能头条
12+阅读 · 2018年6月10日
基于LDA的主题模型实践(三)
机器学习深度学习实战原创交流
23+阅读 · 2015年10月12日
基于LDA的主题模型实践(一)
机器学习深度学习实战原创交流
20+阅读 · 2015年9月9日
Top
微信扫码咨询专知VIP会员