看不见的战争丨从SARS到H1N1,如何应对生物恐怖事件中的药品物资调度问题?

2017 年 9 月 16 日 科学出版社 刘明,曹杰


药品物资调度问题具有应急环境与常规环境的双重社会现实背景。在应急环境下,药品物资调度关乎应急救援效率甚至灾民生命安全;在常规环境下,药品物资调度关乎终端药品价格甚至医疗服务水平。因此,开展药品物资调度优化理论与方法研究,无论在应急环境下,还是在常规环境下,都具有重要的理论意义和实践价值。



在生物反恐预警防御系统建设过程中,必须首先了解危险源扩散的规律,以及危险源扩散网络和应急物流网络之间的协同关系。如果一座城市遭受生物恐怖袭击(如天花),将会形成一个以人为节点的危险源扩散网络,具有扩散的快速性和跳跃性。生物反恐预警防御系统中的应急药品物资,就会随着危险源的扩散,形成一个以城市中应急救援机构为节点的应急物流网络,具有流动的时效性和连续性。因此,生物反恐体系中的应急药品物资调度网络是由生物危险源扩散网络驱动的,有着与定常态物流系统不同的结构和从无序向有序演化的行为。


因此,以提高生物反恐应急救援系统中应急药品物资保障和供应能力为目标的优化问题研究,需要研究生物危险源扩散的动力学行为,以及危险源扩散网络和应急药品物资调度网络的协同性;需要研究高效的应急药品物资配送方法、动态连续变化的应急资源配置策略以及应急药品物资储备和配送集成动态优化问题。所获得的生物反恐体系中应急药品物资调度网络协同优化理论研究成果与项目团队已有成果相结合,可为我国政府及时、高效、妥善地处置可能发生的生物恐怖袭击事件提供科学决策依据,同时也可为其它各种灾害的应急决策提供借鉴和参考。


生物恐怖事件


根据《中华人民共和国突发事件应对法》、《突发公共卫生事件应急条例》、《国家突发公共事件医疗卫生救援应急预案》等相关法律法规,凡故意实施下列行为之一者,都属于生物恐怖袭击事件:


    怀疑有通过邮件等载体或空中播洒等方式释放生物战剂的恐怖袭击事件。

    怀疑在党政机关、涉外机构、公众聚集场所及城市标志性建筑等重要地点施放生物恐怖战剂的袭击事件。

    怀疑有对城市饮用水源、中央空调及通风系统、大宗食品等民生相关的目标施放生物恐怖战剂的袭击事件。

    怀疑在江河、湖泊、海洋生态敏感区、水库及其它地表、地下水源等重要环境大量排放、倾倒、灌注生物恐怖战剂的袭击事件。

    怀疑有大规模施放生物战剂袭击境内动物、植物的恐怖事件。

    怀疑有利用各种手段攻击、破坏我国生物制剂的实验、生产、储运设施等相关恐怖事件。

    实验室泄露或有害标本丢失并对公众造成危害的事件。

    政府有关领导机构和相关部门提出的疑似生物恐怖事件。

    在一定范围内,发现有与传染病流行相关的异常现象,包括病种异常、传播途径异常、流行季节异常、职业分布异常及出现反季节的动物昆虫或生物媒介、发生多种传染病病原体混合感染的病例等,怀疑有发生生物恐怖战剂袭击事件的可能性。


随着经济全球化的迅猛发展,社会复杂性和不确定性因素不断增加,环境结构也不断地向多样化发展。在这个不断变化的过程中,各种生物恐怖袭击事件时有发生,如1993年的日本地铁沙林毒气事件、2001年的美国炭疽邮件事件(如 图1 所示)等。面对可能存在的各种生物恐怖事件,早在20世纪90年代,美国就开始投入大量的资金建设和完善突发公共卫生事件预警防御体系,从国家安全的高度防范潜在的生物、化学和放射性物资的恐怖袭击,大都市医疗反应系统(Metropolitan medical response system,MMRS)就是其中的一个重要组成部分。在“9.11”事件中,MMRS发挥了重要作用,7小时内就将50吨医药物资送到纽约。在2001年10月遭受炭疽病生物恐怖袭击时,联邦医药储备库及时向地方卫生部门发放了大量医药物资。“9.11”之后,英国、法国、意大利等国相继制定了生物反恐计划,建立了生物反恐预警防御系统。2002年美国投入11亿美元,用于扩大联邦医药储备,将分布于全国的8个储备库增加到12个,境内任何地区都可以在12小时内得到储备的疫苗、抗生素、药物(包括消毒药械)等应急药品物资,同时美国还投入9.18亿美元,用于扩大州和地方卫生部门的药品储备。


图1 炭疽邮件事件


生物恐怖威胁具有容易实施、施放突然、心理威胁大、后果严重,以及生物恐怖威胁的跨国性、不确定性和高难度防扩散性等特点,可以通过接种疫苗和适当的接触隔离防止疾病扩散。美国的应急医疗服务(Emergency Medical Services,EMS)在生物反恐预警防御系统中发挥着重要作用,EMS条例(1973)规定乡村的紧急医疗救护必须在30分钟到达,城市必须控制在10分钟。EMS和应急部门对生物恐怖袭击的反应能力,取决于他们对疾病和疾病扩散知识的了解程度。2006年的《美国国家安全战略报告》指出:“生物武器不需要那些难以获得的基础设施和材料来与之配套。这使得控制它扩散所面临的挑战更大”。欧盟也密切关注生物武器扩散问题,欧盟认为,尽管有效地使用生物武器需要特殊的科学知识和技能,但随着生命科学的迅速发展,错误使用军民两用技术与知识的潜力在增长。生物武器特别难以对付,尤其是它在被使用时,针对植物、动物还是人类,会大不相同,所以防范起来更为困难。

 

相比之下,中国目前正处于经济学家所预言的“非稳定状态”频发的“关键时期”,即人均国民收入水平处于5000~8000美元发展阶段。这是一个人口与资源环境、效率与公平正义等矛盾突出的时期,也是经济容易失控、社会容易失序、心理容易失衡、政治思想观念和社会伦理价值容易失调的关键时期。因此,更加有必要加强对生物恐怖袭击事件的防范和研究。2003年在我国暴发的非典型肺炎(Severe Acute Respiratory Syndrome,SARS),虽然不是严格意义上的生物恐怖事件,但却用深刻的教训,验证了我国应急药品物资储备和应急配送体系的不健全。2003年5月9日,国务院颁布了《突发公共卫生事件应急条例》,我国应急药品物资的储备和应急配送才开始进入规范化管理的轨道。2008年政府工作报告中指出“要加强应急体系和机制建设,提高预防和处置突发事件的能力;加强对现代条件下的自然灾害特点和规律的研究,提高防灾减灾能力”,并将“进一步加强应急管理工作”作为2008年国务院57条工作的要点之一。科技部相关部门在 2009国际生物经济大会上发布的一份报告也指出:未来10年,中国将力争在生物安全与生物反恐技术上取得重大突破,建立健全生物安全保障体系,建立健全防御生物恐怖袭击及防治重大疫病的应急技术体系,保障人民健康和社会稳定。由此可见,我国正在加速构建生物反恐安全保障体系。

 

生物反恐体系中的应急药品物资控制策略分析


生物恐怖事件发生后,人们总是会尽可能地展开应急救援,而为了提高应急救援的时效性,首先要做的工作即是分析和确认受生物危险源感染区域对应急救援资源的需求情况。以往文献中有的将应急药品物资需求定义为脉冲变量,有的将其定义为服从某种分布,有的则设计为某种时变量,然而,实际的应急药品物资需求是非常难以预测的,且随着危险源的扩散不断地动态变化。为此,下文在生物危险源扩散规律分析的基础上,对生物反恐体系中的应急药品物资需求规律先建立一类简单的预测模式(微分关系式)。在后续的研究中,将在此预测模式基础上,构建新的时变需求预测模式。


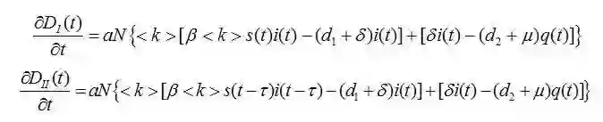
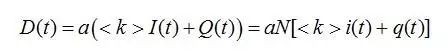
定义D(t)为感染区域在t时刻的应急药品物资需求量,很明显,对于受感染区域而言,被感染的人口数越多,应急资源的需求越大(这里被感染人口包括两个部分,一是被感染但还未被隔离的人口,另一部分即是被隔离的感染人口),即D(t)∝ f [ I(t)+Q(t)]。假设每个感染者需要a个单位的应急资源,在考虑区域中被感染但未被隔离的人口还会对周边密切接触的人进行传染条件下,应急资源的需求量D(t)满足以下的需求函数:



分别对D(t)在SIQRS模型和SEIQRS模型的环境下求偏导,可得:



由于〈k〉>δ是恒成立的,则可知应急资源的需求量D(t)与关键参数中的传染率β和网络的平均度分布〈k〉成正比,与感染人口被发现并进行隔离的概率δ成反比。


为方便计算,取参数a=1,对生物反恐体系中的应急药品物资需求进行模拟分析,结果如 图2 所示。从 图2 析可知,无论在SIQRS模型还是SEIQRS模型的环境下,受生物危险源感染区域对应急药品物资的需求皆呈现了较为明显的三阶段特性:即在生物恐怖事件爆发初期,由于生物危险源还未开始大面积扩散,因此在开始的一段时间内,感染区域对应急药品物资的需求较为平稳,称为第一阶段;在经过一段蛰伏期后,生物危险源开始大面积扩散,感染人口出现高峰期,对应急药品物资的需求也急剧变化,在采取了一系列应对措施后,生物危险源扩散开始回落,称为第二阶段;最后,当生物危险源扩散趋于稳定或消失,对应急药品物资的需求也逐渐平稳,称为第三阶段。


图2 不同模型环境下应急药品物资的需求规律

Model Ⅰ为SIQRS 模型;Model Ⅱ为SEIQRS 模型 


在第一阶段,危险源没有大面积扩散,人们往往很难发现已经遭到袭击,而这正是生物恐怖袭击的隐蔽性所在。而到了第二阶段,危险源会在短时间内急剧扩张(被感染者发病人数急剧增加),使得这阶段的应急救援压力陡增。正是由于生物恐怖袭击事件具有这样的特性,使得生物反恐应急救援比自然灾害的应急救援更难开展。因此,应针对这三个不同的阶段,分别制定不同的应急药品物资控制策略,以有效的应对生物恐怖事件。


应急药品物资控制策略


1、对于生物反恐应急救援第一阶段,由于生物恐怖袭击刚发生,受感染区域对应急药品物资的需求还处于较稳定状态。而在受感染的区域中,当地的医疗部门应该还存有一些应急药品物资库存。此时,应抓住这段有利时机,快速诊断出危险源的病因、病种以及所需的应急药品物资,而该阶段的应急救援目标即是尽可能地在生物危险源大规模扩散高峰来临前,将感染区及周边区域原有储备应急药品物资调配到应急需求点。


2、对于生物反恐应急救援第二阶段,由于生物危险源的大面积扩散,此时人们也会尽可能地采取各种措施进行应对。因此,在这一阶段,应急药品物资的需求将会呈现很明显的先增后减现象。然而,由于经历了第一阶段的应急救援,此时当地医疗部门的应急药品物资库存可能将要或已经耗尽,需要及时补充新的应急药品物资,因此,该阶段的应急救援目标即是随着生物危险源扩散情况的不断变化,应急药品物资能够源源不断的从城市储备库等机构输配送到当地应急医疗部门,以满足受感染区域对应急药品物资的动态变化需求。


3、对于生物反恐应急救援第三阶段,由于生物危险源扩散将趋于稳定或消失,受感染区域对应急药品物资的需求也将趋于平稳。因此,该阶段的应急救援目标是综合集成考虑生物反恐体系中的应急药品物资储备问题与应急药品物资优化配置问题,实现在开展应急救援的同时,恢复和优化各城市储备库中的应急药品物资库存水平。




《药品物资调度优化理论与方法》

作者:刘明,曹杰

责编:惠雪,沈旭

北京:科学出版社,2017.8

ISBN:978-7-03-053687-7


药品物资调度优化理论与方法研究,无论是在应急环境下,还是在常规环境下,都具有重要的理论意义和实践价值。对于应急环境而言,科学的应急药品物资调度,不但能使应急管理系统更好地发挥作用,而且能使政府及公众的应急行为更加规范和有序,从而产生巨大的协同效应。对于常规环境而言,科学的药品物资调度优化,不但能满足广大患者的用药需求,而且可以有效地控制物流响应成本,降低药品价格,减轻患者的经济负担。


《药品物资调度优化理论与方法》内容包括三个部分:第一部分为理论基础与篇章导引,简要阐述了药品物资调度的相关概念及调度优化模型所需应用到的相关理论方法;第二部分以生物恐怖袭击事件为对象,研究了传染病扩散环境下的应急药品物资调度优化理论与方法,试图为重大突发公共卫生事件或生物恐怖袭击事件的应急管理提供一些有效的决策建议;第三部分以常见的流感为例,研究了药房托管环境下的常规药品物资订购与配送协调优化问题,试图为国家推进药品药事服务改革、减少用药中间环节、实现医药分开寻求一个有效的切入点。


(本期责编:李文超)




一起阅读科学!

科学出版社│微信ID:sciencepress-cspm

专业品质  学术价值

原创好读  科学品味

点击“阅读原文”可购买本书

登录查看更多
0

相关内容

【斯坦福大学-论文】实体上下文关系路径的知识图谱补全
广东疾控中心《新型冠状病毒感染防护》,65页pdf
专知会员服务
19+阅读 · 2020年1月26日
2019年药品零售行业全景图
行业研究报告
31+阅读 · 2019年9月18日
【智能金融】机器学习在反欺诈中应用
产业智能官
35+阅读 · 2019年3月15日
魔都要用最先进的神经网络预测交通?前排围观
机器之心
8+阅读 · 2018年11月15日
2017-2018年抗肿瘤药物行业研究报告
行业研究报告
7+阅读 · 2018年11月1日
【机器学习】如何通过机器学习预测维护设备?
产业智能官
16+阅读 · 2018年7月9日
警务云情报分析研判平台解决方案(ppt)
智能交通技术
17+阅读 · 2018年3月18日
领域应用 | 中医临床知识图谱的构建与应用
开放知识图谱
33+阅读 · 2017年12月12日
Bivariate Beta LSTM
Arxiv
6+阅读 · 2019年10月7日
Arxiv
7+阅读 · 2018年6月8日
VIP会员
相关VIP内容
【斯坦福大学-论文】实体上下文关系路径的知识图谱补全
广东疾控中心《新型冠状病毒感染防护》,65页pdf
专知会员服务
19+阅读 · 2020年1月26日
相关资讯
2019年药品零售行业全景图
行业研究报告
31+阅读 · 2019年9月18日
【智能金融】机器学习在反欺诈中应用
产业智能官
35+阅读 · 2019年3月15日
魔都要用最先进的神经网络预测交通?前排围观
机器之心
8+阅读 · 2018年11月15日
2017-2018年抗肿瘤药物行业研究报告
行业研究报告
7+阅读 · 2018年11月1日
【机器学习】如何通过机器学习预测维护设备?
产业智能官
16+阅读 · 2018年7月9日
警务云情报分析研判平台解决方案(ppt)
智能交通技术
17+阅读 · 2018年3月18日
领域应用 | 中医临床知识图谱的构建与应用
开放知识图谱
33+阅读 · 2017年12月12日
Top
微信扫码咨询专知VIP会员