Google第二届YouTube-8M视频理解挑战赛开启,模型大小不得超过1GB

2018 年 5 月 24 日 AI100


整理 | 阿司匹林

出品 | AI科技大本营(公众号ID:rgznai100)


近日,Google AI 宣布第二届 YouTube-8M 视频理解挑战赛正式开启,目前已经有 20 支队伍报名参赛。


YouTube-8M 是 Google 在 2016 年发布的大规模视频数据集,它包含 8,000,000 万个 YouTube 视频链接,并进行了视频层级(video-level) 的标注。


去年 2 月,谷歌对 YouTube-8M 进行了更新,新的数据集除了标签升级,还包含了预计算的音频特征,音频和视觉特征以 1 秒的时间粒度同步,有助于进行联合视听(时间)建模。


去年的第一届 YouTube-8M 视频理解挑战赛共有来自 60 个国家的 742 支队伍参赛,其中来自法国国立计算机及自动化研究院(INRIA)的 WILLOW 团队夺得第一名,第二名到第四名则被中国团队包揽,分别是来自清华大学的 monkeytyping 团队,来自百度深度学习实验室和清华大学的 offline 团队,以及来自复旦大学、中山大学和武汉大学 FDT 团队。


本次挑战赛要求挑战者提交一个紧凑视频分类模型(compact video classification model),模型大小不得超过 1GB。旷视科技南京研究院负责人魏秀参表示,这个要求“很好体现了 CV 做事风格——先做成、再做好、后做精”。


评估标准


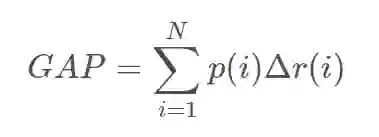
此次比赛的评估标准为 k= 20 时的全局平均精度(GAP)。参赛者需要提交每个视频的预测标签列表及其相应的置信度分数,Google AI 将对具有最高 k 置信度分数的预测标签进行评估,然后将每个预测和置信度分数作为全局预测列表中的单个数据点,以计算平均精度。


GAP 的计算公式如下:



其中 N 是最终预测的数量(如果每个视频有 20 个预测,则 N = 20 * #Videos),p(i) 是精确率,r(i) 是召回率。


GAP 计算公式的 Python 实现可以在以下地址中找到:


https://github.com/google/youtube-8m/blob/master/average_precision_calculator.py#L179


赛程安排


  • 2018 年 7 月 30 日:报名截止

  • 2018 年 7 月 30 日:团队合并截止

  • 2018 年 8 月 6 日:提交和模型上传截止

  • 2018 年 8 月 13 日:论文提交截止

  • 2018 年 8 月 22 日:最终获胜者确认

  • 2018 年 9 月 9 日:YouTube-8M 研讨会(ECCV 2018)


注意:除非另有说明,所有截止日期均为相应日期的 UTC 时间晚上 11:59。其中排名前五的队伍都将获得 5000 美元的奖金,作为参加 ECCV 2018 的差旅费。


比赛详细信息:

https://www.kaggle.com/c/youtube8m-2018#description


AI科技大本营
公众号ID:rgznai100


☟☟☟点击 | 阅读原文 | 查看更多精彩内容

登录查看更多
5

相关内容

专知会员服务
110+阅读 · 2020年3月12日
【紫冬分享】自动化所团队获PRCV2018 美图短视频实时分类挑战赛冠军
中国科学院自动化研究所
10+阅读 · 2018年11月30日
Kaggle 新赛:Google AI Open Images 目标检测
AI研习社
18+阅读 · 2018年7月4日
Kaggle地标图片检索挑战赛冠军方案讲解
论智
9+阅读 · 2018年5月31日
Kaggle 新赛:第二届 YouTube-8M 视频理解挑战赛
AI研习社
10+阅读 · 2018年5月26日
Arxiv
11+阅读 · 2019年6月19日
SlowFast Networks for Video Recognition
Arxiv
4+阅读 · 2019年4月18日
Arxiv
8+阅读 · 2019年3月21日
QuAC : Question Answering in Context
Arxiv
4+阅读 · 2018年8月21日
Arxiv
7+阅读 · 2017年12月26日
VIP会员
Top
微信扫码咨询专知VIP会员