PyTorch版YOLOv4更新了,不仅适用于自定义数据集,还集成了注意力和MobileNet

2020 年 10 月 5 日 机器之心

机器之心报道

作者:陈萍

距离 YOLO v4 的推出,已经过去 5 个多月。YOLO 框架采用 C 语言作为底层代码,这对于惯用 Python 的研究者来说,实在是有点不友好。因此网上出现了很多基于各种深度学习框架的 YOLO 复现版本。近日,就有研究者在 GitHub 上更新了基于 PyTorch 的 YOLOv4。



从今年 4 月 YOLOv4 发布后,对于这个目标检测框架,问的最多的问题或许就是:「有没有同学复现 YOLOv4 的, 可以交流一下么」。由于原版 YOLO 使用 C 语言进行编程,光凭这一点就让不少同学望而却步。网上有很多基于 TF/Keras 和 Caffe 等的复现版本,但不少项目只给了代码,并没有给出模型在 COCO、PASCAL VOC 数据集上的训练结果。

近日,有研究者在 GitHub 上开源了一个项目:基于 PyTorch 深度学习框架的 YOLOv4 复现版本,该版本基于 YOLOv4 作者给出的实现 AlexeyAB/darknet,并在 PASCAL VOC、COCO 和自定义数据集上运行。

项目地址:https://github.com/argusswift/YOLOv4-PyTorch  

除此以外,该项目还向主干网络添加了一些有用的注意力方法,并实现了 mobilenetv2-YOLOV4 和 mobilenetv3-YOLOV4。

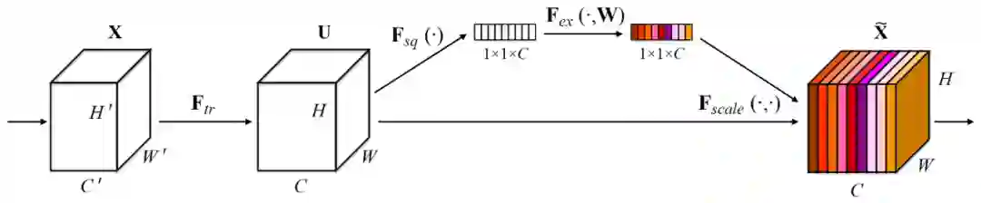
attentive YOLOv4

该项目向主干网络添加了一些注意力方法,如 SEnet、CBAM。

SEnet (CVPR 2017)

CBAM (CVPR 2018)

mobilenet YOLOv4

该研究还实现了 mobilenetv2-YOLOV4 和 mobilenetv3-YOLOV4(只需更改 config/yolov4_config.py 中的 MODEL_TYPE 即可)。

下表展示了 mobilenetv2-YOLOV4 的性能结果:


现在我们来看该项目的详细内容和要求。

环境要求

  • Nvida GeForce RTX 2080TI

  • CUDA10.0

  • CUDNN7.0

  • windows 或 linux 系统

  • python 3.6


特性

  • DO-Conv (https://arxiv.org/abs/2006.12030) (torch>=1.2)

  • Attention

  • fp_16 training

  • Mish

  • Custom data

  • Data Augment (RandomHorizontalFlip, RandomCrop, RandomAffine, Resize)

  • Multi-scale Training (320 to 640)

  • focal loss

  • CIOU

  • Label smooth

  • Mixup

  • cosine lr


安装依赖项

运行脚本安装依赖项。你需要提供 conda 安装路径(例如 ~/anaconda3)以及所创建 conda 环境的名称(此处为 YOLOv4-PyTorch)。

pip3 install -r requirements.txt --user

需要注意的是:安装脚本已在 Ubuntu 18.04 和 Window 10 系统上进行过测试。如果出现问题,请查看详细的安装说明:https://github.com/argusswift/YOLOv4-PyTorch/blob/master/INSTALL.md。

准备工作

1. git 复制 YOLOv4 库

准备工作的第一步是复制 YOLOv4。

git clone github.com/argusswift/YOLOv4-PyTorch.git

然后更新配置文件「config/yolov4_config.py」中「PROJECT_PATH」。

2. 数据集准备

该项目准备了 Pascal VOC 和 MSCOCO 2017 数据集。其中 PascalVOC 数据集包括 VOC 2012_trainval、VOC 2007_trainval 和 VOC2007_test,MSCOCO 2017 数据集包括 train2017_img、train2017_ann、val2017_img、val2017_ann、test2017_img、test2017_list。

PascalVOC 数据集下载命令:

# Download the data.cd $HOME/datawget http://host.robots.ox.ac.uk/pascal/VOC/voc2012/VOCtrainval_11-May-2012.tarwget http://host.robots.ox.ac.uk/pascal/VOC/voc2007/VOCtrainval_06-Nov-2007.tarwget http://host.robots.ox.ac.uk/pascal/VOC/voc2007/VOCtest_06-Nov-2007.tar# Extract the data.tar -xvf VOCtrainval_11-May-2012.tartar -xvf VOCtrainval_06-Nov-2007.tartar -xvf VOCtest_06-Nov-2007.tar

MSCOCO 2017 数据集下载命令:

 #step1: download the following data and annotation   2017 Train images [118K/18GB]   2017 Val images [5K/1GB]   2017 Test images [41K/6GB]   2017 Train/Val annotations [241MB]   #step2: arrange the data to the following structure   COCO   ---train   ---test   ---val   ---annotations

在数据集下载好后,需要进行以下操作:

  • 将数据集放入目录,更新 config/yolov4_config.py 中的 DATA_PATH 参数。

  • (对于 COCO 数据集)使用 coco_to_voc.py 将 COCO 数据类型转换为 VOC 数据类型。

  • 转换数据格式:使用 utils/voc.py 或 utils/coco.py 将 pascal voc *.xml 格式(或 COCO *.json 格式)转换为 *.txt 格式(Image_path xmin0,ymin0,xmax0,ymax0,class0 xmin1,ymin1,xmax1,ymax1,class1 ...)。


3. 下载权重文件

1)darknet 预训练权重:yolov4(https://drive.google.com/file/d/1cewMfusmPjYWbrnuJRuKhPMwRe_b9PaT/view)。
2)Mobilenet 预训练权重:
mobilenetv2:(https://pan.baidu.com/share/init?surl=sjixK2L9L0YgQnvfDuVTJQ,提取码:args);
mobilenetv3:(https://pan.baidu.com/share/init?surl=75wKejULuM0ZD05b9iSftg,提取码:args)。
3)在根目录下创建 weight 文件夹,将下载好的权重文件放到 weight / 目录下。
4)训练时在 config/yolov4_config.py 中设置 MODEL_TYPE。

4. 转换成自定义数据集(基于自定义数据集进行训练)

1)将自定义数据集的图片放入 JPEGImages 文件夹,将注释文件放入 Annotations 文件夹。
2)使用 xml_to_txt.py 文件将训练和测试文件列表写入 ImageSets/Main/*.txt。
3)转换数据格式:使用 utils/voc.py 或 utils/coco.py 将 pascal voc *.xml 格式(或 COCO *.json 格式)转换为 *.txt 格式(Image_path xmin0,ymin0,xmax0,ymax0,class0 xmin1,ymin1,xmax1,ymax1,class1 ...)。

训练

运行以下命令开始训练,详情参见 config / yolov4_config.py。训练时应将 DATA_TYPE 设置为 VOC 或 COCO。

CUDA_VISIBLE_DEVICES=0 nohup python -u train.py  --weight_path weight/yolov4.weights --gpu_id 0 > nohup.log 2>&1 &

它还支持 resume 训练,添加 --resume,使用以下命令即可自动加载 last.pt。

CUDA_VISIBLE_DEVICES=0 nohup python -u train.py  --weight_path weight/last.pt --gpu_id 0 > nohup.log 2>&1 &

检测

修改检测图像路径:DATA_TEST=/path/to/your/test_data# your own images。

for VOC dataset:CUDA_VISIBLE_DEVICES=0 python3 eval_voc.py --weight_path weight/best.pt --gpu_id 0 --visiual $DATA_TEST --eval --mode detfor COCO dataset:CUDA_VISIBLE_DEVICES=0 python3 eval_coco.py --weight_path weight/best.pt --gpu_id 0 --visiual $DATA_TEST --eval --mode det

结果可以在 output / 中查看,如下所示:


评估(Pascal VOC 数据集)

修改评估数据集路径:DATA_PATH=/path/to/your/test_data # your own images

for VOC dataset:CUDA_VISIBLE_DEVICES=0 python3 eval_voc.py --weight_path weight/best.pt --gpu_id 0 --visiual $DATA_TEST --eval -


评估(COCO 数据集)

修改评估数据集路径:DATA_PATH=/path/to/your/test_data # your own images

CUDA_VISIBLE_DEVICES=0 python3 eval_coco.py --weight_path weight/best.pt --gpu_id 0 --visiual $DATA_TEST --eval --mode val
type=bboxRunning per image evaluation... DONE (t=0.34s).Accumulating evaluation results... DONE (t=0.08s). Average Precision (AP) @[ IoU=0.50:0.95 | area= all | maxDets=100 ] = 0.438 Average Precision (AP) @[ IoU=0.50 | area= all | maxDets=100 ] = 0.607 Average Precision (AP) @[ IoU=0.75 | area= all | maxDets=100 ] = 0.469 Average Precision (AP) @[ IoU=0.50:0.95 | area= small | maxDets=100 ] = 0.253 Average Precision (AP) @[ IoU=0.50:0.95 | area=medium | maxDets=100 ] = 0.486 Average Precision (AP) @[ IoU=0.50:0.95 | area= large | maxDets=100 ] = 0.567 Average Recall (AR) @[ IoU=0.50:0.95 | area= all | maxDets= 1 ] = 0.342 Average Recall (AR) @[ IoU=0.50:0.95 | area= all | maxDets= 10 ] = 0.571 Average Recall (AR) @[ IoU=0.50:0.95 | area= all | maxDets=100 ] = 0.632 Average Recall (AR) @[ IoU=0.50:0.95 | area= small | maxDets=100 ] = 0.458 Average Recall (AR) @[ IoU=0.50:0.95 | area=medium | maxDets=100 ] = 0.691 Average Recall (AR) @[ IoU=0.50:0.95 | area= large | maxDets=100 ] = 0.790

可视化热图

在 val_voc.py 中设置 showatt=Ture,网络即可输出热图。

for VOC dataset:CUDA_VISIBLE_DEVICES=0 python3 eval_voc.py --weight_path weight/best.pt --gpu_id 0 --visiual $DATA_TEST --evalfor COCO dataset:CUDA_VISIBLE_DEVICES=0 python3 eval_coco.py --weight_path weight/best.pt --gpu_id 0 --visiual $DATA_TEST --eval

在 output / 中可以查看热图,如下所示:



如何根据任务需求搭配恰当类型的数据库?

在AWS推出的白皮书《进入专用数据库时代》中,介绍了8种数据库类型:关系、键值、文档、内存中、关系图、时间序列、分类账、领域宽列,并逐一分析了每种类型的优势、挑战与主要使用案例。

点击阅读原文识别二维码,申请免费获取白皮书。



© THE END 

转载请联系本公众号获得授权

投稿或寻求报道:content@jiqizhixin.com

登录查看更多
0

相关内容

【DeepMind】强化学习教程,83页ppt
专知会员服务
158+阅读 · 2020年8月7日
注意力图神经网络的小样本学习
专知会员服务
192+阅读 · 2020年7月16日
专知会员服务
32+阅读 · 2020年4月24日
专知会员服务
110+阅读 · 2020年3月12日
一网打尽!100+深度学习模型TensorFlow与Pytorch代码实现集合
【GitHub实战】Pytorch实现的小样本逼真的视频到视频转换
专知会员服务
36+阅读 · 2019年12月15日
谷歌EfficientNet缩放模型,PyTorch实现登热榜
机器学习算法与Python学习
11+阅读 · 2019年6月4日
Github项目推荐 | Pytorch TVM 扩展
AI研习社
11+阅读 · 2019年5月5日
Mask R-CNN官方实现“又”来了!基于PyTorch,训练速度是原来2倍
机器学习算法与Python学习
5+阅读 · 2018年10月26日
重磅 | PyTorch 0.4.0和官方升级指南来了!
AI前线
3+阅读 · 2018年4月25日
手把手教你搭建caffe及手写数字识别
七月在线实验室
12+阅读 · 2017年11月22日
Arxiv
5+阅读 · 2018年5月16日
Arxiv
5+阅读 · 2018年4月17日
Arxiv
8+阅读 · 2018年1月12日
VIP会员
相关资讯
谷歌EfficientNet缩放模型,PyTorch实现登热榜
机器学习算法与Python学习
11+阅读 · 2019年6月4日
Github项目推荐 | Pytorch TVM 扩展
AI研习社
11+阅读 · 2019年5月5日
Mask R-CNN官方实现“又”来了!基于PyTorch,训练速度是原来2倍
机器学习算法与Python学习
5+阅读 · 2018年10月26日
重磅 | PyTorch 0.4.0和官方升级指南来了!
AI前线
3+阅读 · 2018年4月25日
手把手教你搭建caffe及手写数字识别
七月在线实验室
12+阅读 · 2017年11月22日
Top
微信扫码咨询专知VIP会员