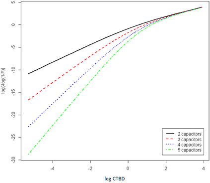
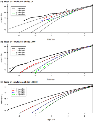
In this paper, we present a critical overview of statistical fiber bundles models. We discuss relevant aspects, like assumptions and consequences stemming from models in the literature and propose new ones. This is accomplished by concentrating on both the physical and statistical aspects of a specific load-sharing example, the breakdown (BD) for circuits of capacitors and related dielectrics. For series and parallel/series circuits (series/parallel reliability systems) of ordinary capacitors, the load-sharing rules are derived from the electrical laws. This with the BD formalism is then used to obtain the BD distribution of the circuit. The BD distribution and Gibbs measure are given for a series circuit and the size effects are illustrated for simulations of series and parallel/series circuits. This is related to the finite weakest link adjustments for the BD distribution that arise in large series/parallel reliability load-sharing systems, such as dielectric BD, from their extreme value approximations. An elementary but in-depth discussion of the physical aspects of SiO$_2$ and HfO$_2$ dielectrics and cell models is given. This is used to study a load-sharing cell model for the BD of HfO$_2$ dielectrics and the BD formalism. The latter study is based on an analysis of Kim and Lee (2004)'s data for such dielectrics. Here, several BD distributions are compared in the analysis and proportional hazard regression models are used to study the BD formalism. In addition, some areas of open research are discussed.


翻译:在本文中,我们对统计纤维捆绑模型进行批判性概述,我们讨论相关方面,如文献中模型产生的假设和后果,并提出新的假设和后果。这通过集中研究一个具体的载荷共享实例 -- -- 电容器和相关电极电路断流(BD)的物理和统计方面;对于普通电容器的系列和平行/系列电路(系列/平行可靠性系统),负载共享规则来自电法。然后,与BD正态讨论,以获得电路的BD分布。BD分布和Gibs测量尺度用于一系列电路和平行/系列电路的模拟和统计方面。这与大型电容器/离子可靠性共享系统(例如电磁电容器/平行可靠性系统)产生的BD的有限最薄弱的连接调整有关。对于SiO$2和HfO$的额外电路和细胞模型的讨论。 用于对BLE2号的正式数据共享模型和BLE2的对比性分析,用于对BLE的模型和B的模型进行一项研究。

0
下载
关闭预览

相关内容

【干货书】机器学习速查手册,135页pdf
专知会员服务
127+阅读 · 2020年11月20日
因果图,Causal Graphs,52页ppt
专知会员服务
253+阅读 · 2020年4月19日
经济学中的数据科学,Data Science in Economics,附22页pdf
专知会员服务
36+阅读 · 2020年4月1日
计算机 | ISMAR 2019等国际会议信息8条
Call4Papers
3+阅读 · 2019年3月5日
IEEE | DSC 2019诚邀稿件 (EI检索)
Call4Papers
10+阅读 · 2019年2月25日
大数据 | 顶级SCI期刊专刊/国际会议信息7条
Call4Papers
10+阅读 · 2018年12月29日
A Technical Overview of AI & ML in 2018 & Trends for 2019
待字闺中
18+阅读 · 2018年12月24日
误差反向传播——RNN
统计学习与视觉计算组
18+阅读 · 2018年9月6日
笔记 | Sentiment Analysis
黑龙江大学自然语言处理实验室
10+阅读 · 2018年5月6日
人工智能 | 国际会议/SCI期刊约稿信息9条
Call4Papers
3+阅读 · 2018年1月12日
【论文】变分推断(Variational inference)的总结
机器学习研究会
39+阅读 · 2017年11月16日
VIP会员
相关VIP内容
【干货书】机器学习速查手册,135页pdf
专知会员服务
127+阅读 · 2020年11月20日
因果图,Causal Graphs,52页ppt
专知会员服务
253+阅读 · 2020年4月19日
经济学中的数据科学,Data Science in Economics,附22页pdf
专知会员服务
36+阅读 · 2020年4月1日
相关资讯
计算机 | ISMAR 2019等国际会议信息8条
Call4Papers
3+阅读 · 2019年3月5日
IEEE | DSC 2019诚邀稿件 (EI检索)
Call4Papers
10+阅读 · 2019年2月25日
大数据 | 顶级SCI期刊专刊/国际会议信息7条
Call4Papers
10+阅读 · 2018年12月29日
A Technical Overview of AI & ML in 2018 & Trends for 2019
待字闺中
18+阅读 · 2018年12月24日
误差反向传播——RNN
统计学习与视觉计算组
18+阅读 · 2018年9月6日
笔记 | Sentiment Analysis
黑龙江大学自然语言处理实验室
10+阅读 · 2018年5月6日
人工智能 | 国际会议/SCI期刊约稿信息9条
Call4Papers
3+阅读 · 2018年1月12日
【论文】变分推断(Variational inference)的总结
机器学习研究会
39+阅读 · 2017年11月16日
Top
微信扫码咨询专知VIP会员