新知 | 过多物种的忐忑

2019 年 5 月 18 日 中科院之声

物种定界是分类学最基本的问题,传统的分类学以形态、行为等特征进行分类。但是传统分类学有一定的主观性和局限性,例如下图中的东部和西部草地鹨外观上很难区分,地域上有重叠,但是求偶时的鸣叫方式不同导致无法进行交配,所以它们是两个物种。



图1:西部草地鹨(左)和东部草地鹨(右)


在传统分类学定界存在困难时,分子分类就成为解决物种定界的一种新兴手段。分子分类学使用分子数据(主要是基因组数据),在一些数学模型和假设下,依靠遗传层面上的差异来进行物种定界。由于模型的复杂性,分子分类只能依靠计算机软件实现。常用的分子物种定界方法主要有两类。第一类是基于模型选择,对不同的分类模型进行评估。另一类是基于参数估计,通过进化过程中的重要参数来判定群体是否为独立物种。


基于贝叶斯模型选择方法的BPP软件是最为广泛使用的分子物种定界软件。多项里程碑式的工作就是通过BPP软件进行了分子物种定界。例如多年以来科学家们一直把长颈鹿当成由多个亚种组成的一个物种。2016年发表于当代生物学杂志上的研究发现,其实长颈鹿并不止一个种,而是四个独立的物种。这项工作对长颈鹿的保护与保育有重大意义。


图2:长颈鹿的四个独立物种。图片来源于当代生物学杂志。


近期一些对贝叶斯物种定界的模拟研究认为BPP软件检测到的是群体分化而非物种分化,并且当分析多基因数据时,该软件倾向于过度定界,即把地理种群认为是独立物种。我们通过数学分析确认了这一结论。我们的研究指出,在延迟物种分化模型(protracted speciation model,PSM)中,物种分化和群体分化之间的差异并不会影响到基因树和数据的产生,所以依赖这样的数据进行分析是无法区分物种分化和群体分化的。同时我们指出,虽然该模型名称为延迟物种分化模型,但其假设物种分化瞬时完成,这与自然界大多数的成种过程相悖,因而是不合理的进化模型。通过对贝叶斯模型选择渐进行为的研究和模拟测试,我们确认了当存在基因流的情况下,随着数据中基因个数增加,BPP软件更倾向于检测出物种分化,即可能认为群体是独立物种。


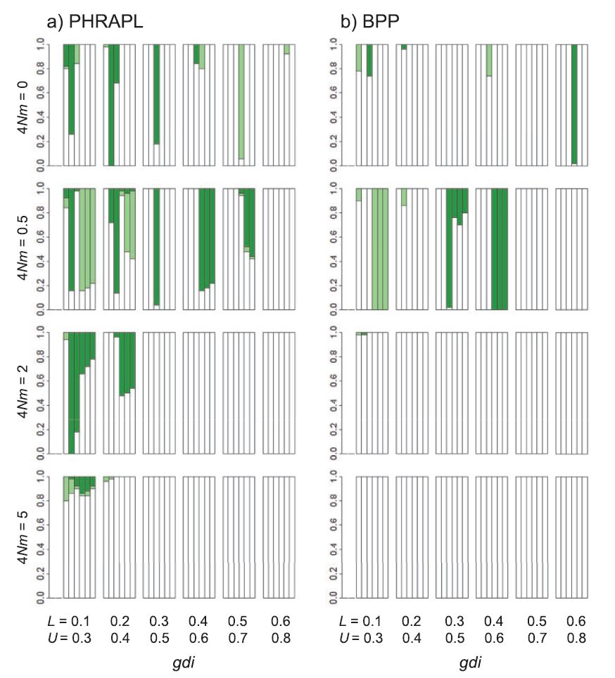
我们也对最近提出的用于进行物种定界的经验谱系分化指数(gdi)进行了讨论。在计算gdi时,需要进行参数估计。BPP软件不仅能进行贝叶斯模型选择分析(即直接进行物种定界),也能进行贝叶斯参数估计。我们的研究指出,BPP所使用的基于全似然方法的参数估计比PHRAPL使用的近似估计方法得到的结果可靠得多。下图中,每个细长条代表一组参数,针对不同参数,我们分别使用两个软件进行了144组模拟分析。从上到下,基因流的强度在增加。每个细长条中,白色代表正确定界的比例,浅绿色和深绿色都存在不同的定界不准确的情况。


图3:基于近似方法的PHRAPL和基于全似然方法的BPP软件在物种定界时的表现比较。


我们之前提到在进行分子物种定界时,可以使用模型选择方法和参数估计方法。我们的研究指出,贝叶斯模型选择方法适合于分析同域模式形成的物种和隐存物种,而使用经验准则的参数估计方法更适合于分析异域模式形成的物种。


有趣的是,对物种的错误划分可追溯到宋朝或更久之前。苏轼在《惠州一绝》中写道“罗浮山下四时春,卢橘杨梅次第新。日啖荔枝三百颗,不辞长作岭南人”。而据考证,诗中提到的卢橘(Fortunella margarita (Lour.))实际上是枇杷(Eriobotrya japonica (Thunb.) Lindl)。而事实上,枇杷的英文单词loquat就来自卢橘的粤语音译。我们以此为灵感设计了下面这幅国画。画中枇杷枝呈物种树形状,麻雀代表远缘物种,多分叉的部分代表隐存物种和进化中存在的辐射演化现象,而署名章“BPP”表明了这棵物种树的“作者”。


图4: 以本工作内容为灵感创作的国画作品


这项工作发表在生物系统学领域的权威杂志Systematic Biology上。该项工作是中国科学院数学与系统科学研究院与加州大学戴维斯分校、西雅图大学及伦敦大学合作完成。数学院朱天琪博士和海外领袖科学家杨子恒教授分别是第一作者和通讯作者。


作者朱天琪,系中国科学院数学与系统科学研究院副研究员


来源:中国科学院北京分院


温馨提示:近期,微信公众号信息流改版。每个用户可以设置 常读订阅号,这些订阅号将以大卡片的形式展示。因此,如果不想错过“中科院之声”的文章,你一定要进行以下操作:进入“中科院之声”公众号 → 点击右上角的 ··· 菜单 → 选择「设为星标」



登录查看更多
2

相关内容

 【SIGGRAPH 2020】人像阴影处理,Portrait Shadow Manipulation
专知会员服务
29+阅读 · 2020年5月19日
【学科交叉】抗生素发现的深度学习方法
专知会员服务
25+阅读 · 2020年2月23日
知识神经元网络 KNN(简介),12页pdf
专知会员服务
15+阅读 · 2019年12月25日
【机器学习课程】机器学习中的常识性问题
专知会员服务
75+阅读 · 2019年12月2日
Science:脂肪细胞外泌体对巨噬细胞发挥调节功能
外泌体之家
19+阅读 · 2019年3月7日
《常用算法之智能计算 (四) 》:遗传算法
数盟
4+阅读 · 2018年12月21日
浅谈外泌体抑制剂——鞘磷脂酶抑制剂GW4869
外泌体之家
8+阅读 · 2018年12月19日
做机器学习和AI必备的42个数学知识点
AI前线
9+阅读 · 2018年12月6日
中国古代情报工作浅析
计算机与网络安全
16+阅读 · 2018年7月11日
机器学习-我妈妈也能看懂的入门篇
深度学习世界
4+阅读 · 2018年5月16日
DA-GAN技术:计算机帮你创造奇妙“新物种”
机器学习研究会
4+阅读 · 2018年3月6日
威胁情报浅析
计算机与网络安全
8+阅读 · 2017年11月15日
Seeing What a GAN Cannot Generate
Arxiv
8+阅读 · 2019年10月24日
Arxiv
4+阅读 · 2019年4月3日
CoCoNet: A Collaborative Convolutional Network
Arxiv
6+阅读 · 2019年1月28日
Arxiv
29+阅读 · 2018年4月6日
Arxiv
15+阅读 · 2018年4月5日
VIP会员
相关资讯
Science:脂肪细胞外泌体对巨噬细胞发挥调节功能
外泌体之家
19+阅读 · 2019年3月7日
《常用算法之智能计算 (四) 》:遗传算法
数盟
4+阅读 · 2018年12月21日
浅谈外泌体抑制剂——鞘磷脂酶抑制剂GW4869
外泌体之家
8+阅读 · 2018年12月19日
做机器学习和AI必备的42个数学知识点
AI前线
9+阅读 · 2018年12月6日
中国古代情报工作浅析
计算机与网络安全
16+阅读 · 2018年7月11日
机器学习-我妈妈也能看懂的入门篇
深度学习世界
4+阅读 · 2018年5月16日
DA-GAN技术:计算机帮你创造奇妙“新物种”
机器学习研究会
4+阅读 · 2018年3月6日
威胁情报浅析
计算机与网络安全
8+阅读 · 2017年11月15日
相关论文
Seeing What a GAN Cannot Generate
Arxiv
8+阅读 · 2019年10月24日
Arxiv
4+阅读 · 2019年4月3日
CoCoNet: A Collaborative Convolutional Network
Arxiv
6+阅读 · 2019年1月28日
Arxiv
29+阅读 · 2018年4月6日
Arxiv
15+阅读 · 2018年4月5日
Top
微信扫码咨询专知VIP会员