给RepVGG填坑?其实是RepVGG2的RepOptimizer开源

2022 年 6 月 22 日 极市平台
↑ 点击 蓝字  关注极市平台

作者丨zzk
来源丨GiantPandaCV
编辑丨极市平台

极市导读

 

本工作提出将先验信息用于修改梯度数值,称为梯度重参数化,对应的优化器称为RepOptimizer。作者们着重关注VGG式的直筒模型,训练得到RepOptVGG模型,他有着高训练效率,简单直接的结构和极快的推理速度。 >>加入极市CV技术交流群,走在计算机视觉的最前沿

前言

在神经网络结构设计中,我们经常会引入一些先验知识,比如ResNet的残差结构。然而我们还是用常规的优化器去训练网络。在本工作中,我们提出将先验信息用于修改梯度数值,称为梯度重参数化,对应的优化器称为RepOptimizer。我们着重关注VGG式的直筒模型,训练得到RepOptVGG模型,他有着高训练效率,简单直接的结构和极快的推理速度。

论文链接:https://arxiv.org/abs/2205.15242

官方仓库:https://github.com/DingXiaoH/RepOptimizers

与RepVGG的区别

  1. RepVGG加入了结构先验(如1x1,identity分支),并使用常规优化器训练。而RepOptVGG则是 将这种先验知识加入到优化器实现中
  2. 尽管RepVGG在推理阶段可以把各分支融合,成为一个直筒模型。但是 其训练过程中有着多条分支,需要更多显存和训练时间。而RepOptVGG可是 真-直筒模型,从训练过程中就是一个VGG结构
  3. 我们通过定制优化器,实现了结构重参数化和梯度重参数化的等价变换,这种变换是通用的,可以拓展到更多模型

将结构先验知识引入优化器

我们注意到一个现象,在特殊情况下,每个分支包含一个线性可训练参数,加一个常量缩放值,只要该缩放值设置合理,则模型性能依旧会很高。我们将这个网络块称为Constant-Scale Linear Addition(CSLA)我们先从一个简单的CSLA示例入手,考虑一个输入,经过2个卷积分支+线性缩放,并加到一个输出中:

我们考虑等价变换到一个分支内,那等价变换对应2个规则:

初始化规则

融合的权重需为:

更新规则

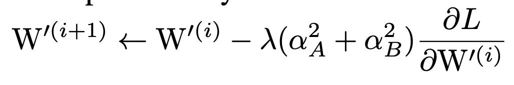
针对融合后的权重,其更新规则为:

这部分公式可以参考附录A中,里面有详细的推导一个简单的示例代码为:

import torch
import numpy as np

np.random.seed(0)
np_x = np.random.randn(1, 1, 5, 5).astype(np.float32)
np_w1 = np.random.randn(1, 1, 3, 3).astype(np.float32)
np_w2 = np.random.randn(1, 1, 3, 3).astype(np.float32)
alpha1 = 1.0
alpha2 = 1.0
lr = 0.1

conv1 = torch.nn.Conv2d(1, 1, kernel_size=3, padding=1, bias=False)
conv2 = torch.nn.Conv2d(1, 1, kernel_size=3, padding=1, bias=False)
conv1.weight.data = torch.nn.Parameter(torch.tensor(np_w1))
conv2.weight.data = torch.nn.Parameter(torch.tensor(np_w2))

torch_x = torch.tensor(np_x, requires_grad=True)
out = alpha1 * conv1(torch_x) + alpha2 * conv2(torch_x)

loss = out.sum()
loss.backward()

torch_w1_updated = conv1.weight.detach().numpy() - conv1.weight.grad.numpy() * lr
torch_w2_updated = conv2.weight.detach().numpy() - conv2.weight.grad.numpy() * lr

print(torch_w1_updated + torch_w2_updated)
import torch
import numpy as np

np.random.seed(0)
np_x = np.random.randn(1, 1, 5, 5).astype(np.float32)
np_w1 = np.random.randn(1, 1, 3, 3).astype(np.float32)
np_w2 = np.random.randn(1, 1, 3, 3).astype(np.float32)
alpha1 = 1.0
alpha2 = 1.0
lr = 0.1

fused_conv = torch.nn.Conv2d(1, 1, kernel_size=3, padding=1, bias=False)
fused_conv.weight.data = torch.nn.Parameter(torch.tensor(alpha1 * np_w1 + alpha2 * np_w2))

torch_x = torch.tensor(np_x, requires_grad=True)
out = fused_conv(torch_x)

loss = out.sum()
loss.backward()

torch_fused_w_updated = fused_conv.weight.detach().numpy() - (alpha1**2 + alpha2**2) * fused_conv.weight.grad.numpy() * lr
print(torch_fused_w_updated)

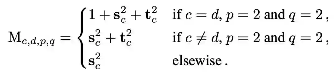
在RepOptVGG中,对应的CSLA块则是将RepVGG块中的3x3卷积,1x1卷积,bn层替换为带可学习缩放参数的3x3卷积,1x1卷积进一步拓展到多分支中,假设s,t分别是3x3卷积,1x1卷积的缩放系数,那么对应的更新规则为:

第一条公式对应输入通道==输出通道,此时一共有3个分支,分别是identity,conv3x3, conv1x1第二条公式对应输入通道!=输出通道,此时只有conv3x3, conv1x1两个分支第三条公式对应其他情况需要注意的是CSLA没有BN这种训练期间非线性算子(training-time nonlinearity),也没有非顺序性(non sequential)可训练参数,CSLA在这里只是一个描述RepOptimizer的间接工具。那么剩下一个问题,即如何确定这个缩放系数

HyperSearch

受DARTS启发,我们将CSLA中的常数缩放系数,替换成可训练参数。在一个小数据集(如CIFAR100)上进行训练,在小数据上训练完毕后,我们将这些可训练参数固定为常数。具体的训练设置可参考论文

实验结果

实验效果看上去非常不错,训练中没有多分支,可训练的batchsize也能增大,模型吞吐量也提升不少。在之前RepVGG中,不少人吐槽量化困难,那么在RepOptVGG下,这种直筒模型对于量化十分友好:

代码简单走读

我们主要看 repoptvgg.py 这个文件,核心类是 RepVGGOptimizerreinitialize 方法中,它做的就是repvgg的工作,将1x1卷积权重和identity分支给融到3x3卷积中:

if len(scales) == 2:
    conv3x3.weight.data = conv3x3.weight * scales[1].view(-1, 1, 1, 1) \
                          + F.pad(kernel_1x1.weight, [1, 1, 1, 1]) * scales[0].view(-1, 1, 1, 1)
else:
    assert len(scales) == 3
    assert in_channels == out_channels
    identity = torch.from_numpy(np.eye(out_channels, dtype=np.float32).reshape(out_channels, out_channels, 1, 1))
    conv3x3.weight.data = conv3x3.weight * scales[2].view(-1, 1, 1, 1) + F.pad(kernel_1x1.weight, [1, 1, 1, 1]) * scales[1].view(-1, 1, 1, 1)
    if use_identity_scales:     # You may initialize the imaginary CSLA block with the trained identity_scale values. Makes almost no difference.
        identity_scale_weight = scales[0]
        conv3x3.weight.data += F.pad(identity * identity_scale_weight.view(-1, 1, 1, 1), [1, 1, 1, 1])
    else:
        conv3x3.weight.data += F.pad(identity, [1, 1, 1, 1])

然后我们再看下GradientMask生成逻辑,如果只有conv3x3和conv1x1两个分支,根据前面的CSLA等价变换规则,conv3x3的mask对应为:

mask = torch.ones_like(para) * (scales[1] ** 2).view(-1, 1, 1, 1)

而conv1x1的mask,需要乘上对应缩放系数的平方,并加到conv3x3中间:

mask[:, :, 1:2, 1:2] += torch.ones(para.shape[0], para.shape[1], 1, 1) * (scales[0] ** 2).view(-1, 1, 1, 1)

如果还有Identity分支,我们则需要在对角线上加上1.0(Identity分支没有可学习缩放系数)

mask[ids, ids, 1:2, 1:2] += 1.0

如果有不明白Identity分支为什么对应的是对角线,可以参考下笔者的图解RepVGG

总结

这篇文章出来有段时间了,但是好像没有很多人关注。在我看来这是个实用性很高的工作,解决了上一代RepVGG留下的小坑,真正实现了训练时完全直筒的模型,并且对量化,剪枝友好,十分适合实际部署。


公众号后台回复“项目实践”获取50+CV项目实践机会~

△点击卡片关注极市平台,获取 最新CV干货
极市干货
最新数据集资源: 医学图像开源数据集汇总
实操教程 Pytorch - 弹性训练原理分析《CUDA C 编程指南》导读
极视角动态: 极视角作为重点项目入选「2022青岛十大资本青睐企业」榜单! 极视角发布EQP激励计划,招募优质算法团队展开多维度生态合作!


点击阅读原文进入CV社区

收获更多技术干货

登录查看更多
1

相关内容

专知会员服务
26+阅读 · 2021年5月23日
专知会员服务
15+阅读 · 2021年5月12日
我手撸了一个乞丐版深度学习框架,已开源!
夕小瑶的卖萌屋
0+阅读 · 2022年6月13日
图解RMNet 重参数化新方法
极市平台
1+阅读 · 2021年11月28日
ResNet50网络结构图及结构详解
极市平台
3+阅读 · 2021年11月18日
实践教程|YOLOP ONNXRuntime C++工程化记录
极市平台
5+阅读 · 2021年11月8日
NAS发展史:从放弃到入门
极市平台
20+阅读 · 2019年8月31日
PyTorch模型训练特征图可视化(TensorboardX)
极市平台
33+阅读 · 2019年6月29日
实战 | 基于深度学习模型VGG的图像识别(附代码)
七月在线实验室
13+阅读 · 2018年3月30日
[深度学习] AlexNet,GoogLeNet,VGG,ResNet简化版
机器学习和数学
20+阅读 · 2017年10月13日
国家自然科学基金
0+阅读 · 2015年12月31日
国家自然科学基金
0+阅读 · 2014年12月31日
国家自然科学基金
4+阅读 · 2014年12月31日
国家自然科学基金
0+阅读 · 2013年12月31日
国家自然科学基金
0+阅读 · 2013年12月31日
国家自然科学基金
0+阅读 · 2012年12月31日
国家自然科学基金
0+阅读 · 2012年12月31日
国家自然科学基金
0+阅读 · 2012年12月31日
Arxiv
0+阅读 · 2022年8月31日
Arxiv
0+阅读 · 2022年8月30日
Arxiv
13+阅读 · 2021年5月25日
VIP会员
相关资讯
我手撸了一个乞丐版深度学习框架,已开源!
夕小瑶的卖萌屋
0+阅读 · 2022年6月13日
图解RMNet 重参数化新方法
极市平台
1+阅读 · 2021年11月28日
ResNet50网络结构图及结构详解
极市平台
3+阅读 · 2021年11月18日
实践教程|YOLOP ONNXRuntime C++工程化记录
极市平台
5+阅读 · 2021年11月8日
NAS发展史:从放弃到入门
极市平台
20+阅读 · 2019年8月31日
PyTorch模型训练特征图可视化(TensorboardX)
极市平台
33+阅读 · 2019年6月29日
实战 | 基于深度学习模型VGG的图像识别(附代码)
七月在线实验室
13+阅读 · 2018年3月30日
[深度学习] AlexNet,GoogLeNet,VGG,ResNet简化版
机器学习和数学
20+阅读 · 2017年10月13日
相关基金
国家自然科学基金
0+阅读 · 2015年12月31日
国家自然科学基金
0+阅读 · 2014年12月31日
国家自然科学基金
4+阅读 · 2014年12月31日
国家自然科学基金
0+阅读 · 2013年12月31日
国家自然科学基金
0+阅读 · 2013年12月31日
国家自然科学基金
0+阅读 · 2012年12月31日
国家自然科学基金
0+阅读 · 2012年12月31日
国家自然科学基金
0+阅读 · 2012年12月31日
Top
微信扫码咨询专知VIP会员