PyTorch中的傅立叶卷积:通过FFT有效计算大核卷积的数学原理和代码实现

2020 年 11 月 19 日 极市平台
↑ 点击 蓝字  关注极市平台

作者丨Frank Odom
来源丨DeepHub IMBA
编辑丨极市平台

极市导读

 

本篇文章从卷积的定理介绍、Pytorch的实现以及测试方面对傅立叶卷积提供了详尽的介绍,文章在Pytorch的实现部分进行了非常详细的讲解并附有相关的代码。文末最后还附有作者对卷积与互相关证明。>>加入极市CV技术交流群,走在计算机视觉的最前沿


卷积

卷积在数据分析中无处不在。几十年来,它们已用于信号和图像处理。最近,它们已成为现代神经网络的重要组成部分。

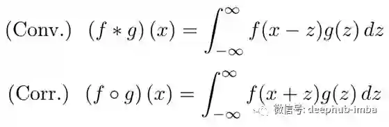
在数学上,卷积表示为:

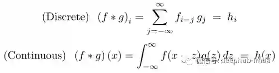
尽管离散卷积在计算应用程序中更为常见,但由于本文使用连续变量证明卷积定理(如下所述)要容易得多,因此在本文的大部分内容中,我将使用连续形式。之后,我们将返回离散情况,并使用傅立叶变换在PyTorch中实现它。离散卷积可以看作是连续卷积的近似值,其中连续函数在规则网格上离散化。因此,我们不会为离散情况重新证明卷积定理。


卷积定理

在数学上,卷积定理可以表示为:

连续傅里叶变换的位置(最大归一化常数):

换句话说,位置空间的卷积等价于频率空间的直接乘法。这个想法是相当不直观的,但证明卷积定理是惊人的容易对于连续的情况。首先把方程的左边写出来。

现在改变积分的顺序,替换变量(x = y + z),并分离两个被积函数。

我们为什么要关心所有这些?因为快速傅立叶变换的算法复杂度比卷积低。直接卷积的复杂度为O(n²),因为我们将g中的每个元素传递给f中的每个元素。快速傅立叶变换可以在O(n log n)的时间内计算出来。当输入数组很大时,它们比卷积要快得多。在这些情况下,我们可以使用卷积定理来计算频率空间中的卷积,然后执行傅立叶逆变换以返回到位置空间。


当输入较小时(例如3x3卷积内核),直接卷积仍然更快。在机器学习应用程序中,使用较小的内核大小更为常见,因此PyTorch和Tensorflow之类的深度学习库仅提供直接卷积的实现。但是,在现实世界中,有很多使用大内核的用例,其中傅立叶卷积更为有效。


PyTorch实现

现在,我将演示如何在PyTorch中实现傅立叶卷积函数。它应该模仿torch.nn.functional.convNd的功能,并在实现中利用FFT,而无需用户做任何额外的工作。这样,它应该接受三个张量(信号,内核和可选的偏差),并填充以应用于输入。从概念上讲,此功能的内部工作原理是:

 def fft_conv(
    signal: Tensor, kernel: Tensor, bias: Tensor = None, padding: int = 0,
 ) -> Tensor:
    # 1. Pad the input signal & kernel tensors
    # 2. Compute FFT for both signal & kernel
    # 3. Multiply the transformed Tensors together
    # 4. Compute inverse FFT
    # 5. Add bias and return

让我们根据上面显示的操作顺序逐步构建FFT卷积。在此示例中,我将构建一个1D傅立叶卷积,但是将其扩展到2D和3D卷积很简单。最后我们也会提供github的代码库。在该存储库中,我实现了通用的N维傅立叶卷积方法。


1  填充输入阵列

我们需要确保填充后信号和内核的大小相同。将初始填充应用于信号,然后调整填充以使内核匹配。

 # 1. Pad the input signal & kernel tensors
 signal = f.pad(signal, [padding, padding])
 kernel_padding = [0, signal.size(-1) - kernel.size(-1)]
 padded_kernel = f.pad(kernel, kernel_padding)

注意,我只在一侧填充内核。我们希望原始内核位于填充数组的左侧,以便它与信号数组的开始对齐。


2  计算傅立叶变换

这非常容易,因为在PyTorch中已经实现了N维FFT。我们只需使用内置函数,然后沿每个张量的最后一个维度计算FFT。

 # 2. Perform fourier convolution
 signal_fr = rfftn(signal, dim=-1)
 kernel_fr = rfftn(padded_kernel, dim=-1)


3  乘以变换后的张量

这是我们功能中最棘手的部分。这有两个原因。

(1)PyTorch卷积在多维张量上运行,因此我们的信号和内核张量实际上是三维的。从PyTorch文档中的该方程式,我们看到矩阵乘法是在前两个维度上执行的(不包括偏差项):

我们需要包括此矩阵乘法以及转换后的维度上的直接乘法。


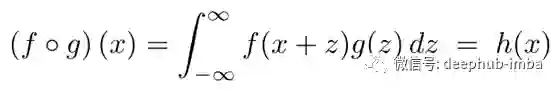
(2)在官方文档中所示,PyTorch实际上实现了互相关方法而不是卷积。(TensorFlow和其他深度学习库也是如此。)互相关与卷积密切相关,但有一个重要的符号变化:

与卷积相比,这有效地逆转了核函数(g)的方向。我们不是手动翻转核函数,而是通过求傅里叶空间中核函数的复共轭来修正。因为我们不需要创建一个全新的张量,所以这大大加快了存储效率。(本文末尾的附录中包含了如何/为什么这样做的简要演示。)

 # 3. Multiply the transformed matrices
 
 def complex_matmul(a: Tensor, b: Tensor) -> Tensor:
    """Multiplies two complex-valued tensors."""
    # Scalar matrix multiplication of two tensors, over only the first two dimensions.
    # Dimensions 3 and higher will have the same shape after multiplication.
    scalar_matmul = partial(torch.einsum, "ab..., cb... -> ac...")
 
    # Compute the real and imaginary parts independently, then manually insert them
    # into the output Tensor. This is fairly hacky but necessary for PyTorch 1.7.0,
    # because Autograd is not enabled for complex matrix operations yet. Not exactly
    # idiomatic PyTorch code, but it should work for all future versions (>= 1.7.0).
    real = scalar_matmul(a.real, b.real) - scalar_matmul(a.imag, b.imag)
    imag = scalar_matmul(a.imag, b.real) + scalar_matmul(a.real, b.imag)
    c = torch.zeros(real.shape, dtype=torch.complex64)
    c.real, c.imag = real, imag
 
    return c
 
 
 # Conjugate the kernel for cross-correlation
 kernel_fr.imag *= -1
 output_fr = complex_matmul(signal_fr, kernel_fr)

PyTorch 1.7改进了对复数的支持,但是autograd中还不支持对复数值张量的许多操作。现在,我们必须编写自己的complex_matmul方法作为补丁。虽然不是最佳的解决方案,但它目前可以工作。


4  计算逆变换

使用torch.irfftn可以很容易地计算出逆变换。然后,裁剪出多余的数组填充。

 # 4. Compute inverse FFT, and remove extra padded values
 output = irfftn(output_fr, dim=-1)
 output = output[:, :, :signal.size(-1) - kernel.size(-1) + 1]


5 添加偏置并返回

添加偏置项也非常容易。请记住,偏置对输出阵列中的每个通道都有一个元素,并进行相应的整形。

 # 5. Optionally, add a bias term before returning.
 if bias is not None:
    output += bias.view(1, -1, 1)


放在一起

为了完整起见,让我们将所有这些代码段编译为一个内聚函数。

 def fft_conv_1d(
    signal: Tensor, kernel: Tensor, bias: Tensor = None, padding: int = 0,
 ) -> Tensor:
    """
    Args:
        signal: (Tensor) Input tensor to be convolved with the kernel.
        kernel: (Tensor) Convolution kernel.
        bias: (Optional, Tensor) Bias tensor to add to the output.
        padding: (int) Number of zero samples to pad the input on the last dimension.
    Returns:
        (Tensor) Convolved tensor
    """
    # 1. Pad the input signal & kernel tensors
    signal = f.pad(signal, [padding, padding])
    kernel_padding = [0, signal.size(-1) - kernel.size(-1)]
    padded_kernel = f.pad(kernel, kernel_padding)
 
    # 2. Perform fourier convolution
    signal_fr = rfftn(signal, dim=-1)
    kernel_fr = rfftn(padded_kernel, dim=-1)
 
    # 3. Multiply the transformed matrices
    kernel_fr.imag *= -1
    output_fr = complex_matmul(signal_fr, kernel_fr)
 
    # 4. Compute inverse FFT, and remove extra padded values
    output = irfftn(output_fr, dim=-1)
    output = output[:, :, :signal.size(-1) - kernel.size(-1) + 1]
 
    # 5. Optionally, add a bias term before returning.
    if bias is not None:
        output += bias.view(1, -1, 1)
 
    return output


测试

最后,我们将确认这在数值上等于使用torch.nn.functional.conv1d进行直接一维卷积。我们为所有输入构造随机张量,并测量输出值的相对差异。

 import torch
 import torch.nn.functional as f
 
 
 torch.manual_seed(1234)
 kernel = torch.randn(2, 3, 1025)
 signal = torch.randn(3, 3, 4096)
 bias = torch.randn(2)
 
 y0 = f.conv1d(signal, kernel, bias=bias, padding=512)
 y1 = fft_conv_1d(signal, kernel, bias=bias, padding=512)
 
 abs_error = torch.abs(y0 - y1)
 print(f'\nAbs Error Mean: {abs_error.mean():.3E}')
 print(f'Abs Error Std Dev: {abs_error.std():.3E}')
 
 # Abs Error Mean: 1.272E-05
 # Abs Error Std Dev: 9.937E-06

每个元素相差约1e-5-相当准确,考虑到我们使用的是32位精度!我们还可以执行一个快速基准测试来衡量每种方法的速度:

from timeit import timeit


direct_time = timeit(
"f.conv1d(signal, kernel, bias=bias, padding=512)",
globals=locals(),
number=100
) / 100
fourier_time = timeit(
"fft_conv_1d(signal, kernel, bias=bias, padding=512)",
globals=locals(),
number=100
) / 100
print(f"Direct time: {direct_time:.3E} s")
print(f"Fourier time: {fourier_time:.3E} s")

# Direct time: 1.523E-02 s
# Fourier time: 1.149E-03 s

所测得的基准将随着您所使用的机器而发生重大变化。(我正在使用非常老的Macbook Pro进行测试。)对于1025的内核大小,傅立叶卷积似乎要快10倍以上。


总结

本片文章对傅立叶卷积提供了详尽的介绍。我认为这是一个很酷的技巧,并且可以在许多实际应用中使用它。我也很喜欢数学,因此很高兴看到编程和纯数学的这种交汇。欢迎并鼓励所有评论和建设性批评。

本文的代码 https://github.com/fkodom/fft-conv-pytorch


附录

卷积与互相关

在本文前面,我们通过在傅立叶空间中获取内核的复共轭来实现互相关。这有效地扭转了内核的方向,现在我想证明为什么。首先,请记住卷积和互相关的公式:

然后,让我们看一下内核的傅里叶变换(g):

取G的复共轭。请注意,内核g(x)是实值,因此不受共轭影响。然后,更改变量(y = -x)并简化表达式。

因此,我们有效地改变了内核的方向!

文章地址:https://towardsdatascience.com/fourier-convolutions-in-pytorch-4cbd23c70005


推荐阅读



    添加极市小助手微信(ID : cvmart2),备注:姓名-学校/公司-研究方向-城市(如:小极-北大-目标检测-深圳),即可申请加入极市目标检测/图像分割/工业检测/人脸/医学影像/3D/SLAM/自动驾驶/超分辨率/姿态估计/ReID/GAN/图像增强/OCR/视频理解等技术交流群:月大咖直播分享、真实项目需求对接、求职内推、算法竞赛、干货资讯汇总、与 10000+来自港科大、北大、清华、中科院、CMU、腾讯、百度等名校名企视觉开发者互动交流~

    △长按添加极市小助手

    △长按关注极市平台,获取 最新CV干货

    觉得有用麻烦给个在看啦~   
    登录查看更多
    0

    相关内容

    在数学(特别是功能分析)中,卷积是对两个函数(f和g)的数学运算,产生三个函数,表示第一个函数的形状如何被另一个函数修改。 卷积一词既指结果函数,又指计算结果的过程。 它定义为两个函数的乘积在一个函数反转和移位后的积分。 并针对所有shift值评估积分,从而生成卷积函数。
    专知会员服务
    137+阅读 · 2020年8月24日
    【CVPR2020】图神经网络中的几何原理连接
    专知会员服务
    57+阅读 · 2020年4月8日
    干货书《数据科学数学系基础》2020最新版,266页pdf
    专知会员服务
    324+阅读 · 2020年3月23日
    【图神经网络(GNN)结构化数据分析】
    专知会员服务
    117+阅读 · 2020年3月22日
    机器学习速查手册,135页pdf
    专知会员服务
    345+阅读 · 2020年3月15日
    《深度学习》圣经花书的数学推导、原理与Python代码实现
    【ICLR-2020】网络反卷积,NETWORK DECONVOLUTION
    专知会员服务
    39+阅读 · 2020年2月21日
    手把手解释实现频谱图卷积
    AI科技评论
    9+阅读 · 2019年9月9日
    卷积神经网络数学原理解析
    算法与数学之美
    20+阅读 · 2019年8月23日
    深入卷积神经网络背后的数学原理
    人工智能学家
    10+阅读 · 2019年4月26日
    卷积神经网络四种卷积类型
    炼数成金订阅号
    18+阅读 · 2019年4月16日
    40 行 Python 代码,实现卷积特征可视化
    Python开发者
    3+阅读 · 2019年2月13日
    40行Python代码,实现卷积特征可视化
    机器之心
    5+阅读 · 2019年1月31日
    什么是深度学习的卷积?
    论智
    18+阅读 · 2018年8月14日
    【干货】使用Pytorch实现卷积神经网络
    专知
    13+阅读 · 2018年5月12日
    Arxiv
    19+阅读 · 2020年7月13日
    Learning in the Frequency Domain
    Arxiv
    11+阅读 · 2020年3月12日
    Geometric Graph Convolutional Neural Networks
    Arxiv
    10+阅读 · 2019年9月11日
    Self-Attention Graph Pooling
    Arxiv
    5+阅读 · 2019年4月17日
    Arxiv
    16+阅读 · 2019年4月4日
    Simplifying Graph Convolutional Networks
    Arxiv
    12+阅读 · 2019年2月19日
    Arxiv
    12+阅读 · 2018年9月15日
    Arxiv
    19+阅读 · 2018年6月27日
    VIP会员
    相关VIP内容
    专知会员服务
    137+阅读 · 2020年8月24日
    【CVPR2020】图神经网络中的几何原理连接
    专知会员服务
    57+阅读 · 2020年4月8日
    干货书《数据科学数学系基础》2020最新版,266页pdf
    专知会员服务
    324+阅读 · 2020年3月23日
    【图神经网络(GNN)结构化数据分析】
    专知会员服务
    117+阅读 · 2020年3月22日
    机器学习速查手册,135页pdf
    专知会员服务
    345+阅读 · 2020年3月15日
    《深度学习》圣经花书的数学推导、原理与Python代码实现
    【ICLR-2020】网络反卷积,NETWORK DECONVOLUTION
    专知会员服务
    39+阅读 · 2020年2月21日
    相关资讯
    手把手解释实现频谱图卷积
    AI科技评论
    9+阅读 · 2019年9月9日
    卷积神经网络数学原理解析
    算法与数学之美
    20+阅读 · 2019年8月23日
    深入卷积神经网络背后的数学原理
    人工智能学家
    10+阅读 · 2019年4月26日
    卷积神经网络四种卷积类型
    炼数成金订阅号
    18+阅读 · 2019年4月16日
    40 行 Python 代码,实现卷积特征可视化
    Python开发者
    3+阅读 · 2019年2月13日
    40行Python代码,实现卷积特征可视化
    机器之心
    5+阅读 · 2019年1月31日
    什么是深度学习的卷积?
    论智
    18+阅读 · 2018年8月14日
    【干货】使用Pytorch实现卷积神经网络
    专知
    13+阅读 · 2018年5月12日
    相关论文
    Arxiv
    19+阅读 · 2020年7月13日
    Learning in the Frequency Domain
    Arxiv
    11+阅读 · 2020年3月12日
    Geometric Graph Convolutional Neural Networks
    Arxiv
    10+阅读 · 2019年9月11日
    Self-Attention Graph Pooling
    Arxiv
    5+阅读 · 2019年4月17日
    Arxiv
    16+阅读 · 2019年4月4日
    Simplifying Graph Convolutional Networks
    Arxiv
    12+阅读 · 2019年2月19日
    Arxiv
    12+阅读 · 2018年9月15日
    Arxiv
    19+阅读 · 2018年6月27日
    Top
    微信扫码咨询专知VIP会员