目前最强判别能力的深度人脸识别(文末附有源码)

2019 年 9 月 12 日 计算机视觉战队

CVPR2019已经告一段落,但是好的文献依然值得慢慢去品味,值得深入阅读去体会作者的意图,从中学习其精髓,去发现更多的创新点。今天为大家推荐一篇关于人脸识别的文献,主要提出了一个更具有判别能力的人脸识别模型,有兴趣的您可以和我们一起来学习。



导读利用深度卷积神经网络进行大规模人脸识别的特征学习面临的主要挑战之一:设计合适的增强识别能力的损失函数。在欧几里得空间中,中心损失计算深度特征与它们的响应类中心之间的距离,以实现类内紧致性。SphereFace假设最后全连接层中的线性变换矩阵可以作为角空间中类中心的表示,并以乘法的方式惩罚深度特征与其对应权值之间的夹角。最近,一个流行的研究路线是合并边的既定损失函数,以便最大限度地模拟人脸类的可分性。


今天要分享的这篇,主要提出了一种additive angular边缘损失(ArcFace)用于人脸识别。由于与超球面上的测地线距离精确对应。所提出的ArcFace具有清晰的几何解释,可以说是对所有最近最先进的人脸识别基准的最广泛的实验评估,包括一个新的具有万亿个配对级别的大型图像数据库和一个大规模的视频数据集。最终ArcFace始终优于最先进的技术,并且可以很容易地在可忽略的计算开销上实现。

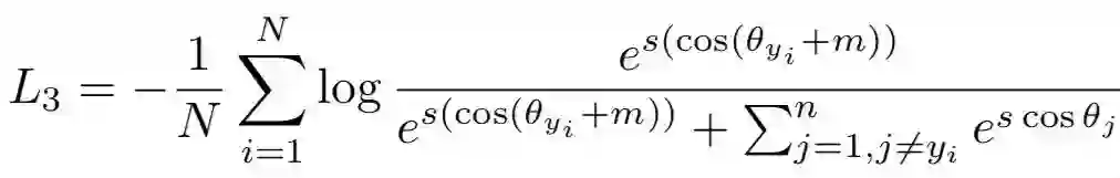
为了提高类内紧致性和类间差异性,考虑了四种测地距离约束。(A)Margin-Loss:在样品与中心点之间插入一个测地线距离;(B)Intra-Loss:缩小样本与对应中心之间的测地线距离;(C)Inter-Loss:增加不同中心之间的测地线距离;(D)Triplet-Loss:在三重样本之间插入一个测地线距离。为了提高人脸识别模型的识别能力,提出了一种与(A)中测地距离Margin惩罚完全对应的additive angular边缘损失(ArcFace)。大量的实验结果表明,(A)策略是最有效的。

如上图所示,DCNN特性与最后一个全连接层之间的点积等于特征和权重归一化后的余弦距离。利用反余弦函数来计算当前特征与目标权重之间的角度。然后,在目标角上加入一个additive angular余量,再通过余弦函数得到目标Logit。然后用一个固定的特征范数重新确定所有的逻辑,随后的步骤与Softmax损失中的步骤完全相同。

提出的新方法

ArcFace

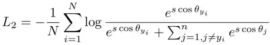
最广泛使用的分类损失函数Softmax损失如下:

Softmax并没有明确的将特征优化成正样本能够有更高的相似度,负样本能够有更低的相似度,也就是说并没有扩大决策边界。

提出的算法伪代码步骤如下:

在权重归一化之后,Loss只跟特征向量和权重之间的角度有关了,如下:

由于嵌入特征分布在超球面上的每个特征中心周围,在xi和Wyi之间增加了一个附加的角余量惩罚m,以同时增强类内紧性和类间离散性。由于所提出的additive angular余量与归一化超球面中的测地距离边缘惩罚相等,将该方法命名为ArcFace。

从包含约1500幅图像/类样本的8个不同身份中选取人脸图像,分别用Softmax和ArcFace损失训练二维特征嵌入网络。如下图所示,Softmax损失提供了大致可分离的特征嵌入,但在决策边界上产生了明显的模糊性,而提出的ArcFace损失可以明显地加强最近类之间的差距。

Comparison with SphereFace and CosFace

在上图(b)中,绘制了SphereFace、ArcFace和CosFace的目标Logit曲线,并在它们的最佳边距设置下进行了绘制,只在[20°,100°]内显示这些目标Logit曲线,因为Wyi和Xi之间的角度从大约90°(随机初始化)开始,在弧形面训练期间结束在30°左右,如上图(a)所示。直观地说,目标Logit曲线中有三个影响性能的因素,即起始点、终点和斜率。

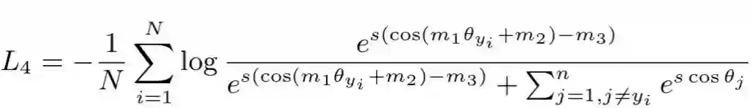
通过结合所有的边缘惩罚,实现了SphereFace,ArcFace和CosFace在一个以m1,m2和m3为超参数的统一框架中。

如上图(b)所示,结合上述所有的移动边距(cos(m1θ + m2)−m3),可以很容易地得到其他一些具有高性能的目标Logit曲线。

几何差异尽管ArcFace和以前的工作有数值上的相似之处,但由于角边缘与测地线距离有着精确的对应关系,所以所提出的additive angular边缘具有更好的几何属性。如下图所示,比较了二进制分类情况下的决策边界。所提出的ArcFace在整个区间内具有一个恒定的线性角边缘。相反,SphereFace和CosFace只有一个非线性角边缘。

Comparison with Other Losse

其他损失函数可以根据特征和权向量的角度表示来设计。例如,可以设计一个损失来加强超球面上类内紧致性和类间差异。如第一幅图所示,与其他三个损失进行了比较。

类内损失的目的是通过减小样本与ground truth中心之间的角度/弧来改善类内致密性。

类间损失的目标是通过增加不同中心之间的角度/弧度来增强类内的差异:

实验及结果分析


数据集

在下表中,首先使用ResNet 50探索CASIA数据集上ArcFace的角度边距设置,在实验中观察到的最佳边缘是0.5。

此外,ArcFace在测试集上比Triplet有更加明显的边缘,如下图所示:

在下图中,通过简单的矩阵划分演示了并行加速的主要计算步骤,初学者可以很容易地掌握和再现这些步骤:

简单矩阵划分并行计算。设置:RESNET 50,批次大小8*64,特征维度512,浮点为32,标识号为100万,GPU 8*1080ti(11 GB)。通讯费用:1MB(特征x),训练速度:800个样本/秒。

END

如果想加入我们“计算机视觉战队”,请扫二维码加入学习群。计算机视觉战队主要涉及机器学习、深度学习等领域,由来自于各校的硕博研究生组成的团队,主要致力于人脸检测、人脸识别,多目标检测、目标跟踪、图像分割等研究方向。

我们开创一段时间的“计算机视觉协会”知识星球,也得到很多同学的认可,我们定时会推送实践型内容与大家分享,在星球里的同学可以随时提问,随时提需求,我们都会及时给予回复及给出对应的答复。

微信学习讨论群也可以加入,我们会第一时间在该些群里预告!

论文地址:https://arxiv.org/pdf/1801.07698.pdf

源码:https://github.com/deepinsight/insightface/tree/master/recognitio

登录查看更多
0

相关内容

人脸识别,特指利用分析比较人脸视觉特征信息进行身份鉴别的计算机技术。广义的人脸识别实际包括构建人脸识别系统的一系列相关技术,包括人脸图像采集、人脸定位、人脸识别预处理、身份确认以及身份查找等;而狭义的人脸识别特指通过人脸进行身份确认或者身份查找的技术或系统。人脸识别是一项热门的计算机技术研究领域,它属于生物特征识别技术,是对生物体(一般特指人)本身的生物特征来区分生物体个体。生物特征识别技术所研究的生物特征包括脸、指纹、手掌纹、虹膜、视网膜、声音(语音)、体形、个人习惯(例如敲击键盘的力度和频率、签字)等...
【CVPR2020-北京大学】自适应间隔损失的提升小样本学习
专知会员服务
85+阅读 · 2020年6月9日
【CVPR 2020-商汤】8比特数值也能训练卷积神经网络模型
专知会员服务
26+阅读 · 2020年5月7日
【CVPR2020-港中文】 图像识别中的自注意力探索
专知会员服务
56+阅读 · 2020年4月29日
[CVPR 2020-港中文-MIT] 神经架构搜索鲁棒性
专知会员服务
26+阅读 · 2020年4月7日
必读的10篇 CVPR 2019【生成对抗网络】相关论文和代码
专知会员服务
33+阅读 · 2020年1月10日
干货 | 视频显著性目标检测(文末附有完整源码)
计算机视觉战队
38+阅读 · 2019年9月3日
局部人脸识别的动态特征匹配(文末附文章及源码地址)
计算机视觉战队
9+阅读 · 2019年9月1日
CVPR 19系列2 | 强判别能力的深度人脸识别(文末附有源码)
再谈人脸识别损失函数综述
人工智能前沿讲习班
14+阅读 · 2019年5月7日
判别特征的学习方法用于人脸识别(文末源码)
计算机视觉战队
7+阅读 · 2019年3月28日
人脸识别损失函数综述(附开源实现)
极市平台
29+阅读 · 2019年3月12日
计算机视觉领域最全汇总
极市平台
6+阅读 · 2018年9月4日
深度剖析卷积神经网络
云栖社区
7+阅读 · 2018年5月27日
中国团以98%精度夺得MegaFace人脸识别冠军(开源)
全球人工智能
5+阅读 · 2018年3月12日
SepNE: Bringing Separability to Network Embedding
Arxiv
3+阅读 · 2019年2月26日
Arxiv
7+阅读 · 2018年3月12日
Arxiv
11+阅读 · 2018年1月18日
Arxiv
3+阅读 · 2017年11月20日
VIP会员
相关资讯
干货 | 视频显著性目标检测(文末附有完整源码)
计算机视觉战队
38+阅读 · 2019年9月3日
局部人脸识别的动态特征匹配(文末附文章及源码地址)
计算机视觉战队
9+阅读 · 2019年9月1日
CVPR 19系列2 | 强判别能力的深度人脸识别(文末附有源码)
再谈人脸识别损失函数综述
人工智能前沿讲习班
14+阅读 · 2019年5月7日
判别特征的学习方法用于人脸识别(文末源码)
计算机视觉战队
7+阅读 · 2019年3月28日
人脸识别损失函数综述(附开源实现)
极市平台
29+阅读 · 2019年3月12日
计算机视觉领域最全汇总
极市平台
6+阅读 · 2018年9月4日
深度剖析卷积神经网络
云栖社区
7+阅读 · 2018年5月27日
中国团以98%精度夺得MegaFace人脸识别冠军(开源)
全球人工智能
5+阅读 · 2018年3月12日
Top
微信扫码咨询专知VIP会员