【机器视觉】最全综述 | 图像目标检测

2019 年 7 月 6 日 产业智能官

原创: 刘畅 计算机视觉life 

前言

图片分类任务我们已经熟悉了,就是算法对其中的对象进行分类。而今天我们要了解构建神经网络的另一个问题,即目标检测问题。这意味着,我们不仅要用算法判断图片中是不是一辆汽车, 还要在图片中标记出它的位置, 用边框或红色方框把汽车圈起来, 这就是目标检测问题。其中“定位”的意思是判断汽车在图片中的具体位置。近几年来,目标检测算法取得了很大的突破。比较流行的算法可以分为两类,一类是基于Region Proposal的R-CNN系算法(R-CNN,Fast R-CNN, Faster R-CNN等),它们是two-stage的,需要先算法产生目标候选框,也就是目标位置,然后再对候选框做分类与回归。而另一类是Yolo,SSD这类one-stage算法,其仅仅使用一个卷积神经网络CNN直接预测不同目标的类别与位置。第一类方法是准确度高一些,但是速度慢,但是第二类算法是速度快,但是准确性要低一些。这可以在下图中看到。
本文对常见目标检测算法进行简要综述,并最后总结了目标检测算法方向的一些大V方便大家学习查看。

1. R-CNN

目标检测有两个主要任务:物体分类和定位,为了完成这两个任务,R-CNN借鉴了滑动窗口思想, 采用对区域进行识别的方案,具体是:

  1. 输入一张图片,通过指定算法从图片中提取 2000 个类别独立的候选区域(可能目标区域)

  2. 对于每个候选区域利用卷积神经网络来获取一个特征向量

  3. 对于每个区域相应的特征向量,利用支持向量机SVM 进行分类,并通过一个bounding box regression调整目标包围框的大小 

1.1. 提取候选区域

R-CNN目标检测首先需要获取2000个目标候选区域,能够生成候选区域的方法很多,比如:

  1. objectness

  2. selective search

  3. category-independen object proposals

  4. constrained parametric min-cuts(CPMC)

  5. multi-scale combinatorial grouping

  6. Ciresan R-CNN 采用的是 Selective Search 算法。简单来说就是通过一些传统图像处理方法将图像分成很多小尺寸区域,然后根据小尺寸区域的特征合并小尺寸得到大尺寸区域,以实现候选区域的选取。

1.2. 提取特征向量

对于上述获取的候选区域,需进一步使用CNN提取对应的特征向量,作者使用模型AlexNet (2012)。(需要注意的是 Alexnet 的输入图像大小是 227x227,而通过 Selective Search 产生的候选区域大小不一,为了与 Alexnet 兼容,R-CNN 采用了非常暴力的手段,那就是无视候选区域的大小和形状,统一变换到 227x227 的尺寸)。那么,该网络是如何训练的呢?训练过程如下:

  1. 有监督预训练:训练网络参数

    • 样本:ImageNet

    • 这里只训练和分类有关的参数,因为ImageNet数据只有分类,没有位置标注

    • 图片尺寸调整为227x227

    • 最后一层:4097维向量->1000向量的映射。

  2. 特定样本下的微调 :训练网络参数

    • 样本:                                                                           

    • 采用训练好的AlexNet模型进行PASCAL VOC 2007样本集下的微调,学习率=0.001(PASCAL VOC 2007样本集上既有图像中物体类别标签,也有图像中物体位置标签)

    • mini-batch为32个正样本和96个负样本(由于正样本太少)

    • 修改了原来的1000为类别输出,改为21维【20类+背景】输出。

1.3. SVM分类

通过上述卷积神经网络获取候选区域的特征向量,进一步使用SVM进行物体分类,关键知识点如下:

  1. 使用了一个SVM进行分类:向SVM输入特征向量,输出类别得分

  2. 用于训练多个SVM的数据集是ImageNet数据

  3. 将2000×4096维特征(2000个候选框,每个候选框获得4096的特征向量)与20个SVM组成的权值矩阵4096×20相乘(20种分类,SVM是二分类器,每个种类训练一个SVM,则有20个SVM),获得2000×20维矩阵表示每个建议框是某个物体类别的得分

  4. 分别对上述2000×20维矩阵中每列即每一类进行非极大值抑制剔除重叠建议框,得到该列即该类中得分最高的一些候选框; 


SVM训练:

  • 样本:

     

  • 由于SVM是二分类器,需要为每个类别训练单独的SVM;

  • SVM训练时,输入正负样本是在AlexNet CNN网络输出的4096维特征向量,输出为该类的得分

  • 由于负样本太多,采用hard negative mining的方法在负样本中选取有代表性的负样本

1.4 边框修正

使用一个回归器进行边框回归:输入为卷积神经网络pool5层的4096维特征向量,输出为x、y方向的缩放和平移,实现边框的修正。在进行测试前仍需回归器进行训练。回归器训练

  • 样本:

在2014年R-CNN横空出世的时候,颠覆了以往的目标检测方案,精度大大提升。对于R-CNN的贡献,可以主要分为两个方面:1) 使用了卷积神经网络进行特征提取 2) 使用bounding box regression进行目标包围框的修正 但是,我们来看一下,R-CNN有什么问题:1) 耗时的selective search,对一张图像,需要花费2s 2) 耗时的串行式CNN前向传播,对于每一个候选框,都需经过一个AlexNet提取特征,为所有的候选框提取特征大约花费47s 3) 三个模块(CNN特征提取、SVM分类和边框修正)是分别训练的,并且在训练的时候,对于存储空间的消耗很大

2. Fast R-CNN

面对R-CNN的缺陷,Ross在2015年提出的Fast R-CNN进行了改进,下面我们来概述一下Fast R-CNN的解决方案:

  1. 首先还是采用selective search提取2000个候选框RoI

  2. 使用一个卷积神经网络对全图进行特征提取

  3. 使用一个RoI Pooling Layer在全图特征上摘取每一个RoI对应的特征

  4. 分别经过为21和84维的全连接层(并列的,前者是分类输出,后者是回归输出) Fast R-CNN通过CNN直接获取整张图像的特征图,再使用RoI Pooling Layer在特征图上获取对应每个候选框的特征,避免了R-CNN中的对每个候选框串行进行卷积(耗时较长)。

2.1 RoI Pooling Layer

对于每个RoI而言,需要从共享卷积层获取的特征图上提取对应的特征,并且送入全连接层进行分类。因此,RoI Pooling主要做了两件事,第一件是为每个RoI选取对应的特征,第二件事是为了满足全连接层的输入需求,将每个RoI对应的特征的维度转化成某个定值。RoI Pooling示意图如下所示:

如上图所示,对于每一个RoI,RoI Pooling Layer将其映射到特征图对应位置,获取对应特征。另外,由于每一个RoI的尺度各不相同,所以提取出来的特征向量region proposal维度也不尽相同,因此需要某种特殊的技术来做保证输入后续全连接层的特征向量维度相同。ROI Pooling的提出便是为了解决这一问题的。其思路如下:

  • 将region proposal划分为目标H×W大小的分块

  • 对每一个分块中做MaxPooling(每个分块中含有多个网格,每个分块获取一个特征值)

  • 将所有输出值组合起来便形成固定大小为H×W的feature map

Fast R-CNN的贡献可以主要分为两个方面:

  1. 取代R-CNN的串行特征提取方式,直接采用一个CNN对全图提取特征(这也是为什么需要RoI Pooling的原因)。

  2. 除了selective search,其他部分都可以合在一起训练。Fast R-CNN也有缺点,体现在耗时的selective search还是依旧存在。

3. Faster R-CNN

Faster R-CNN 取代selective search,直接通过一个Region Proposal Network (RPN)生成待检测区域,这么做,在生成RoI区域的时候,时间也就从2s缩减到了10ms。下图是Faster R-CNN整体结构。

由上图可知,Faster R-CNN由共享卷积层、RPN、RoI pooling以及分类和回归四部分组成:

  1. 首先使用共享卷积层为全图提取特征feature maps

  2. 将得到的feature maps送入RPN,RPN生成待检测框(指定RoI的位置),并对RoI的包围框进行第一次修正

  3. RoI Pooling Layer根据RPN的输出在feature map上面选取每个RoI对应的特征,并将维度置为定值

  4. 使用全连接层(FC Layer)对框进行分类,并且进行目标包围框的第二次修正。尤其注意的是,Faster R-CNN真正实现了端到端的训练(end-to-end training)。Faster R-CNN最大特色是使用了RPN取代了SS算法来获取RoI,以下对RPN进行分析。

3.1 RPN

经典的检测方法生成检测框都非常耗时,如OpenCV adaboost使用滑动窗口+图像金字塔生成检测框;或如R-CNN使用SS(Selective Search)方法生成检测框。而Faster R-CNN则抛弃了传统的滑动窗口和SS方法,直接使用RPN生成检测框,这也是Faster R-CNN的巨大优势,能极大提升检测框的生成速度。首先来看看RPN的工作原理:

上图展示了RPN网络的具体结构。可以看到RPN网络实际分为2条支线,上面一条支线通过softmax来分类anchors获得前景foreground和背景background(检测目标是foreground),下面一条支线用于计算anchors的边框偏移量,以获得精确的proposals。而最后的proposal层则负责综合foreground anchors和偏移量获取proposals,同时剔除太小和超出边界的proposals。其实整个网络到了Proposal Layer这里,就完成了相当于目标定位的功能。anchor:简单地说,RPN依靠一个在共享特征图上滑动的窗口,为每个位置生成9种预先设置好长宽比与面积的目标框(即anchor)。这9种初始anchor包含三种面积(128×128,256×256,512×512),每种面积又包含三种长宽比(1:1,1:2,2:1)。示意图如下所示:

由于共享特征图的大小约为40×60,所以RPN生成的初始anchor的总数约为20000个(40×60×9)。其实RPN最终就是在原图尺度上,设置了密密麻麻的候选anchor。进而去判断anchor到底是前景还是背景,意思就是判断这个anchor到底有没有覆盖目标,以及为属于前景的anchor进行第一次坐标修正。

判断前景或背景:对于所有的anchors,首先需要判断anchor是是否为前景。对于第一个问题,RPN的做法是使用SoftmaxLoss直接训练,在训练的时候排除掉了超越图像边界的anchor;边框修正:如图绿色表示的是飞机的实际框标签(ground truth),红色的表示的其中一个候选区域(foreground anchor),即被分类器识别为飞机的区域,但是由于红色区域定位不准确,这张图相当于没有正确检测出飞机,所以我们希望采用一种方法对红色的框进行微调,使得候选区域和实际框更加接近:

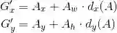
对于目标框一般使用四维向量来表示(x,y,w,h)(x,y,w,h) ,分别表示目标框的中心点坐标、宽、高,我们使用AA 表示原始的foreground anchor,使用GG 表示目标的ground truth,我们的目标是寻找一种关系,使得输入原始的Anchor AA 经过映射到一个和真实框GG 更接近的回归窗口G′G′ ,即:

  • 给定:

  • 寻找一种变换,使得

那么如何去计算F 呢?这里我们可以通过平移和缩放实现

  • 平移:

  • 缩放:

上面公式中,我们需要学习四个参数,分别是

其中

表示的两个框中心距离的偏移量

当输入的anchor A与G相差较小时,可以认为这种变换是一种线性变换, 那么就可以用线性回归来建模对目标框进行微调(注意,只有当anchors A和G比较接近时,才能使用线性回归模型,否则就是复杂的非线性问题了)。接下来就是如何通过线性回归获得

线性回归就是给定输入的特征向量X ,学习一组参数W,使得线性回归的输出WX和真实值Y 的差很小。对于该问题,输入X是特征图,我们使用ϕ 表示,同时训练时还需要A到G变换的真实参数值:

输出是

那么目标函数可以表示为:

其中ϕ(A) 是对应anchor的特征图组成的特征向量,ww 是需要学习的参数,d(A) 是得到预测值(表示x,y,w,h,也就是每一个变换对应一个上述目标函数),为了让预测值和真实值差距最小,代价函数如下:

函数优化目标为:

需要说明,只有在G和A比较接近时,才可近似认为上述线性变换成立,下面对于原文中,A与G之间的平移参数和尺度因子为:

在得到每一个候选区域anchor A的修正参数之后,我们就可以计算出精确的anchor,然后按照物体的区域得分从大到小对得到的anchor排序,然后提出一些宽或者高很小的anchor(获取其它过滤条件),再经过非极大值抑制抑制,取前Top-N的anchors,然后作为proposals(候选框)输出,送入到RoI Pooling层。那么,RPN怎么实现呢?这个问题通过RPN的本质很好求解,RPN的本质是一个树状结构,树干是一个3×3的卷积层,树枝是两个1×1的卷积层,第一个1×1的卷积层解决了前后景的输出,第二个1×1的卷积层解决了边框修正的输出。来看看在代码中是怎么做的:

从如上代码中可以看到,对于RPN输出的特征图中的每一个点,一个1×1的卷积层输出了18个值,因为是每一个点对应9个anchor,每个anchor有一个前景分数和一个背景分数,所以9×2=18。另一个1×1的卷积层输出了36个值,因为是每一个点对应9个anchor,每个anchor对应了4个修正坐标的值,所以9×4=36。那么,要得到这些值,RPN网络需要训练。在训练的时候,就需要对应的标签。那么,如何判定一个anchor是前景还是背景呢?文中做出了如下定义:如果一个anchor与ground truth的IoU在0.7以上,那这个anchor就算前景(positive)。类似地,如果这个anchor与ground truth的IoU在0.3以下,那么这个anchor就算背景(negative)。在作者进行RPN网络训练的时候,只使用了上述两类anchor,与ground truth的IoU介于0.3和0.7的anchor没有使用。在训练anchor属于前景与背景的时候,是在一张图中,随机抽取了128个前景anchor与128个背景anchor。

3.3. 分类和定位

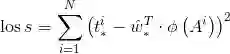
Faster R-CNN中的RoI Pooling Layer与 Fast R-CNN中原理一样。在RoI Pooling Layer之后,就是Faster R-CNN的分类器和RoI边框修正训练。分类器主要是分这个提取的RoI具体是什么类别(人,车,马等),一共C+1类(包含一类背景)。RoI边框修正和RPN中的anchor边框修正原理一样,同样也是SmoothL1 Loss,值得注意的是,RoI边框修正也是对于非背景的RoI进行修正,对于类别标签为背景的RoI,则不进行RoI边框修正的参数训练。对于分类器和RoI边框修正的训练,可以损失函数描述如下:

上式中u>=1表示RoI边框修正是对于非背景的RoI而言的,实验中,上式的λ取1。在训练分类器和RoI边框修正时,步骤如下所示:1) 首先通过RPN生成约20000个anchor(40×60×9)。2) 对20000个anchor进行第一次边框修正,得到修订边框后的proposal。3) 对超过图像边界的proposal的边进行clip,使得该proposal不超过图像范围。4) 忽略掉长或者宽太小的proposal。5) 将所有proposal按照前景分数从高到低排序,选取前12000个proposal。6) 使用阈值为0.7的NMS算法排除掉重叠的proposal。7) 针对上一步剩下的proposal,选取前2000个proposal进行分类和第二次边框修正。总的来说,Faster R-CNN的loss分两大块,第一大块是训练RPN的loss(包含一个SoftmaxLoss和SmoothL1Loss),第二大块是训练Faster R-CNN中分类器的loss(包含一个SoftmaxLoss和SmoothL1Loss),Faster R-CNN的总的loss函数描述如下:

4. Mask R-CNN

Mask R-CNN可以分解为如下的3个模块:Faster-RCNN、RoI Align和Mask。算法框架如下:

图6 Mask R-CNN算法框架

算法步骤:

  • 首先,输入一幅你想处理的图片,然后进行对应的预处理操作,或者预处理后的图片;

  • 然后,将其输入到一个预训练好的神经网络中(ResNeXt等)获得对应的feature map;

  • 接着,对这个feature map中的每一点设定预定个的RoI,从而获得多个候选RoI;

  • 接着,将这些候选的RoI送入RPN网络进行二值分类(前景或背景)和BB回归,过滤掉一部分候选的ROI;

  • 接着,对这些剩下的RoI进行RoIAlign操作(即先将原图和feature map的pixel对应起来,然后将feature map和固定的feature对应起来);

  • 最后,对这些RoI进行分类(N类别分类)、BB回归和MASK生成(在每一个ROI里面进行FCN操作)。Mask R-CNN是一个非常灵活的框架,可以增加不同的分支完成不同的任务,可以完成目标分类、目标检测、语义分割、实例分割、人体姿势识别等多种任务,如下图所示。

4.1. ROI Align

Mask R-CNN使用RoIAlign取代了Faster RCNN中的RoIPooling,故下文对RoIPooling和RoIAlign进行分析与比较

如上图所示,RoI Pooling和RoIAlign最大的区别是:前者使用了两次量化操作,而后者并没有采用量化操作,使用了线性插值算法,具体的解释如下所示。

RoI Pooling

如上图所示,为了得到固定大小(7X7)的feature map,我们需要做两次量化操作:1)图像坐标 — feature map坐标,2)feature map坐标 — RoI feature坐标。我们来说一下具体的细节,如图我们输入的是一张800x800的图像,在图像中有两个目标(猫和狗),狗的BB大小为665x665,经过VGG16网络后,我们可以获得对应的feature map,如果我们对卷积层进行Padding操作,我们的图片经过卷积层后保持原来的大小,但是由于池化层的存在,我们最终获得feature map 会比原图缩小一定的比例,这和Pooling层的个数和大小有关。在该VGG16中,我们使用了5个池化操作,每个池化操作都是2x2Pooling,因此我们最终获得feature map的大小为800/32 x 800/32 = 25x25(是整数),但是将狗的BB对应到feature map上面,我们得到的结果是665/32 x 665/32 = 20.78 x 20.78,结果是浮点数,含有小数,但是我们的像素值可没有小数,那么作者就对其进行了量化操作(即取整操作),即其结果变为20 x 20,在这里引入了第一次的量化误差;然而我们的feature map中有不同大小的ROI,但是我们后面的网络却要求我们有固定的输入,因此,我们需要将不同大小的ROI转化为固定的ROI feature,在这里使用的是7x7的ROI feature,那么我们需要将20 x 20的ROI映射成7 x 7的ROI feature,其结果是 20 /7 x 20/7 = 2.86 x 2.86,同样是浮点数,含有小数点,我们采取同样的操作对其进行取整吧,在这里引入了第二次量化误差。其实,这里引入的误差会导致图像中的像素和特征中的像素的偏差,即将feature空间的ROI对应到原图上面会出现很大的偏差。原因如下:比如用我们第二次引入的误差来分析,本来是2,86,我们将其量化为2,这期间引入了0.86的误差,看起来是一个很小的误差呀,但是你要记得这是在feature空间,我们的feature空间和图像空间是有比例关系的,在这里是1:32,那么对应到原图上面的差距就是0.86 x 32 = 27.52。这个差距不小吧,这还是仅仅考虑了第二次的量化误差。这会大大影响整个检测算法的性能,因此是一个严重的问题。

RoIAlign

如上图所示,为了得到为了得到固定大小(7X7)的feature map,RoIAlign技术并没有使用量化操作,即我们不想引入量化误差,比如665 / 32 = 20.78,我们就用20.78,不用什么20来替代它,比如20.78 / 7 = 2.97,我们就用2.97,而不用2来代替它。这就是RoIAlign的初衷。那么我们如何处理这些浮点数呢,我们的解决思路是使用“双线性插值”算法。双线性插值是一种比较好的图像缩放算法,它充分的利用了原图中虚拟点(比如20.56这个浮点数,像素位置都是整数值,没有浮点值)四周的四个真实存在的像素值来共同决定目标图中的一个像素值,即可以将20.56这个虚拟的位置点对应的像素值估计出来。如下图所示,蓝色的虚线框表示卷积后获得的feature map,黑色实线框表示ROI feature,最后需要输出的大小是2x2,那么我们就利用双线性插值来估计这些蓝点(虚拟坐标点,又称双线性插值的网格点)处所对应的像素值,最后得到相应的输出。这些蓝点是2x2Cell中的随机采样的普通点,作者指出,这些采样点的个数和位置不会对性能产生很大的影响,你也可以用其它的方法获得。然后在每一个橘红色的区域里面进行max pooling或者average pooling操作,获得最终2x2的输出结果。我们的整个过程中没有用到量化操作,没有引入误差,即原图中的像素和feature map中的像素是完全对齐的,没有偏差,这不仅会提高检测的精度,同时也会有利于实例分割。

4.2. Mask

下图阐述了Mask R-CNN的Mask branch:

在Mask R-CNN中的RoI Align之后有一个"head"部分,主要作用是将RoI Align的输出维度扩大,这样在预测Mask时会更加精确。在Mask Branch的训练环节,作者没有采用FCN式的SoftmaxLoss,反而是输出了K个Mask预测图(为每一个类都输出一张),并采用average binary cross-entropy loss训练,当然在训练Mask branch的时候,输出的K个特征图中,也只是对应ground truth类别的那一个特征图对Mask loss有贡献。Mask R-CNN的训练损失函数可以描述为:

5. Yolo

以上目标检测模型都是two-stage算法,针对于two-stage目标检测算法普遍存在的运算速度慢的缺点,Yolo创造性的提出了one-stage,也就是将物体分类和物体定位在一个步骤中完成。Yolo直接在输出层回归bounding box的位置和bounding box所属类别,从而实现one-stage。通过这种方式,Yolo可实现45帧每秒的运算速度,完全能满足实时性要求(达到24帧每秒,人眼就认为是连续的)。整个系统如下图所示。

主要分为三个部分:卷积层,目标检测层,NMS筛选层

5.1 卷积层

采用Google inceptionV1网络,对应到上图中的第一个阶段,共20层。这一层主要是进行特征提取,从而提高模型泛化能力。但作者对inceptionV1进行了改造,他没有使用inception module结构,而是用一个1x1的卷积,并联一个3x3的卷积来替代。(可以认为只使用了inception module中的一个分支,应该是为了简化网络结构)

5.2 目标检测层

先经过4个卷积层和2个全连接层,最后生成7x7x30的输出。先经过4个卷积层的目的是为了提高模型泛化能力。Yolo将一副448x448的原图分割成了7x7个网格,然后每个单元格负责去检测那些中心点落在该格子内的目标,如下图所示,可以看到狗这个目标的中心落在左下角一个单元格内,那么该单元格负责预测这个狗。每个单元格会预测 个边界框(bounding box)以及边界框的置信度(confidence score)。所谓置信度其实包含两个方面,一是这个边界框含有目标的可能性大小,二是这个边界框的准确度。前者记为 ,当该边界框是背景时(即不包含目标),此时 。而当该边界框包含目标时, 。边界框的准确度可以用预测框与实际框(ground truth)的IOU(intersection over union,交并比)来表征,记为 。因此置信度可以定义为 。很多人可能将Yolo的置信度看成边界框是否含有目标的概率,但是其实它是两个因子的乘积,预测框的准确度也反映在里面。边界框的大小与位置可以用4个值来表征: ,其中 是边界框的中心坐标,而 是边界框的宽与高。还有一点要注意,中心坐标的预测值 是相对于每个单元格左上角坐标点的偏移值,并且单位是相对于单元格大小的,单元格的坐标定义如图6所示。而边界框的 预测值是相对于整个图片的宽与高的比例,这样理论上4个元素的大小应该在 范围。这样,每个边界框的预测值实际上包含5个元素: ,其中前4个表征边界框的大小与位置,而最后一个值是置信度。

  1. bounding box坐标: 如上图,7x7网格内的每个grid(红色框),对应两个大小形状不同的bounding box(黄色框)。每个box的位置坐标为(x,y,w,h), x和y表示box中心点坐标,w和h表示box宽度和高度。通过与训练数据集上标定的物体真实坐标(Gx,Gy,Gw,Gh)进行对比训练,可以计算出初始bounding box平移和伸缩得到最终位置的模型。

  2. bounding box置信度confidence:这个置信度只是为了表达box内有无物体的概率,并不表达box内物体是什么。

    其中前一项表示有无人工标记的物体落入了网格内,如果有则为1,否则为0。第二项代表bounding box和真实标记的box之间的重合度。它等于两个box面积交集,除以面积并集。值越大则box越接近真实位置。每个网格还需要预测它属于20分类中每一个类别的概率。分类信息是针对每个网格的,而不是bounding box。故只需要20个,而不是40个。而confidence则是针对bounding box的,它只表示box内是否有物体,而不需要预测物体是20分类中的哪一个,故只需要2个参数。虽然分类信息和confidence都是概率,但表达含义完全不同。

5.3 NMS筛选层

筛选层是为了在多个结果中(多个bounding box)筛选出最合适的几个,这个方法和faster R-CNN 中基本相同。都是先过滤掉score低于阈值的box,对剩下的box进行NMS非极大值抑制,去除掉重叠度比较高的box(NMS具体算法可以回顾上面faster R-CNN小节)。这样就得到了最终的最合适的几个box和他们的类别。

5.4 Yolo损失函数

yolo的损失函数包含三部分,位置误差,confidence误差,分类误差。具体公式如下

误差均采用了均方差算法,其实我认为,位置误差应该采用均方差算法,而分类误差应该采用交叉熵。由于物体位置只有4个参数,而类别有20个参数,他们的累加和不同。如果赋予相同的权重,显然不合理。故Yolo中位置误差权重为5,类别误差权重为1。由于我们不是特别关心不包含物体的bounding box,故赋予不包含物体的box的置信度confidence误差的权重为0.5,包含物体的权重则为1。Yolo算法开创了one-stage检测的先河,它将物体分类和物体检测网络合二为一,都在全连接层完成。故它大大降低了目标检测的耗时,提高了实时性。但它的缺点也十分明显

  1. 每个网格只对应两个bounding box,当物体的长宽比不常见(也就是训练数据集覆盖不到时),效果很差。

  2. 原始图片只划分为7x7的网格,当两个物体靠的很近时,效果很差

  3. 最终每个网格只对应一个类别,容易出现漏检(物体没有被识别到)。

  4. 对于图片中比较小的物体,效果很差。这其实是所有目标检测算法的通病,SSD对它有些优化,我们后面再看。

6. SSD

Faster R-CNN准确率mAP较高,漏检率recall较低,但速度较慢。而Yolo则相反,速度快,但准确率和漏检率不尽人意。SSD综合了他们的优缺点,对输入300x300的图像,在voc2007数据集上test,能够达到58 帧每秒( Titan X 的 GPU ),72.1%的mAP。SSD和Yolo一样都是采用一个CNN网络来进行检测,但是却采用了多尺度的特征图,SSD网络结构如下图:

和Yolo一样,也分为三部分:卷积层,目标检测层和NMS筛选层

6.1 卷积层

SSD论文采用了VGG16的基础网络,其实这也是几乎所有目标检测神经网络的惯用方法。先用一个CNN网络来提取特征,然后再进行后续的目标定位和目标分类识别。

6.2 目标检测层

这一层由5个卷积层和一个平均池化层组成。去掉了最后的全连接层。SSD认为目标检测中的物体,只与周围信息相关,它的感受野不是全局的,故没必要也不应该做全连接。SSD的特点如下:

6.2.1 多尺寸feature map上进行目标检测

每一个卷积层,都会输出不同大小感受野的feature map。在这些不同尺度的feature map上,进行目标位置和类别的训练和预测,从而达到多尺度检测的目的,可以克服yolo对于宽高比不常见的物体,识别准确率较低的问题。而yolo中,只在最后一个卷积层上做目标位置和类别的训练和预测。这是SSD相对于yolo能提高准确率的一个关键所在。

如上所示,在每个卷积层上都会进行目标检测和分类,最后由NMS进行筛选,输出最终的结果。多尺度feature map上做目标检测,就相当于多了很多宽高比例的bounding box,可以大大提高泛化能力。

6.2.2 设置先验框

在Yolo中,每个单元预测多个边界框,但是其都是相对这个单元本身(正方块),但是真实目标的形状是多变的,Yolo需要在训练过程中自适应目标的形状。而SSD和Faster R-CNN相似,也提出了anchor的概念。卷积输出的feature map,每个点对应为原图的一个区域的中心点。以这个点为中心,构造出6个宽高比例不同,大小不同的anchor(SSD中称为default box)。每个anchor对应4个位置参数(x,y,w,h)和21个类别概率(voc训练集为20分类问题,在加上anchor是否为背景,共21分类)。

SSD的检测值也与Yolo不太一样。对于每个单元的每个先验框,其都输出一套独立的检测值,对应一个边界框,主要分为两个部分。第一部分是各个类别的置信度或者评分,值得注意的是SSD将背景也当做了一个特殊的类别,如果检测目标共有 个类别,SSD其实需要预测 个置信度值,其中第一个置信度指的是不含目标或者属于背景的评分。后面当我们说 个类别置信度时,请记住里面包含背景那个特殊的类别,即真实的检测类别只有 个。在预测过程中,置信度最高的那个类别就是边界框所属的类别,特别地,当第一个置信度值最高时,表示边界框中并不包含目标。第二部分就是边界框的location,包含4个值 ,分别表示边界框的中心坐标以及宽高。但是真实预测值其实只是边界框相对于先验框的转换值(paper里面说是offset,但是觉得transformation更合适,参见R-CNN(https://arxiv.org/abs/1311.2524) 另外,SSD采用了数据增强。生成与目标物体真实box间IOU为0.1 0.3 0.5 0.7 0.9的patch,随机选取这些patch参与训练,并对他们进行随机水平翻转等操作。SSD认为这个策略提高了8.8%的准确率。

6.3 筛选层

和yolo的筛选层基本一致,同样先过滤掉类别概率低于阈值的default box,再采用NMS非极大值抑制,筛掉重叠度较高的。只不过SSD综合了各个不同feature map上的目标检测输出的default box。

7 其他模型

针对Yolo准确率不高,容易漏检,对长宽比不常见物体效果差等问题,结合SSD的特点,提出了YoloV2。它主要还是采用了Yolo的网络结构,在其基础上做了一些优化和改进,如下:

  1. 网络采用DarkNet-19:19层,里面包含了大量3x3卷积,同时借鉴inceptionV1,加入1x1卷积核全局平均池化层。结构如下

  2. 去掉全连接层:和SSD一样,模型中只包含卷积和平均池化层(平均池化是为了变为一维向量,做softmax分类)。这样做一方面是由于物体检测中的目标,只是图片中的一个区块,它是局部感受野,没必要做全连接。而是为了输入不同尺寸的图片,如果采用全连接,则只能输入固定大小图片了。

  3. batch normalization:卷积层后加入BN,对下一次卷积输入的数据做归一化。可以在增大学习率的前提下,同样可以稳定落入局部最优解。从而加速训练收敛,在相同耗时下,增大了有效迭代次数。

  4. 使用anchors:借鉴faster R-CNN和SSD,对于一个中心点,使用多个anchor,得到多个bounding box,每个bounding box包含4个位置坐标参数(x y w h)和21个类别概率信息。而在Yolo中,每个grid(对应anchor),仅预测一次类别,而且只有两个bounding box来进行坐标预测。

  5. pass through layer:Yolo原本最终特征图为13x13x256。YoloV2还利用了之前的26x26的特征图进行目标检测。26x26x256的feature map分别按行和列隔点采样,得到4幅13x13x256的feature map,将他们组织成一幅13x13x2048的feature map。这样做的目的是提高小物体的识别率。因为越靠前的卷积,其感受野越小,越有利于小物体的识别。

  6. 高分辨率输入Training:Yolo采用224x224图片进行预训练,而YoloV2则采用448x448

  7. Multi-Scale Training:输入不同尺寸的图片,迭代10次,就改变输入图片尺寸。由于模型中去掉了全连接层,故可以输入不同尺寸的图片了。从320x320,到608x608 Yolo和YoloV2只能识别20类物体,为了优化这个问题,提出了Yolo9000,可以识别9000类物体。它在YoloV2基础上,进行了imageNet和coco的联合训练。这种方式充分利用imageNet可以识别1000类物体和coco可以进行目标位置检测的优点。当使用imageNet训练时,只更新物体分类相关的参数。而使用coco时,则更新全部所有参数。

参考大V:

知乎:

  • 白裳、小小将、黄海广 


公众号:


  • AI有道、AI研习社、机器之心、我爱计算机视觉、CVer、

    量子位、OpenCV学堂、AI科技大本营


博客:

  • https://www.cnblogs.com/gujianhan/ (代码初学者)

  • https://segmentfault.com/u/windmaster (风吹花落念白衣)

  • https://blog.csdn.net/jiongnima

  • https://blog.csdn.net/u014380165 (AI之路)

  • https://blog.csdn.net/qq_35451572 (泉伟)


先进制造业+工业互联网




产业智能官  AI-CPS


加入知识星球“产业智能研究院”:先进制造业OT(自动化+机器人+工艺+精益)和工业互联网IT(云计算+大数据+物联网+区块链+人工智能)产业智能化技术深度融合,在场景中构建“状态感知-实时分析-自主决策-精准执行-学习提升”的产业智能化平台;实现产业转型升级、DT驱动业务、价值创新创造的产业互联生态链。


产业智能化平台作为第四次工业革命的核心驱动力,将进一步释放历次科技革命和产业变革积蓄的巨大能量,并创造新的强大引擎; 重构设计、生产、物流、服务等经济活动各环节,形成从宏观到微观各领域的智能化新需求,催生新技术、新产品、新产业、新业态和新模式;引发经济结构重大变革,深刻改变人类生产生活方式和思维模式,实现社会生产力的整体跃升。

产业智能化技术分支用来的今天,制造业者必须了解如何将“智能技术”全面渗入整个公司、产品、业务等商业场景中, 利用工业互联网形成数字化、网络化和智能化力量,实现行业的重新布局、企业的重新构建和焕然新生。

版权声明产业智能官(ID:AI-CPS推荐的文章,除非确实无法确认,我们都会注明作者和来源,涉权烦请联系协商解决,联系、投稿邮箱:erp_vip@hotmail.com。




登录查看更多
3

相关内容

R-CNN的全称是Region-CNN,它可以说是是第一个成功将深度学习应用到目标检测上的算法。传统的目标检测方法大多以图像识别为基础。 一般可以在图片上使用穷举法选出所所有物体可能出现的区域框,对这些区域框提取特征并使用图像识别方法分类, 得到所有分类成功的区域后,通过非极大值抑制(Non-maximumsuppression)输出结果。
深度学习目标检测方法及其主流框架综述
专知会员服务
148+阅读 · 2020年6月26日
【文献综述】深度学习目标检测方法及其主流框架综述
专知会员服务
119+阅读 · 2020年6月26日
最新《深度学习自动驾驶》技术综述论文,28页pdf
专知会员服务
156+阅读 · 2020年6月14日
【天津大学】风格线条画生成技术综述
专知会员服务
35+阅读 · 2020年4月26日
3D目标检测进展综述
专知会员服务
193+阅读 · 2020年4月24日
专知会员服务
164+阅读 · 2020年4月21日
专知会员服务
55+阅读 · 2020年3月16日
【综述】关键词生成,附10页pdf论文下载
专知会员服务
54+阅读 · 2019年11月20日
零样本图像分类综述 : 十年进展
专知会员服务
128+阅读 · 2019年11月16日
2019最全目标检测指南
计算机视觉life
13+阅读 · 2019年10月22日
做目标检测,这一篇就够了!2019最全目标检测指南
机器学习算法与Python学习
30+阅读 · 2019年9月11日
最全综述 | 图像目标检测
计算机视觉life
31+阅读 · 2019年6月24日
深度学习目标检测算法综述
AI研习社
25+阅读 · 2019年2月1日
一文读懂目标检测:R-CNN、Fast R-CNN、Faster R-CNN、YOLO、SSD
七月在线实验室
11+阅读 · 2018年7月18日
目标检测算法盘点(最全)
七月在线实验室
17+阅读 · 2018年4月27日
Deep Learning for Generic Object Detection: A Survey
Arxiv
14+阅读 · 2018年9月6日
Zero-Shot Object Detection
Arxiv
9+阅读 · 2018年7月27日
Arxiv
5+阅读 · 2016年12月29日
VIP会员
相关VIP内容
深度学习目标检测方法及其主流框架综述
专知会员服务
148+阅读 · 2020年6月26日
【文献综述】深度学习目标检测方法及其主流框架综述
专知会员服务
119+阅读 · 2020年6月26日
最新《深度学习自动驾驶》技术综述论文,28页pdf
专知会员服务
156+阅读 · 2020年6月14日
【天津大学】风格线条画生成技术综述
专知会员服务
35+阅读 · 2020年4月26日
3D目标检测进展综述
专知会员服务
193+阅读 · 2020年4月24日
专知会员服务
164+阅读 · 2020年4月21日
专知会员服务
55+阅读 · 2020年3月16日
【综述】关键词生成,附10页pdf论文下载
专知会员服务
54+阅读 · 2019年11月20日
零样本图像分类综述 : 十年进展
专知会员服务
128+阅读 · 2019年11月16日
相关资讯
2019最全目标检测指南
计算机视觉life
13+阅读 · 2019年10月22日
做目标检测,这一篇就够了!2019最全目标检测指南
机器学习算法与Python学习
30+阅读 · 2019年9月11日
最全综述 | 图像目标检测
计算机视觉life
31+阅读 · 2019年6月24日
深度学习目标检测算法综述
AI研习社
25+阅读 · 2019年2月1日
一文读懂目标检测:R-CNN、Fast R-CNN、Faster R-CNN、YOLO、SSD
七月在线实验室
11+阅读 · 2018年7月18日
目标检测算法盘点(最全)
七月在线实验室
17+阅读 · 2018年4月27日
Top
微信扫码咨询专知VIP会员