【前沿】机器翻译新突破!“普适注意力”模型:概念简单参数少,性能大增

2018 年 8 月 29 日 中国自动化学会

目前,最先进的机器翻译系统基于编码器-解码器架构,首先对输入序列进行编码,然后根据输入编码生成输出序列。两者都与注意机制接口有关,该机制基于解码器状态,对源令牌的固定编码进行重新组合。

本文提出了一种替代方法,该方法于跨两个序列的单个2D卷积神经网络。网络的每一层都根据当前的输出序列重新编码源令牌。因此,类似注意力的属性在整个网络中普遍存在。我们的模型在实验中表现出色,优于目前最先进的编码器-解码器系统,同时在概念上更简单,参数更少。

“普适注意力”模型及原理

我们的模型中的卷积层使用隐性3×3滤波器,特征仅根据先前的输出符号计算。图为经过一层(深蓝色)和两层(浅蓝色)计算之后的感受野,以及正常3×3滤波器(灰色)的视野的隐藏部分。

上图为具有两个隐藏层的解码器网络拓扑的图示,底部和顶部的节点分别表示输入和输出。水平方向连接用于RNN,对角线方向连接用于卷积网络。在两种情况下都会使用垂直方向的连接。参数跨时间步长(水平方向)共享,但不跨层(垂直方向)共享。

块级(顶部)和每个块(底部)内的DenseNet体系结构

令牌嵌入大小、层数(L)和增长率(g)的影响

无论是长句、短句,翻译结果都更好

与现有最佳技术的比较

我们将结果与表3中的现有技术进行了比较,包括德-英翻译(De-En)和英-德翻译(En-De)。我们的模型名为Pervasive Attention。除非另有说明,我们使用最大似然估计(MLE)训练所有模型的参数。对于一些模型,我们会另外报告通过序列水平估计(SLE,如强化学习方法)获得的结果,我们通常直接针对优化BLEU量度,而不是正确翻译的概率。

在不同句子序列长度上的表现

在上图中,我们将翻译质量视为句子长度的函数,并将我们的模型与RNNsearch、ConvS2S和Transformer进行比较。结果表明,我们的模型几乎在所有句子长度上都得到了最好的结果,ConvS2S和Transformer只在最长的句子上表现更好。总的来说,我们的模型兼备RNNsearch在短句中的强大表现,同时也接近ConvS2S和Transformer在较长句子上的良好表现。

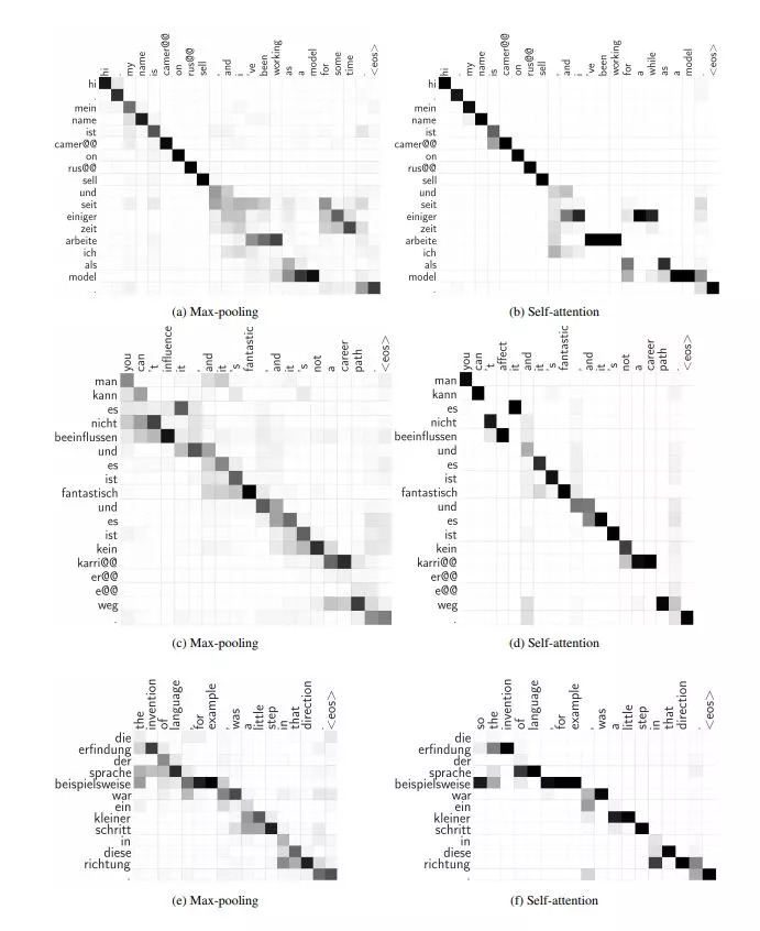
隐性的句子对齐

上图所示为最大池化运算符在我们的模型中生成的隐式句子对齐。作为参考,我们还展示了我们的模型使用的“自我注意力”产生的对齐。可以看到,两种模型都成功定性地模拟了隐性的句子对齐。

我们的模型(L = 24,g = 32,ds = dt = 128),具有不同的池化操作符,使用门控卷积单元

在不同的滤波器尺寸k和深度L下,我们的模型(g = 32,ds = dt = 128)的表现。

与IWSLT德语-英语翻译模型的最新结果的比较。

(*):使用我们的实现获得的结果 (**):使用FairSeq获得的结果。

脱离编码器-解码器范式,用DenseNet作机器翻译

我们提出了一种新的神经机器翻译架构,该架构脱离了编码器-解码器范例。我们的模型将源序列和目标序列联合编码为深度特征层次结构,其中源令牌嵌入到部分目标序列的上下文中。沿源维度对此联合编码进行最大池化,将相关要素映射到下一个目标令牌的预测。该模型实现基于DenseNet的2D CNN。

由于我们的模型会结合语境,对每一层当前生成的目标序列的输入令牌重新编码,因此该模型网络构造的每层中都具有“类似注意力”(attention-like)的属性。

因此,添加明确的“自注意模块”具有非常有限、但十分积极的效果。然而,我们模型中的最大池化运算符生成的隐式句子对齐,在性质上与注意力机制生成的对齐类似。我们在IWSLT'14数据集上评估了我们的模型,将德-英双语互译。

我们获得的BLEU分数与现有最佳方法相当,我们的模型使用的参数更少,概念上也更简单。我们希望这一成果可以引发对编码器-解码器模型的替代方案的兴趣。在未来,我们计划研究混合方法,其中联合编码模型的输入不是由嵌入向量提供的,而是1D源和目标嵌入网络的输出。

未来我们还将研究如何该模型来跨多语种进行翻译。

来源:新智元

往期文章推荐

人工智能名人堂第49期 | 斯坦福研究院名人堂成员:Peter E. Ha

🔗【CCHI2018】 2天8位院士4个专题论坛14个大会报告43个专题特邀报告 ——群贤毕至 共探认知科学与人工智能相关领域发展

🔗【学会新闻】2018新一代人工智能高峰论坛——大咖齐聚福建漳州,共话人工智能的最新动态和发展趋势

🔗【通知】2018年第三届全国建筑机器人技术论坛通知

🔗【通知】2018全国第二十三届 自动化应用技术学术交流会会议通知

🔗【通知】关于举办科普中国•2018互联网科普产品征集活动的通知

🔗【CAC2018】中国自动化大会截稿时间变更至8月30日的通知

🔗【通知】2018年第三届全国建筑机器人技术论坛通知

🔗【通知】中国自动化学会关于开展第十五届中国青年女科学家奖、2018年度未来女科学家计划候选人推荐工作的通知

🔗【学科发展报告】控制科学与工程学科发展现状及趋势(二)附参考文献

🔗【观点】王飞跃:新的智能全球化将要来临,人工智能标准化为时尚早

登录查看更多
0

相关内容

机器翻译,又称为自动翻译,是利用计算机将一种自然语言(源语言)转换为另一种自然语言(目标语言)的过程。它是计算语言学的一个分支,是人工智能的终极目标之一,具有重要的科学研究价值。

知识荟萃

精品入门和进阶教程、论文和代码整理等

更多

查看相关VIP内容、论文、资讯等
[ICML-Google]先宽后窄:对深度薄网络的有效训练
专知会员服务
36+阅读 · 2020年7月5日
【ICLR 2019】双曲注意力网络,Hyperbolic  Attention Network
专知会员服务
84+阅读 · 2020年6月21日
【CMU】深度学习模型中集成优化、约束和控制,33页ppt
专知会员服务
46+阅读 · 2020年5月23日
【CVPR2020-港中文】 图像识别中的自注意力探索
专知会员服务
56+阅读 · 2020年4月29日
注意力图神经网络的多标签文本分类
专知会员服务
112+阅读 · 2020年3月28日
【伯克利】再思考 Transformer中的Batch Normalization
专知会员服务
41+阅读 · 2020年3月21日
注意力机制模型最新综述
专知会员服务
271+阅读 · 2019年10月20日
深度学习的下一步:Transformer和注意力机制
云头条
56+阅读 · 2019年9月14日
ACL 2019 | 多语言BERT的语言表征探索
AI科技评论
21+阅读 · 2019年9月6日
20项任务全面碾压BERT,全新XLNet预训练模型
机器学习算法与Python学习
15+阅读 · 2019年6月20日
介绍高维超参数调整 - 优化ML模型的最佳实践
AI研习社
7+阅读 · 2019年4月17日
Attention!注意力机制模型最新综述
专知
65+阅读 · 2019年4月8日
3分钟看懂史上最强NLP模型BERT
机器学习算法与Python学习
8+阅读 · 2019年2月27日
用于神经网络机器翻译的全并行文本生成
TensorFlow seq2seq中的Attention机制(续)
深度学习每日摘要
15+阅读 · 2017年11月16日
深度神经网络机器翻译
机器学习研究会
5+阅读 · 2017年10月16日
Arxiv
6+阅读 · 2019年7月11日
Self-Attention Graph Pooling
Arxiv
5+阅读 · 2019年4月17日
Universal Transformers
Arxiv
5+阅读 · 2019年3月5日
Arxiv
8+阅读 · 2018年11月21日
Paraphrase Generation with Deep Reinforcement Learning
Arxiv
5+阅读 · 2018年6月5日
Arxiv
10+阅读 · 2018年2月4日
VIP会员
相关VIP内容
[ICML-Google]先宽后窄:对深度薄网络的有效训练
专知会员服务
36+阅读 · 2020年7月5日
【ICLR 2019】双曲注意力网络,Hyperbolic  Attention Network
专知会员服务
84+阅读 · 2020年6月21日
【CMU】深度学习模型中集成优化、约束和控制,33页ppt
专知会员服务
46+阅读 · 2020年5月23日
【CVPR2020-港中文】 图像识别中的自注意力探索
专知会员服务
56+阅读 · 2020年4月29日
注意力图神经网络的多标签文本分类
专知会员服务
112+阅读 · 2020年3月28日
【伯克利】再思考 Transformer中的Batch Normalization
专知会员服务
41+阅读 · 2020年3月21日
注意力机制模型最新综述
专知会员服务
271+阅读 · 2019年10月20日
相关资讯
深度学习的下一步:Transformer和注意力机制
云头条
56+阅读 · 2019年9月14日
ACL 2019 | 多语言BERT的语言表征探索
AI科技评论
21+阅读 · 2019年9月6日
20项任务全面碾压BERT,全新XLNet预训练模型
机器学习算法与Python学习
15+阅读 · 2019年6月20日
介绍高维超参数调整 - 优化ML模型的最佳实践
AI研习社
7+阅读 · 2019年4月17日
Attention!注意力机制模型最新综述
专知
65+阅读 · 2019年4月8日
3分钟看懂史上最强NLP模型BERT
机器学习算法与Python学习
8+阅读 · 2019年2月27日
用于神经网络机器翻译的全并行文本生成
TensorFlow seq2seq中的Attention机制(续)
深度学习每日摘要
15+阅读 · 2017年11月16日
深度神经网络机器翻译
机器学习研究会
5+阅读 · 2017年10月16日
相关论文
Arxiv
6+阅读 · 2019年7月11日
Self-Attention Graph Pooling
Arxiv
5+阅读 · 2019年4月17日
Universal Transformers
Arxiv
5+阅读 · 2019年3月5日
Arxiv
8+阅读 · 2018年11月21日
Paraphrase Generation with Deep Reinforcement Learning
Arxiv
5+阅读 · 2018年6月5日
Arxiv
10+阅读 · 2018年2月4日
Top
微信扫码咨询专知VIP会员