机器学习算法实践:标准与局部加权线性回归

2017 年 10 月 26 日 Python开发者

(点击上方蓝字,快速关注我们)


来源:伯乐在线 - iPytLab

如有好文章投稿,请点击 → 这里了解详情


前言


最近开始总结学习回归相关的东东了,与分类的目标变量是标称型不同,回归是对连续型数据进预测。当然还是从最简单的线性回归开始,本文主要介绍无偏差的标准线性回归和有偏局部加权线性回归的理论基础以及相应的Python实现。


标准线性回归


标准线性回归的理论知识很简单,我们既可以写出它的标量表达式也可以写成矩阵的形式,其中矩阵的形式也可以通过投影矩阵进行推到得到。本部分就对标准线性回归的表达式进行下简单的推导。


给定一组数据其中包括特征矩阵X, 目标变量向量y:



其中X第一列为截距项,我们做线性回归是为了得到一个最优回归系数向量w使得当我们给定一个x能够通过y=xw预测y的值。其中


最小二乘法获取回归系数


那么怎样的w才是最优的呢?在标准线性回归中我们需要找到是误差最小的w, 即预测的y值与真实的y值之间的差值,为了避免简单累加造成的正负差值相互抵消,这里采用了平方误差:


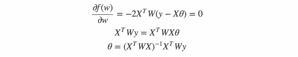
对于上述式子f(w)可以通过梯度下降等方法得到最优解。但是使用矩阵表示将会是的求解和程序更为简单:


将f(w)对w求导可得:


使其等于0,便可得到:


通过投影矩阵获取回归系数


除了通过最小平方差的方法推导得到w的表达式,我们还可以通过投影矩阵(Projection Matrix)来得到。


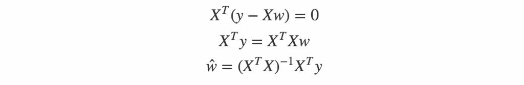
我们知道如果我们能够求得一个w使得Xw=y肯定是最好的,但是实际情况中y一般并不在矩阵X的列空间中,也就是此方程无解,于是我们希望通过将向量y投影到X的列空间中得到投影矩阵p, 然后求解Xw=p来获取一个最接近的一个解, 矩阵X的投影矩阵形式为


于是得到y在X列空间的投影为

此时方程Xw=p是有解的,得到最接近Xw=y的解为:


标准线性回归的Python实现


通过矩阵形式我么可以很方便的通过Numpy的接口进行矩阵运算获取线性回归系数向量ŵ , 实现如下:


def std_linreg(X, Y):

    xTx = X.T*X

    if np.linalg.det(xTx) == 0:

        print('xTx is a singular matrix')

        return

    return xTx.I*X.T*Y


通过对现有数据进行标准线性回归并绘制回归直线得到如下图(完整代码和数据见: https://github.com/PytLab/MLBox/tree/master/linear_regression)


w = [3.00774324, 1.69532264]


相关系数(Correlation Coefficient)计算


如何判断获得的模型预测能力的好坏呢?我们需要计算模型计算得到的yy的值向量与实际yy值向量的匹配程度, 也就是计算相关系数Correlation Coefficient。


相关系数的计算公式:


也就是两个数据序列的协方差并除上各自的标准差,本质上就是一种剔除了两个变量量纲影响、标准化后的特殊协方差。


而协方差便是衡量两个变量变化趋势是否相似的一种方法,是同向变化(同时变大或变小)还是反向变化(一个变大一个变小), 同向或者反向的程度如何,计算公式如下:


通过公式可以看出,如果对于向量中的每个x,y同时大于或同时小于各自的期望值,协方差为正,相反则为负。可见如果协方差越大相似程度就越高,协方差越小相似程度就越小。也可以看到如果X,Y相同,协方差就是方差,也就是方差是一种特殊情况下的协方差。


关于协方差与相关系数的通俗解释可以参考知乎上的回答:如何通俗易懂地解释「协方差」与「相关系数」的概念?


虽然Numpy中有计算协方差的接口numpy.corrcoef,是分别对两两向量进行比较并计算协方差,得到协方差矩阵。为了练习,我还是稍微自己计算了下协方差并只计算两列不同数据之间的相关系数:


def get_corrcoef(X, Y):

    # X Y 的协方差

    cov = np.mean(X*Y) - np.mean(X)*np.mean(Y)

    return cov/(np.var(X)*np.var(Y))**0.5


通过对上面得到的线性回归模型得到的预测的值与实际的值进行相关系数计算可以得到相关系数为


Correlation coeffient: 0.9864735622335125


局部加权线性回归(Local Weighted Linear Regression)


上面的数据点是通过公式y=3+1.7x+0.1sin(30x)添加噪声生成的数据,而标准的线性回归是一种无偏差估计,在计算所有点的时候都是无偏差的计算误差并通过优化方法优化误差,如果针对不同的点能够对误差进行调整便可以一定程度上避免标准线性回归带来的欠拟合现象。


也就是引入偏差来降低预测的均方误差,本部分总结下局部加权线性回归的方法。当我们获取某个xx的预测值的时候,我们需要计算回归系数w,但是如果针对样本中的数据,距离x越近我们就给个越大的权重,如果距离越远就给一个小的权重,这样就会使得针对x的预测值ypredict能够更贴合样本数据。


当我们需要对数据点xx相应的目标值进行预测的时候,我们需要给样本中的每个点赋予一个权重值wi (为了区分权重和回归系数,在这里用θ表示回归系数,w表示权重), 那么平方误差的表达式就变成:


通过矩阵可以表示成:


f(θ)对θ求导等于0得到:


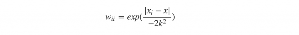
通过上面的公式,对于任意给定的未知数据可以计算出对应的回归系数θθ,并得到相应的预测值y, 其中W是一个对角矩阵,对角线上的元素wii对应样本点xi的权重值。


使用高斯核来赋值权重


那么权重的表达式又是怎样的呢,我们需要距离给定x的样本点的权重越高,LWRL使用核来对附近的点赋予更高的权重,最常用的是高斯核函数,对应表达式如下:


通过公式可以看到如果xi距离xx的距离越小,wii就会越大,其中参数k决定了权重的大小。k越大权重的差距就越小,k越小权重的差距就很大,仅有局部的点参与进回归系数的求取,其他距离较远的权重都趋近于零。如果k去进入无穷大,所有的权重都趋近于1,W也就近似等于单位矩阵,局部加权线性回归变成标准的无偏差线性回归,会造成欠拟合的现象;当k很小的时候,距离较远的样本点无法参与回归参数的求取,会造成过拟合的现象。


LWLR的Python实现


本部分对局部加权线性回归进行Python实现,对于给定数据求取相应回归系数:


def lwlr(x, X, Y, k):

    ''' 局部加权线性回归,给定一个点,获取相应权重矩阵并返回回归系数

    '''

    m = X.shape[0]

    # 创建针对x的权重矩阵

    W = np.matrix(np.zeros((m, m)))

    for i in range(m):

        xi = np.array(X[i][0])

        x = np.array(x)

        W[i, i] = exp((np.linalg.norm(x - xi))/(-2*k**2))

    # 获取此点相应的回归系数

    xWx = X.T*W*X

    if np.linalg.det(xWx) == 0:

        print('xWx is a singular matrix')

        return

    w = xWx.I*X.T*W*Y

    return w


我们对上部分使用的数据进行回归并绘制回归曲线:


当k = 0.5, 基本上就是无偏差的标准线性回归


Correlation coefficient: 0.9869292425124014


当k = 0.1, 可以较好的反应数据的潜在规律


Correlation coefficient: 0.997890402610583


当k = 0.03, 拟合的曲线较多的考虑了噪声数据导致过拟合的现象


Correlation coefficient: 0.9995975498285312


总结


本文总结了标准线性回归以及局部加权线性回归的基础知识,并对两张回归方式给与了Python的实现。可见局部加权线性回归在取得适当的k,便可以较好的发现数据的内在潜质,但是局部加权线性回归有个缺点就是类似kNN一样,每计算一个点的预测值就需要利用所有数据样本进行计算,如果数据量很大,计算量会是一个问题。


参考


  • 《Machine Learning in Action》

  • 如何通俗易懂地解释「协方差」与「相关系数」的概念?


看完本文有收获?请转发分享给更多人

关注「大数据与机器学习文摘」,成为Top 1%

登录查看更多
0

相关内容

线性回归是利用数理统计中回归分析,来确定两种或两种以上变量间相互依赖的定量关系的一种统计分析方法,运用十分广泛。其表达形式为y = w'x+e,e为误差服从均值为0的正态分布。

知识荟萃

精品入门和进阶教程、论文和代码整理等

更多

查看相关VIP内容、论文、资讯等
【2020新书】监督机器学习,156页pdf,剑桥大学出版社
专知会员服务
154+阅读 · 2020年6月27日
专知会员服务
142+阅读 · 2020年5月19日
【经典书】机器学习高斯过程,266页pdf
专知会员服务
235+阅读 · 2020年5月2日
【经典书】数据结构与算法C++,第二版,738页pdf
专知会员服务
171+阅读 · 2020年3月27日
机器学习速查手册,135页pdf
专知会员服务
345+阅读 · 2020年3月15日
【经典书】Python数据数据分析第二版,541页pdf
专知会员服务
197+阅读 · 2020年3月12日
【经典书】精通机器学习特征工程,中文版,178页pdf
专知会员服务
360+阅读 · 2020年2月15日
一文读懂线性回归、岭回归和Lasso回归
CSDN
34+阅读 · 2019年10月13日
sklearn 与分类算法
人工智能头条
7+阅读 · 2019年3月12日
用Python实现线性回归,8种方法哪个最高效?
七月在线实验室
7+阅读 · 2018年4月19日
线性回归:简单线性回归详解
专知
12+阅读 · 2018年3月10日
免费|机器学习算法Python实现
全球人工智能
6+阅读 · 2018年1月2日
动手写机器学习算法:SVM支持向量机(附代码)
七月在线实验室
12+阅读 · 2017年12月5日
机器学习(23)之GBDT详解
机器学习算法与Python学习
12+阅读 · 2017年10月25日
机器学习算法实践:Platt SMO 和遗传算法优化 SVM
Python开发者
7+阅读 · 2017年10月21日
机器学习(15)之支持向量机原理(一)线性支持向量机
机器学习算法与Python学习
6+阅读 · 2017年9月1日
Arxiv
7+阅读 · 2020年3月1日
Bivariate Beta LSTM
Arxiv
6+阅读 · 2019年10月7日
Neural Arithmetic Logic Units
Arxiv
5+阅读 · 2018年8月1日
Arxiv
5+阅读 · 2018年5月28日
Arxiv
5+阅读 · 2018年5月21日
Arxiv
8+阅读 · 2018年5月15日
Arxiv
5+阅读 · 2018年1月30日
VIP会员
相关VIP内容
【2020新书】监督机器学习,156页pdf,剑桥大学出版社
专知会员服务
154+阅读 · 2020年6月27日
专知会员服务
142+阅读 · 2020年5月19日
【经典书】机器学习高斯过程,266页pdf
专知会员服务
235+阅读 · 2020年5月2日
【经典书】数据结构与算法C++,第二版,738页pdf
专知会员服务
171+阅读 · 2020年3月27日
机器学习速查手册,135页pdf
专知会员服务
345+阅读 · 2020年3月15日
【经典书】Python数据数据分析第二版,541页pdf
专知会员服务
197+阅读 · 2020年3月12日
【经典书】精通机器学习特征工程,中文版,178页pdf
专知会员服务
360+阅读 · 2020年2月15日
相关资讯
一文读懂线性回归、岭回归和Lasso回归
CSDN
34+阅读 · 2019年10月13日
sklearn 与分类算法
人工智能头条
7+阅读 · 2019年3月12日
用Python实现线性回归,8种方法哪个最高效?
七月在线实验室
7+阅读 · 2018年4月19日
线性回归:简单线性回归详解
专知
12+阅读 · 2018年3月10日
免费|机器学习算法Python实现
全球人工智能
6+阅读 · 2018年1月2日
动手写机器学习算法:SVM支持向量机(附代码)
七月在线实验室
12+阅读 · 2017年12月5日
机器学习(23)之GBDT详解
机器学习算法与Python学习
12+阅读 · 2017年10月25日
机器学习算法实践:Platt SMO 和遗传算法优化 SVM
Python开发者
7+阅读 · 2017年10月21日
机器学习(15)之支持向量机原理(一)线性支持向量机
机器学习算法与Python学习
6+阅读 · 2017年9月1日
相关论文
Arxiv
7+阅读 · 2020年3月1日
Bivariate Beta LSTM
Arxiv
6+阅读 · 2019年10月7日
Neural Arithmetic Logic Units
Arxiv
5+阅读 · 2018年8月1日
Arxiv
5+阅读 · 2018年5月28日
Arxiv
5+阅读 · 2018年5月21日
Arxiv
8+阅读 · 2018年5月15日
Arxiv
5+阅读 · 2018年1月30日
Top
微信扫码咨询专知VIP会员