图文 | 稀疏感兴趣区域池化在目标检测中的应用

2020 年 2 月 12 日 计算机视觉战队


今天给大家分享一个有趣的算法,也是大家都比较熟悉的感兴趣区域池化类算法框架,在疫情重要的时期,大家记得多休息,但不能忘和我们计算机视觉战队一起学习进步!

专家

解读

图像数据与一个或多个核卷积,并生成相应的一个或多个特征映射。感兴趣区域图是从一个或多个特征图中提取出来的,并基于候选的一个或多个特征进行合并。池化生成的特征向量维数小于与一个或多个特征映射相关联的维数。在神经网络中,特征向量被展平并作为一个层输入。神经网络输出与图像数据中的对象相关联的分类。

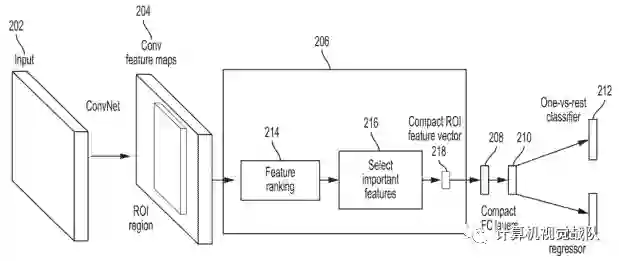
上图就是分类的特征选择过程,3个特征选择boxes用在了不同的类别上。特征选择box的数量取决于类别的数量。上图中的114就是感兴趣区域,106就是感兴趣区域池化后的特征图。其实在一副图片中有很多感兴趣区域。

下图是解释下CNN的运行过程,其实CNN可以学习一个对应的模式来提取重要的特征。其中216就是今天要提及的核心:

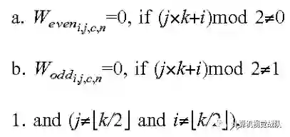
下图这个分别展示了Weven和Wodd的稀疏核:

Sparse ROI Pooling

ROI池化其实会导致稀疏和冗余的特征,特别是在水平和垂直不安全的位置(通过box突出显示)。本次技术主要是跳过奇数或者偶数索引的特征,通过这样做,他可以在不影响特征表示的情况下,将全连接层的参数减半。

CNN和目标检测的系统组件示意图

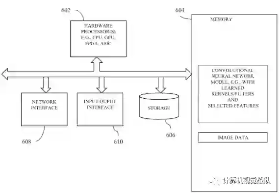
下图就展示了一个案例,检测图像中的目标方法的流程图。该方法至少由一个硬件处理器执行。702是图像的接收,图像数据可能包括真实数据。



END

如果想加入我们“计算机视觉战队”,请扫二维码加入学习群。计算机视觉战队主要涉及机器学习、深度学习等领域,由来自于各校的硕博研究生组成的团队,主要致力于人脸检测、人脸识别,多目标检测、目标跟踪、图像分割等研究方向。

我们开创一段时间的“计算机视觉协会”知识星球,也得到很多同学的认可,我们定时会推送实践型内容与大家分享,在星球里的同学可以随时提问,随时提需求,我们都会及时给予回复及给出对应的答复。

微信学习讨论群也可以加入,我们会第一时间在该些群里预告!











登录查看更多
1

相关内容

思想来自于视觉机制,是对信息进行抽象的过程。
【KDD2020】自适应多通道图卷积神经网络
专知会员服务
121+阅读 · 2020年7月9日
深度学习目标检测方法及其主流框架综述
专知会员服务
148+阅读 · 2020年6月26日
【CMU】基于图神经网络的联合检测与多目标跟踪
专知会员服务
59+阅读 · 2020年6月24日
【CVPR2020】多模态社会媒体中危机事件分类
专知会员服务
55+阅读 · 2020年4月18日
【中科院自动化所】视觉对抗样本生成技术概述
专知会员服务
37+阅读 · 2020年4月15日
KGCN:使用TensorFlow进行知识图谱的机器学习
专知会员服务
83+阅读 · 2020年1月13日
 【中科院信工所】社交媒体情感分析,40页ppt
专知会员服务
104+阅读 · 2019年12月13日
深度学习算法与架构回顾
专知会员服务
84+阅读 · 2019年10月20日
已删除
将门创投
6+阅读 · 2019年9月3日
最全综述 | 图像目标检测
计算机视觉life
31+阅读 · 2019年6月24日
目标检测技术之Faster R-CNN详解
论智
13+阅读 · 2018年1月25日
稀疏&集成的卷积神经网络学习(续)
计算机视觉战队
4+阅读 · 2017年11月18日
稀疏&集成的卷积神经网络学习
计算机视觉战队
6+阅读 · 2017年11月16日
Self-Attention Graph Pooling
Arxiv
5+阅读 · 2019年4月17日
Arxiv
4+阅读 · 2018年12月20日
Auto-Context R-CNN
Arxiv
4+阅读 · 2018年7月8日
Arxiv
8+阅读 · 2018年4月8日
Arxiv
7+阅读 · 2018年1月24日
Arxiv
4+阅读 · 2017年11月14日
VIP会员
相关VIP内容
【KDD2020】自适应多通道图卷积神经网络
专知会员服务
121+阅读 · 2020年7月9日
深度学习目标检测方法及其主流框架综述
专知会员服务
148+阅读 · 2020年6月26日
【CMU】基于图神经网络的联合检测与多目标跟踪
专知会员服务
59+阅读 · 2020年6月24日
【CVPR2020】多模态社会媒体中危机事件分类
专知会员服务
55+阅读 · 2020年4月18日
【中科院自动化所】视觉对抗样本生成技术概述
专知会员服务
37+阅读 · 2020年4月15日
KGCN:使用TensorFlow进行知识图谱的机器学习
专知会员服务
83+阅读 · 2020年1月13日
 【中科院信工所】社交媒体情感分析,40页ppt
专知会员服务
104+阅读 · 2019年12月13日
深度学习算法与架构回顾
专知会员服务
84+阅读 · 2019年10月20日
相关资讯
已删除
将门创投
6+阅读 · 2019年9月3日
最全综述 | 图像目标检测
计算机视觉life
31+阅读 · 2019年6月24日
目标检测技术之Faster R-CNN详解
论智
13+阅读 · 2018年1月25日
稀疏&集成的卷积神经网络学习(续)
计算机视觉战队
4+阅读 · 2017年11月18日
稀疏&集成的卷积神经网络学习
计算机视觉战队
6+阅读 · 2017年11月16日
相关论文
Self-Attention Graph Pooling
Arxiv
5+阅读 · 2019年4月17日
Arxiv
4+阅读 · 2018年12月20日
Auto-Context R-CNN
Arxiv
4+阅读 · 2018年7月8日
Arxiv
8+阅读 · 2018年4月8日
Arxiv
7+阅读 · 2018年1月24日
Arxiv
4+阅读 · 2017年11月14日
Top
微信扫码咨询专知VIP会员