教程 | 如何利用C++搭建个人专属的TensorFlow

2017 年 10 月 26 日 机器之心

选自GitHub

机器之心编译

参与:林川、刘晓坤


作者简单用 TensorFlow 中的计算图解释了机器学习的背后原理,然后列举了数个使用 C++实现 TensorFlow 的好处,如线性代数库的使用,运算符重载等等。


在开始之前,首先看一下最终成型的代码:


1. 分支与特征后端(https://github.com/OneRaynyDay/autodiff/tree/eigen)

2. 仅支持标量的分支(https://github.com/OneRaynyDay/autodiff/tree/master)


这个项目是我与 Minh Le 一起完成的。


为什么?


如果你修习的是计算机科学(CS)的人的话,你可能听说过这个短语「不要自己动手____」几千次了。它包含了加密、标准库、解析器等等。我想到现在为止,它也应该包含了机器学习库(ML library)。


不管现实是怎么样的,这个震撼的课程都值得我们去学习。人们现在把 TensorFlow 和类似的库当作理所当然了。他们把它看作黑盒子并让它运行起来,但是并没有多少人知道在这背后的运行原理。这只是一个非凸(Non-convex)的优化问题!请停止对代码无意义的胡搞——仅仅只是为了让代码看上去像是正确的。



TensorFlow


在 TensorFlow 的代码里,有一个重要的组件,允许你将计算串在一起,形成一个称为「计算图」的东西。这个计算图是一个有向图 G=(V,E),其中在某些节点处 u1,u2,…,un,v∈V,和 e1,e2,…,en∈E,ei=(ui,v)。我们知道,存在某种计算图将 u1,…,un 映射到 vv。


举个例子,如果我们有 x + y = z,那么 (x,z),(y,z)∈E。


这对于评估算术表达式非常有用,我们能够在计算图的汇点下找到结果。汇点是类似 v∈V,∄e=(v,u) 这样的顶点。从另一方面来说,这些顶点从自身到其他顶点并没有定向边界。同样的,输入源是 v∈V,∄e=(u,v)。


对于我们来说,我们总是把值放在输入源上,而值也将传播到汇点上。


反向模式求微分


如果你觉得我的解释不正确,可以参考下这些幻灯片的说明。


微分是 Tensorflow 中许多模型的核心需求,因为我们需要它来运行梯度下降。每一个从高中毕业的人都应该知道微分的意思。如果是基于基础函数组成的复杂函数,则只需要求出函数的导数,然后应用链式法则。


超级简洁的概述


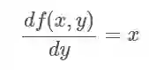
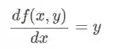
如果我们有一个像这样的函数:


对 x 求导:



对 y 求导:



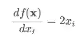
其它的例子:



其导数是:



 所以其梯度是:



链式法则,例如应用于 f(g(h(x))):



在 5 分钟内倒转模式


所以现在请记住我们运行计算图时用的是有向无环结构(DAG/Directed Acyclic Graph),还有上一个例子用到的链式法则。正如下方所示的形式:


x -> h -> g -> f


作为一个图,我们能够在 f 获得答案,然而,也可以反过来:


dx <- dh <- dg <- df


这样它看起来就像链式法则了!我们需要沿着路径把导数相乘以得到最终的结果。这是一个计算图的例子:


这就将其简化为一个图的遍历问题。有谁察觉到了这就是拓扑排序和深度优先搜索/宽度优先搜索?


没错,为了在两种路径都支持拓扑排序,我们需要包含一套父组一套子组,而汇点是另一个方向的来源。反之亦然。


执行


在开学前,Minh Le 和我开始设计这个项目。我们决定使用特征库后端(Eigen library backend)进行线性代数运算,这个库有一个叫做 MatrixXd 的矩阵类,用在我们的项目中:


class var {// Forward declarationstruct impl;public:    // For initialization of new vars by ptr    var(std::shared_ptr<impl>);    var(double);    var(const MatrixXd&);    var(op_type, const std::vector<var>&);        ...        // Access/Modify the current node value    MatrixXd getValue() const;    void setValue(const MatrixXd&);    op_type getOp() const;    void setOp(op_type);        // Access internals (no modify)    std::vector<var>& getChildren() const;    std::vector<var> getParents() const;    ...private:    // PImpl idiom requires forward declaration of the class:    std::shared_ptr<impl> pimpl;};struct var::impl{public:    impl(const MatrixXd&);    impl(op_type, const std::vector<var>&);    MatrixXd val;    op_type op;    std::vector<var> children;    std::vector<std::weak_ptr<impl>> parents;};


在这里,我们使用了一个叫「pImpl」的语法,意思是「执行的指针」。它有很多用途,比如接口的解耦实现,以及当在堆栈上有一个本地接口时实例化内存堆上的东西。「pImpl」的一些副作用是微弱的减慢运行时间,但是编译时间缩短了很多。这允许我们通过多个函数调用/返回来保持数据结构的持久性。像这样的树形数据结构应该是持久的。


我们有一些枚举来告诉我们目前正在进行哪些操作:


enum class op_type {    plus,    minus,    multiply,    divide,    exponent,    log,    polynomial,    dot,    ...    none // no operators. leaf.};


执行此树的评估的实际类称为 expression:


class expression {public:    expression(var);    ...    // Recursively evaluates the tree.    double propagate();    ...    // Computes the derivative for the entire graph.    // Performs a top-down evaluation of the tree.    void backpropagate(std::unordered_map<var, double>& leaves);    ...    private:    var root;};


在反向传播里,我们的代码能做类似以下所示的事情:


backpropagate(node, dprev): derivative = differentiate(node)*dprev for child in node.children: backpropagate(child, derivative) 


这几乎就是在做一个深度优先搜索(DFS),你发现了吗?


为什么是 C++?


在实际过程中,C++可能并不适合做这类事情。我们可以在像「Oaml」这样的函数式语言中花费更少的时间开发。现在我明白为什么「Scala」被用于机器学习中,主要就是因为「Spark」。然而,使用 C++有很多好处。


Eigen(库名)


举例来说,我们可以直接使用一个叫「Eigen」的 TensorFlow 的线性代数库。这是一个不假思索就被人用烂了的线性代数库。有一种类似于我们的表达式树的味道,我们构建表达式,它只会在我们真正需要的时候进行评估。然而,使用「Eigen」在编译的时间内就能决定什么时候使用模版,这意味着运行的时间减少了。我对写出「Eigen」的人抱有很大的敬意,因为查看模版的错误几乎让我眼瞎!


他们的代码看起来类似这样的:


Matrix A(...), B(...);
auto lazy_multiply = A.dot(B);
typeid(lazy_multiply).name(); // the class name is something like Dot_Matrix_Matrix.
Matrix(lazy_multiply); // functional-style casting forces evaluation of this matrix.


这个特征库非常的强大,这就是它作为 TensortFlow 主要后端之一的原因,即除了这个慵懒的评估技术之外还有其它的优化。


运算符重载


在 Java 中开发这个库很不错——因为没有 shared_ptrs、unique_ptrs、weak_ptrs;我们得到了一个真实的,有用的图形计算器(GC=Graphing Calculator)。这大大节省了开发时间,更不必说更快的执行速度。然而,Java 不允许操作符重载,因此它们不能这样:


// These 3 lines code up an entire neural network!
var sigm1 = 1 / (1 + exp(-1 * dot(X, w1)));
var sigm2 = 1 / (1 + exp(-1 * dot(sigm1, w2)));
var
loss = sum(-1 * (y * log(sigm2) + (1-y) * log(1-sigm2)));


顺便说一下,上面是实际使用的代码。是不是非常的漂亮?我想说的是这甚至比 TensorFlow 里的 Python 封装还更优美!我只是想表明,它们也是矩阵。


在 Java 中,有一连串的 add(), divide() 等等是非常难看的。更重要的是,这将让用户更多的关注在「PEMDAS」上,而 C++的操作符则有非常好的表现。


特征,而不是一连串的故障


在这个库中,可以确定的是,TensorFlow 没有定义清晰的 API,或者有但我不知道。例如,如果我们只想训练一个特定子集的权重,我们可以只对我们感兴趣的特定来源做反向传播。这对于卷积神经网络的迁移学习非常有用,因为很多时候,像 VGG19 这样的大型网络可以被截断,然后附加一些额外的层,这些层的权重使用新领域的样本来训练。


基准


在 Python 的 TensorFlow 库中,对虹膜数据集进行 10000 个「Epochs」的训练以进行分类,并使用相同的超参数,我们有:


1.TensorFlow 的神经网络: 23812.5 ms

2.「Scikit」的神经网络:22412.2 ms

3.「Autodiff」的神经网络,迭代,优化:25397.2 ms

4.「Autodiff」的神经网络,迭代,无优化:29052.4 ms

5.「Autodiff」的神经网络,带有递归,无优化:28121.5 ms


令人惊讶的是,Scikit 是所有这些中最快的。这可能是因为我们没有做庞大的矩阵乘法。也可能是 TensorFlow 需要额外的编译步骤,如变量初始化等等。或者,也许我们不得不在 python 中运行循环,而不是在 C 中(Python 循环真的非常糟糕!)我自己也不是很确定。我完全明白这绝不是一种全面的基准测试,因为它只在特定的情况下应用了单个数据点。然而,这个库的表现并不能代表当前最佳,所以希望各位读者和我们共同完善。


原文链接:https://oneraynyday.github.io/ml/2017/10/20/Tensorflow-C++/


本文为机器之心编译,转载请联系本公众号获得授权

✄------------------------------------------------

加入机器之心(全职记者/实习生):hr@jiqizhixin.com

投稿或寻求报道:content@jiqizhixin.com

广告&商务合作:bd@jiqizhixin.com

登录查看更多
1

相关内容

最新《自动微分手册》77页pdf
专知会员服务
103+阅读 · 2020年6月6日
【CMU】深度学习模型中集成优化、约束和控制,33页ppt
专知会员服务
46+阅读 · 2020年5月23日
【干货书】机器学习Python实战教程,366页pdf
专知会员服务
346+阅读 · 2020年3月17日
一网打尽!100+深度学习模型TensorFlow与Pytorch代码实现集合
【新书】傻瓜式入门深度学习,371页pdf
专知会员服务
193+阅读 · 2019年12月28日
100行Python代码,轻松搞定神经网络
大数据文摘
4+阅读 · 2019年5月2日
你真的会正确地调试 TensorFlow 代码吗?
数据库开发
7+阅读 · 2019年3月18日
浅显易懂的分布式TensorFlow入门教程
专知
7+阅读 · 2018年6月22日
从基础概念到实现,小白如何快速入门PyTorch
机器之心
13+阅读 · 2018年2月26日
教你用Python来玩跳一跳
七月在线实验室
6+阅读 · 2018年1月2日
A Modern Introduction to Online Learning
Arxiv
21+阅读 · 2019年12月31日
Arxiv
5+阅读 · 2018年10月23日
Arxiv
3+阅读 · 2018年8月27日
The Matrix Calculus You Need For Deep Learning
Arxiv
12+阅读 · 2018年7月2日
Arxiv
8+阅读 · 2018年5月15日
Arxiv
4+阅读 · 2018年4月9日
VIP会员
相关VIP内容
最新《自动微分手册》77页pdf
专知会员服务
103+阅读 · 2020年6月6日
【CMU】深度学习模型中集成优化、约束和控制,33页ppt
专知会员服务
46+阅读 · 2020年5月23日
【干货书】机器学习Python实战教程,366页pdf
专知会员服务
346+阅读 · 2020年3月17日
一网打尽!100+深度学习模型TensorFlow与Pytorch代码实现集合
【新书】傻瓜式入门深度学习,371页pdf
专知会员服务
193+阅读 · 2019年12月28日
相关资讯
100行Python代码,轻松搞定神经网络
大数据文摘
4+阅读 · 2019年5月2日
你真的会正确地调试 TensorFlow 代码吗?
数据库开发
7+阅读 · 2019年3月18日
浅显易懂的分布式TensorFlow入门教程
专知
7+阅读 · 2018年6月22日
从基础概念到实现,小白如何快速入门PyTorch
机器之心
13+阅读 · 2018年2月26日
教你用Python来玩跳一跳
七月在线实验室
6+阅读 · 2018年1月2日
相关论文
Top
微信扫码咨询专知VIP会员