顶刊作者如何提升文章档次的?以电化学方向为例

2019 年 5 月 8 日 材料科学与工程
点击上方「材料科学与工程」快速关注
材料类综合、全面、专业的微信平台


随着仿真模拟技术的发展,仿真模拟技术被运用到了越来越多的科研邻域之中。得益于仿真模拟的快速发展,计算模拟在电化学的运用日益广泛,“实验+计算模拟”的研究模式已逐渐形成。以电化学方向为例,我们看看如何模拟循环伏安法电化学阻抗谱。最近刚刚发表在Nature Communications ( Nature comm. 2019,10, 1890.) 上的一篇文章就使用这两种方法研究了硫化物型固体电解质材料。近年来,硫化物型固体电解质材料的研究引起了广泛的关注在电池行业中。特别是磷的氧化分解和硫基固态电解质一直被认为是实现这一目标的主要障碍之实际的应用程序。文章演示了这种现象在什么时候可以被利用硫代磷酸锂被用作电化学上的“开关”功能氧化还原介质发生器的激活,商用散装硫化锂高达70瓦特%硫化锂电极含量。x射线吸附近边能谱与电化学阻抗谱和拉曼光谱表明了催化作用的产生硫化锂第一次充电时的氧化还原介质。与预溶剂化氧化还原相反该设计将硫化锂的活化过程从介质中分离出来预溶剂化氧化还原对电池低电解质含量运行的限制介质。在严格的测试条件下,证明了其合理的性能。

应用循环伏安法和电化学阻抗谱研究硫化物型固体电解质材料


在电化学领域,循环伏安法分析技术通常使用微盘作为工作电极。与宏观电极不同,微型电极上的扩散在实验中的时间尺度上发生得非常快。为了简化分析,我们可以采用近似法,即假设微盘在伏安法研究的时间尺度上具有稳态扩散属性,从而消除了对时变模型的需要。电化学阻抗谱是一种通用的实验技术,可提供有关电化学电池的各种物理和化学现象的信息。通过对相关物理过程进行建模,我们可以建设性地解释实验结果,并评估控制电池的物理量的大小。

循环伏安法

循环伏安法是一种电化学技术。在该技术中,电位被反复扫描(例如,在起始电位和终止电位之间),同时测量产生的电流。伏安法一次扫描便可以提供关于系统行为的多样性信息,如电极表面的吸附-解吸过程,从而使该方法广泛应用于多种系统。

科研人员使用包括微盘电极在内的不同类型的电极作为循环伏安法的工作电极。微盘电极 是一种具有微米级半径的盘形电极,嵌入与电极表面齐平的绝缘体中。由于尺寸较小,微盘电极拥有相对其尺寸而言较大的扩散层和较小的总电流,从而有助于实现稳态条件。电极尺寸越小,达到稳态所需的时间就越短。另外,微盘电极即使在很高的扫描速率下,失真度也很小。使用小尺寸电极研究伏安法的优势在于它们具有使电流密度最大化的传质特性,从而使科学家能够观察到在宏电极中无法观察到的电化学行为。

在标准循环伏安实验中,除了用来探测溶液的工作电极外,还包括配有对电极(用于形成完整电路)和参比电极(未极化)的电池,因此,假设其电位是恒定的,通过参比电极电位,可以测量工作电极或对电极的电位。另外,可加入支持电解质以增加溶液的电导率。

微盘电极是工作电极,对电极处于相对较远的位置。参比电极通过高阻抗伏特计与工作电极连接,工作电极和对电极之间的电流通过低阻抗安培计测量。稳压器通过电池调节电位。在现代稳压器中,伏特计和安培计一般是内置的。


循环伏安系统由一个稳压器、电流-电压转换器以及生成伏安图的数据采集系统组成,其中稳压器使工作电极电位相对于参比电极保持在恒定水平。循环伏安图有多种不同的形状,一般通过绘制电流密度与外加电位的关系图表示。在使用平面电极测量单个可逆电极反应的情况下,图形呈现“双峰”形状。然而,图形的形状取决于电极和电解质的组成。

典型的循环伏安图双峰形状

通过 COMSOL Multiphysics微盘电极上建立伏安法模型

模型包含一个二维轴对称域,COMSOL Multiphysics® 软件的无限元 域特性用于将同心区域的本体溶液扩展到无穷大。因为我们假设电化学电池比电极大几个数量级,所以这是一种合适的近似法。

微盘电极与周围电解质的几何模型示意图。注意,与第一幅图中的电池相比,该图结构是上下颠倒的,电极表面朝上,而第一幅图显示的电极表面朝下(实际结构中的规范)。模型中没有考虑重力,所以在这种情况下,翻转对模型结果没有影响。


如上所述,我们添加支持电解质以提高电解质的电导率。由于加入了大量的支持电解质,可以假设电解质电位是一个常数,并设置 φl= 0。为了模拟这种情况下的电化学过程,我们使用了电分析接口,该接口拥有这一假设条件下氧化还原电对的反应物和生成物的化学物质传递方程。扩散方程描述了电活性物质 A 和 B 在稳态条件下的化学传递。

接下来,我们将边界应用到本体溶液,使表面、电极和物质绝缘,并解释其中涉及的电化学过程。例如,物质 A 是电极边界的反应物,当被氧化时,失去一个电子,形成产物 B。

在建立了边界方程后,我们开始进行研究。在本例中,我们不需要进行时变分析,因为使用了近似法,即假设微型电极在时间尺度上具有稳态扩散属性。稳态结果是准确的,这意味着我们可以使用稳态研究。在近似准静态下,我们使用参数扫描来获得伏安扫描电位处的电流密度。

结果分析

下图显示了微盘电极周围的稳态浓度分布剖面图(注意二维截面的不同形状)。在离电极较远的地方,浓度呈半球形分布;但在靠近微盘边缘处,通量增加。对于动力学较快的情况,电极表面的浓度是均匀的,导致电极表面的通量分布略有不均,这意味着反应分布也略有不均。

A 物质在微盘电极上传递控制的氧化反应浓度分布剖面图。注意在 r = 0 处有旋转对称性。流线显示微盘电极表面的通量(灰色突出显示)以及反应速率,在边缘地带(右)比中心部位(左)要高。


接下来,我们来看看循环伏安图,该图显示了电极动力学与扩散或化学物质传递之间的关系,其中电流密度是有限的。

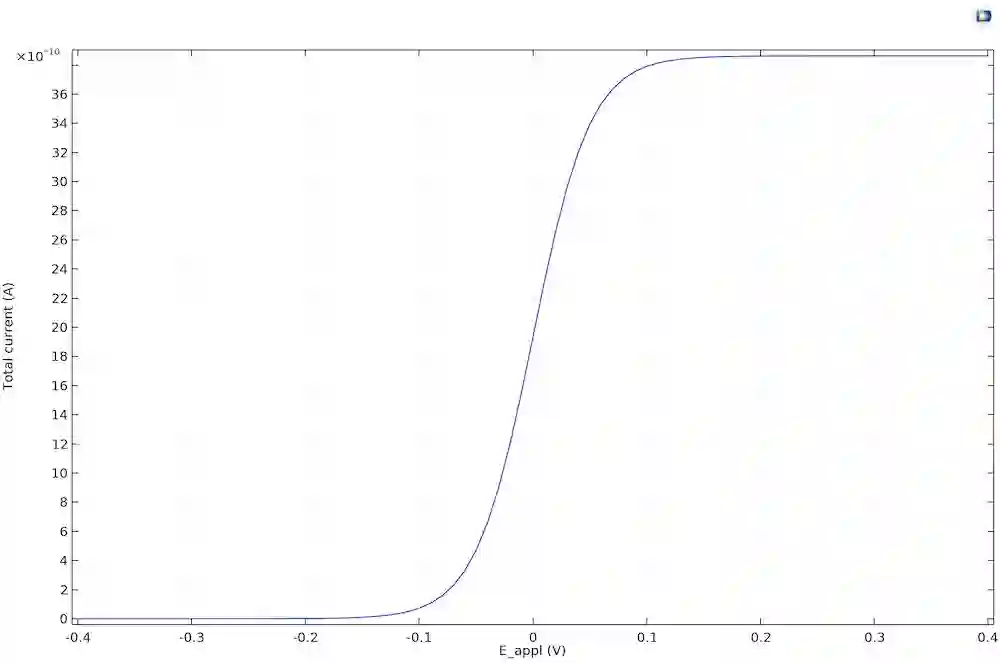
微盘电极上记录的稳态循环伏安法。


由于扩散速率有限,电流密度受到限制。当 E <Eeq. At E < Eeq时,电流密度为 0 (不受限制),在 E < Eeq. At E < Eeq条件下,只有可能发生还原反应,因为电解质中没有氧化物质,所以什么也不会发生。当氧化反应加速,快到足以消耗电极表面的大量反应物时,电流就会受到 A 物质向工作电极传递速率的限制。由于扩散层是平衡的,因此这种受传递限制的电流在时间上是恒定的。

因为生成物已扩散到本体溶液中,使用稳态伏安法时,微盘电极不会观察到负电流。由于在时间尺度上的快速扩散,使本体与电极表面可以快速达到平衡态,在本体电解质中没有生成物,所以一直是氧化反应过程。

电化学阻抗谱

电化学阻抗谱(Electrochemical impedance spectroscopy,简称 EIS)是电化学领域广泛使用的实验方法,应用于电化学传感、电池和燃料电池的研究。这项技术的工作原理是,首先在固定电压下使电池极化,然后施加一个小的附加电压(偶尔施加电流)来干扰系统。扰动输入随时间作时谐振荡,产生交流电,如下图所示:

电池电压的振荡扰动产生振荡电流响应。

在特定幅度和频率的外加电压下,电化学电池产生频率相同的特定振幅的交流电。在实际系统中,对于其他频率的分量,响应也可能非常复杂,我们将在下文进行讨论。

在 EIS 实验中,我们通常在 mHz 到 kHz 范围内改变所施加的扰动的频率,响应的相对振幅以及输入信号与输出信号之间的时移(或相移)随施加的频率而变化。

这些因素取决于电化学电池中的物理过程对振荡激励的响应速度。不同的频率能够区分具有不同时间尺度的不同过程。在较低频率下,有时间进行的扩散或缓慢的电化学反应,以响应电池的交替极化;在较高频率下,外加激励比化学反应更快地改变方向,因此响应主要由双层充放电的电容决定。

时域响应不是解释这些频率相关振幅和相移的最简洁的方法。因此,我们定义了一个称为阻抗 的量。像静态系统中的电阻一样,阻抗是电压与电流的比值,但它使用复数的实部和虚部来表示振幅和相位与输入信号和输出响应的关系。将阻抗与时域响应联系起来的数学工具是傅立叶变换,它表示振荡信号的频率分量。

为了更全面地解释简单情况下的阻抗概念,我们将输入电压看作以角频率(ω)振荡的余弦波:

由此可见,响应也是余弦波,但具有相位偏移(φ)。与上图中的时移相比,相位偏移表示为 

 ,电流的大小及其相位偏移取决于电池的物理和化学性质。

现在,我们通过欧姆定律推导出电阻:

这个量随时间变化,其频率与扰动信号的频率相同。当分子等于零时,这个量值为零;当分母等于零时,值异常。因此,与直流系统中的电阻不同,它不是一个非常有用的量!

相反,根据欧拉定理,我们将时变量表示为复指数的实部,因此:

并且

我们将系数和 分别表示为 和 

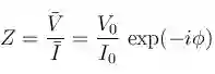
这些量是复振幅,可以根据原始时域正弦信号的傅立叶变换来理解,它们表示电压和电流的不同振幅和相位差。由于系统中的所有量都呈正弦振荡,因此我们通过比较这些复杂的量(而不是时域量)来理解物理效应。为了描述振荡问题(通常称为相量理论),我们将电阻的复数量模拟定义为:

这是系统的阻抗,顾名思义,是我们在电化学阻抗谱中测量的量,它是具有大小和相位的复数量,代表电阻和电容效应。电阻是复数阻抗的实部,与施加的电压同相,电容是复数阻抗的虚部,与施加的电压不同相。

EIS 专业人员以频谱的形式观察阻抗,通常使用奈奎斯特图,该图能够表现出阻抗虚部与实部的关系,在测量阻抗的每个频率下都有一个数据点。下图是一个仿真示例,我们将在下一节中讨论具体的建模过程。

基于电化学阻抗谱实验的模拟奈奎斯特图。右上角的点处于低频率(mHz),左下角的点处于较高频率(>100 Hz)


在上图中,左侧的半圆形区域显示了在快于物理扩散过程的频率下,双层电容与电极动力学效应之间的耦合,右侧的“扩散尾”对角线显示较低频率下的扩散效应。

由于 EIS 实验可以从一次分析中提取出许多不同物理效应的信息,因此这种实验非常有用。奈奎斯特图中的扩散系数、动力学速率常数和特征尺寸等属性之间存在定量关系。通常,EIS 实验是通过电阻和电容的“等效电路”来解释的,该电路产生的频率相关阻抗与上面奈奎斯特图中所示的阻抗相似。

当电压与电流之间存在线性关系时,傅立叶变换中只会出现一个频率,从而可以大大简化分析过程。

为了解释阻抗方面的简谐波,我们需要电流响应以与输入电压相同的频率振荡,这意味着系统必须做出线性响应。对于电化学电池来说,我们通常可以通过确保外加电压比 RT/F 小来实现这一点,RT/F是气体常数和温度的乘积与法拉第常数的比值,这就是电化学中特有的“热电压”,在常温下约为 25 mV。较小的电压变化通常会引起线性响应,而较大的电压变化会引起明显的非线性响应。

当然,通过仿真来预测时域电流时,我们随时可以考虑非线性情况,并用数值方法进行傅立叶变换来研究其对阻抗的影响。实际上,上述阻抗解释最适合谐波假设。因此,阻抗测量通常以与瞬态技术互补的方式使用,如电流分析法或伏安法,这些技术更适合研究非线性效应或滞后效应。

在电化学领域,许多过程都能进行仿真模拟。通过模拟能帮助优化设计,帮助我们分析和理解各种物理过程,提高科研效率,有助于创造优质科研成果。

发表高水平SCI论文

不想输在起跑线上?

所以你需要

专注科研可视化模拟服务的我们

因为我们擅长两件事情

1、帮你 模拟!

2、教你 模拟!


【帮你模拟】

数十位博士组成的模拟工程师团队

深厚的科研背景+专业的模拟水准

每年为超过200个课题组服务

制作了超过500个有限元模拟作品


【教你模拟】

我们授你以鱼

更想授你以渔

所以自2018年起

我们便开始在北京和上海举办

科研有限元模拟技能培训会

如果你是没基础科研小白,不要担心入门难,因为我们90%以上的学员都是零基础,经验丰富的金牌讲师,手把手带你从入门到精通;

如果你是有基础老司机,不要担心课程只是蜻蜓点水浮于表面,充实的案例教学模式,带你挖掘更多隐藏技能,游刃有余玩转各种科研绘图软件。


【课程内容】

1.入门有限元仿真模拟

有限元方法的基本内涵,仿真模拟基本理论的讲解,以及该方法在科学研究中的广泛应用领域和重要意义,能够帮助科研人员解决的实际问题,不同仿真模拟软件(COMSOL ANSYS Abaqus)的特点和在科研上运用的优缺点比较;

COMSOL软件介绍及基本操作演示和教学,包括软件界面学习、创建和导入几何模型、物理场设置、网格剖分与求解和结果后处理等。

2.有限元模拟的一般思路和通用方法

理解线性和非线性有限元法的理论基础,了解COMSOL 多物理场仿真软件的基本知识,以典型的多物理场模拟为入门教学案例,帮助学员迅速入门并掌握有限元分析方法的基本思路,并能够灵活应用于自己的研究领域。

3.COMSOL软件的高级使用技巧

结合大量科研实际案例进行实践操作过程的演示教学,包括几何建模注意事项,优化网格划分的方法与技巧,结果后处理与复杂图表的绘制方法,多物理场耦合的方法与技巧,通过函数、变量与自定义方程的使用模拟复杂的问题等,深入学习COMSOL软件的高级操作技巧,并结合学员科研背景进行案例演示,进一步挖掘实操中的常用技巧。

4.多物理场仿真建模的高效技术解决方案

结合实例学习多物理场仿真有限元法的数学理论基础,多物理场耦合的分析方法和注意事项,添加方程式及耦合分析;求解时域,频域和特征值问题;移动网格和自适应网格方法,查找,理解和排除建模中的错误,用户工作效率最大化的有效建模,仿真模拟在科研中的实战演练,结合学员背景与最新顶级期刊案例进行仿真模拟实战训练,进一步深入学习COMSOL软件的指导与建议,针对科研工作中的问题和老师当面交流,理清思路,解决模拟困难。


【部分教学案例展示】

•     几何建模注意事项

•       优化网格划分的方法与技巧

•     结果后处理与复杂图表绘制

•     多物理场耦合的方法与技巧

     通过函数、变量与自定义方程的使用模拟复杂的问题

•     纳米摩擦发电机仿真模拟

•     微流体物质混合模拟

•     金属光栅衍射

【课程目标】

提高文章中稿率、冲高影响因子的关键,在于数据的说服力是否足够强大。实验结果不理想,数据不够完美,论文内容缺乏支撑,这些问题有限元仿真模拟都可以轻松解决。帮助文章轻轻松松更上一区,让你的实验结果从此告别“差强人意”,高影响因子不是梦!

在当今的高档次科研论文中我们能够见到许多工作都使用到了仿真模拟来阐述科学问题。一直以来仿真模拟就是一项重要的科研技能,在许多物理和工程类学科(力学,光学,流体力学,电磁学,声学,化工)中发挥着不可替代的作用。许多科研工作的理论分析,结构设计和优化都依靠仿真模拟来完成。近年来随着交叉学科的发展,仿真模拟的需求也不限于上述的学科,在新兴的材料科学,能源科学,生命科学的研究工作中也越来越多的应用到仿真模拟这一工具。另一方面随着友好易用的商用仿真模拟软件COMSOL的出现,仿真模拟不再是一项需要深厚理论基础的高门槛技术。通过COMSOL软件的使用,越来越多的科研工作者可以利用仿真模拟帮助自己的研究工作。

本课程专门针对科研学术领域,为学员提供仿真模拟软件COMSOL Multiphysics 软件使用的全面详细讲解。课程从入门级内容开始,循序渐进地讲解数值仿真中的模型分析方法,以及建模操作流程(其中包括创建几何、网格剖分、设定物理场、求解及结果的后处理等),让学员全面掌握整个建模流程,并能够独立地使用 COMSOL 求解相关仿真问题。有无基础的学员均可参加培训,我们将根据学员的专业背景和软件基础量身定制课程内容


【课程福利】

报名后可无限次参加中科幻彩有限元模拟同类课程,并随课赠送COMSOL高级建模指导资料、必备软件下载安装和常用有限元模拟案例模型文件,课后学员交流群持续讨论学习/专业讲师答疑指导

学员群课后交流 讲师随时解答


【课程特色】

★特色一:COMSOL可以更好地服务于科研群体。我们课程将从科研实例出发,帮助学员掌握各种技巧和套路,轻松玩转有限元模拟软件。

★特色二:讲师总结八年有限元模拟经验,带领学员快速入门,学会如何从实际问题中提炼出物理模型,建立物理建模思维,掌握仿真模拟的一般方法和通用思路。

★特色三:将化学、物理、生物、材料等领域中典型模型作为实战案例,同时根据学员专业背景进行素材整理,量身定制课程内容,将学以致用发挥到极致。

★特色四:建立专属学员微信群,课前专业助教协助安装软件下载素材包,课后讲师长期群内随时答疑,不定期推送模拟技能提升小视频,帮助学员轻松应对仿真模拟中的常见难题。

★特色五:我们承诺:学员一次报名,终身免费复学。无需担忧学不会、学不精,只要你愿意学,幻彩保证奉陪到底。


【讲师简介】

Dr. Li

中科幻彩仿真模拟事业部技术总监

中国科学院博士

美国加州大学洛杉矶分校博士后

全国物理奥林匹克竞赛金牌、美国数学建模大赛一等奖(Final Winner

以第一作者在Nature Communications/ Science Advances/ Advanced Materials/ JACS等顶级杂志发表多篇论文

八年化学/材料/物理/工程/生物仿真模拟经验

百余个通过模拟显著提升文章档次的案例


【报名通道】

时间地点:

2019年6月1~2日 北京·中科院过程所

2019年6月8-9日 上海·上海科技大学

2019年7月6~7日 北京·中科院过程所

2019年7月13-14日 上海·上海科技大学


注册费用:

原价:2990元/人

团报价:2790元/人(3人及以上)

报名咨询:17611790910(毛老师)

备注:如有专场培训需求,可安排讲师赴贵单位开展专场培训,专场培训价格更优,详询请加课程助理微信:17611790910

提供正规发票(包括会议注册表、邀请函等报销材料)、费用包含两日午餐,住宿及其他费用自理。


【报名方式】

扫描下方二维码在线填写报名表,自主选择场次,工作人员会在收到报名信息的第一时间电话联系确认相关信息。 

【缴费方式】

1.银行转账汇款(由中科卓研代收)

开户行:北京银行中关村海淀园支行

收款单位:北京中科卓研科技有限公司

银行账号:20000032746600012611147

备注:姓名+单位+场次

2.支付宝转账

企业支付宝账户:zhongkehuancai@126.com

请核对户名:北京中科幻彩动漫科技有限公司

3.现场刷卡/现金

培训当天可刷公务卡或现金或微信支付,请扫码填写报名信息以便我们提前为您准备发票等报销手续。

【常见问题】

Q:有限元仿真模拟对我的论文有怎样的帮助,真的能提高文章档次吗?

A:对于一部分的研究领域,例如人工超材料,理论上的模拟计算可以说是必不可少的。而对于更多的研究领域,模拟计算可以作为实验的补充,能进一步验证实验的结论,提高结论的说服力。理论模拟丰富了文章的内容,在工作量上也使文章更充实。另外模拟计算很多时候可以优化实验设计,提高实验效率。

 

Q:我是零基础学员,两天的时间也能学会吗?

A:我们的培训就是针对零基础学员的。我们的课程一方面讲授模拟软件的使用,更重要的是另一方面讲解科研中的理论建模的思维方法。如何把模拟加入自己的科研工作,提升文章的质量。


Q:什么专业方向都可以做有限元模拟吗?

A:有限元方法是一种一般性的数值计算的方法,用来求解各种偏微分方程,理论上只要是能用偏微分方程描述的物理化学过程都可以都用有限元方法求解。有限元不仅在各个物理学科和工程领域这些传统领域有广泛的应用,而且现在越来越多的运用到交叉学科的研究中,例如柔性传感器件,能源器件,生物工程,微流控等等几乎目前所有的热门研究领域。

 

Q:每场培训有多少学员呀?不会是那种人山人海的大课吧?

A:为保证教学质量,也为学员营造舒适的学习环境,我们每场培训都会将招生人数限制在30人以内,以保证良好的课堂秩序,同时安排助教协助学员进行软件安装、现场答疑、课堂辅助教学等。

 

Q:我是慢热型的学生,接受新知识慢,一次学不够怎么办?

A:老学员可以免费复听,一次报名终身免费复学,只要你学不够,我们就一直教下去~

 

Q:可以开具发票进行报销吗?

A:当然可以!我们将为学员开具正规发票,并可以根据学员报销需求提供培训邀请函、项目明细清单、会议注册表等材料,并在培训当天将发票和报销材料发放给学员。

 

Q:培训提供食宿吗?

A:我们为学员提供两日培训的午餐,住宿需要学员自费,我们会在报名确认邮件中发送周边酒店信息,方便学员选择和预定。

往期佳作

北京中科幻彩动漫科技有限公司,位于北京海淀区中关村恒兴大厦5F,由中科院化学所和北京大学研究人员创立,主营科研论文插图封面设计与培训、有限元仿真模拟与培训、二维/三维动画等,是目前国内最大的科学可视化服务商,现已与Wiley®、Springer®Elsevier®等出版单位建立合作关系。公司设计作品已发表在包括Science Nature Cell PNAS等各学科国际著名杂志上,拥有超过五千幅的配图和模拟制作经验。

               

投稿、合作,点击此处

登录查看更多
0

相关内容

【ICML2020】持续图神经网络,Continuous Graph Neural Networks
专知会员服务
151+阅读 · 2020年6月28日
【KDD2020-清华大学】图对比编码的图神经网络预训练
专知会员服务
46+阅读 · 2020年6月18日
专知会员服务
126+阅读 · 2020年6月12日
中科大-人工智能方向专业课程2020《脑与认知科学导论》
人工智能顶刊TPAMI2019最新《多模态机器学习综述》
专知会员服务
96+阅读 · 2019年10月18日
周志华教授:如何做研究与写论文?
专知会员服务
161+阅读 · 2019年10月9日
【精益】精益生产与智能制造的联系和支撑
产业智能官
39+阅读 · 2019年9月14日
Nature 一周论文导读 | 2019 年 8 月 8 日
科研圈
6+阅读 · 2019年8月18日
Nature 一周论文导读 | 2019 年 5 月 30 日
科研圈
15+阅读 · 2019年6月9日
Science 一周论文导读 | 2019年4月26日
科研圈
3+阅读 · 2019年5月5日
Nature 一周论文导读 | 2019 年 2 月 28 日
科研圈
13+阅读 · 2019年3月10日
Nature 一周论文导读 | 2019 年 2 月 14 日
科研圈
7+阅读 · 2019年2月24日
【Blood】去甲基化治疗失败后,MDS应如何治疗?
Nature 一周论文导读 | 2018 年 5 月 24 日
科研圈
11+阅读 · 2018年5月27日
思路+步骤+方法,三步教你如何快速构建用户画像
已删除
将门创投
6+阅读 · 2017年7月6日
Arxiv
102+阅读 · 2020年3月4日
Self-Attention Graph Pooling
Arxiv
5+阅读 · 2019年4月17日
Foreground-aware Image Inpainting
Arxiv
4+阅读 · 2019年1月17日
Arxiv
3+阅读 · 2018年10月25日
Arxiv
6+阅读 · 2018年6月20日
Arxiv
9+阅读 · 2018年5月22日
VIP会员
相关VIP内容
【ICML2020】持续图神经网络,Continuous Graph Neural Networks
专知会员服务
151+阅读 · 2020年6月28日
【KDD2020-清华大学】图对比编码的图神经网络预训练
专知会员服务
46+阅读 · 2020年6月18日
专知会员服务
126+阅读 · 2020年6月12日
中科大-人工智能方向专业课程2020《脑与认知科学导论》
人工智能顶刊TPAMI2019最新《多模态机器学习综述》
专知会员服务
96+阅读 · 2019年10月18日
周志华教授:如何做研究与写论文?
专知会员服务
161+阅读 · 2019年10月9日
相关资讯
【精益】精益生产与智能制造的联系和支撑
产业智能官
39+阅读 · 2019年9月14日
Nature 一周论文导读 | 2019 年 8 月 8 日
科研圈
6+阅读 · 2019年8月18日
Nature 一周论文导读 | 2019 年 5 月 30 日
科研圈
15+阅读 · 2019年6月9日
Science 一周论文导读 | 2019年4月26日
科研圈
3+阅读 · 2019年5月5日
Nature 一周论文导读 | 2019 年 2 月 28 日
科研圈
13+阅读 · 2019年3月10日
Nature 一周论文导读 | 2019 年 2 月 14 日
科研圈
7+阅读 · 2019年2月24日
【Blood】去甲基化治疗失败后,MDS应如何治疗?
Nature 一周论文导读 | 2018 年 5 月 24 日
科研圈
11+阅读 · 2018年5月27日
思路+步骤+方法,三步教你如何快速构建用户画像
已删除
将门创投
6+阅读 · 2017年7月6日
相关论文
Arxiv
102+阅读 · 2020年3月4日
Self-Attention Graph Pooling
Arxiv
5+阅读 · 2019年4月17日
Foreground-aware Image Inpainting
Arxiv
4+阅读 · 2019年1月17日
Arxiv
3+阅读 · 2018年10月25日
Arxiv
6+阅读 · 2018年6月20日
Arxiv
9+阅读 · 2018年5月22日
Top
微信扫码咨询专知VIP会员