学会通知 | 2019第二届中国“AI+”创新创业大赛--无人系统技术大赛

2019 年 8 月 8 日 中国人工智能学会


各相关单位:

2019第二届中国“AI+”创新创业大赛--无人系统技术大赛(以下简称“大赛”)将于2019年8月至11月举行。

无人系统是人工智能研究中的重要内容,近年来无人系统技术发展迅速,并且其应用领域不断扩展。为了促进无人系统的技术交流和发展,中国人工智能学会和清华大学特此联合主办本次无人系统技术大赛。为从事人工智能及其在无人系统应用研究的科研人员、产业界从业人员以及AI技术爱好者提供一个良好的沟通平台。现将大赛的有关事项通知如下:


一.大赛机构

1.主办单位

中国人工智能学会

2.组织单位

清华大学人工智能研究院

中国航天科工集团第三研究院总体部

3. 承办单位

清华大学人工智能研究院智能机器人研究中心

北京海鹰科技情报研究所《无人系统技术》编辑部

复杂系统控制与智能协同技术重点实验室


二.参赛办法

1.参赛对象

本次大赛是面向全国无人系统领域的研究者的赛事,包含高校,科研机构,无人系统研究企业、研究协会和对相关研究有兴趣的研究人员,欢迎社会各界和个人积极申报参赛。

2.参赛组队形式

选手可在网上自行组队报名或个人参赛,选手的地区、年龄、职业不限。

参赛个人及单位要求遵守科研诚信,无不良记录;参赛项目的软件、系统、技术及相关专利专属于参赛团队及个人,与其他任何单位或个人无产权纠纷,如在参赛期间发现有侵犯外单位知识产权或盗用成果等纠纷,一经核实,立即终止该参赛队参赛资格,取消其已获得的奖项。

3. 报名方式

2019年8月30日前,参赛队伍在大赛网站(https://aichina.caai.cn/)的报名系统中在线报名,完成相关信息录入,完成报名。(有特殊要求的各赛区自行确定后可以向大赛组委会提出需求)

4. 比赛任务

1)飞行仿真组

比赛任务描述:

(1)多目标识别:在给定的视频中,识别出指定目标。

给定视频由无人机拍摄,指定的任务目标为视频场景中的指定目标类别,比如车辆、人员和楼房等,参赛队伍给出指定目标的边界框(bounding boxes)。

(2)运动目标跟踪:在给定的视频中,对运动目标进行跟踪。

给定视频由无人机拍摄,视频中包含多种运动目标,如车辆、行人或动物等,在视频开始,参赛队伍对指定的目标进行识别,给出目标边界框(bounding boxes),然后在视频中给出目标的边界框轨迹。

赛事组委会将在8月15号之前,公布竞赛示例视频,该视频包含目标种类示例。

2)飞行操作组

比赛任务描述:

(1)固定目标物体投放:

室外环境场地共计200m×200m,无人机自主飞行,无人自主飞行系统从起点起飞,到达指定区域,识别目标,抓取直径10cm以下、重量0.1kg以下的方形物体,飞至指定区域,识别以数字标记的静态特定目标,目标区域在60cm×40cm以上,数字标记为1,2,飞行器首先需将物体投放至1目标处,再次飞回指定区域拾取物体,飞至指定区域,放置于目标2,任务结束。。

(2)移动目标物体投放:

室外环境场地共计200m×200m,无人机自主飞行,无人自主飞行系统从起点起飞,到达指定区域,识别目标,抓取直径10cm以下、重量0.1kg以下的方形物体,飞至指定区域,识别移动车辆目标,车辆目标在60cm×40cm以上,将物体投向移动该目标,飞回终点。预赛阶段,车辆目标采用直线运动方式,移动速度在300mm/s以下。赛事组委会将在8月15号之前,公布含有竞赛场地位置、任务示例以及目标示例的文件。

5.参赛要求

参赛队赛前需签订科研道德承诺书,保证参赛软件和系统应该是参赛队员独立设计、开发完成的技术成果,严禁抄袭、剽窃等行为。凡发现抄袭、剽窃等行为,将取消参赛队伍的参赛资格。


三.竞赛时间安排

2019年8月8日:发布大赛通知,开始报名

2019年8月15日:发布比赛示例数据和具体评测方案

2019年9月30日:报名截止

2019年10月10日:飞行仿真组提交截止日

2019年10月15日:飞行操作组初赛

2019年10月30日:决赛名单公布

2019年11月下旬或12月上旬:决赛和颁奖


四.竞赛赛制

1.  比赛整体流程

1)飞行仿真组

飞行仿真组的比赛全部在网上进行,参赛队伍报名后,可以在2019年9月1日之前获得参赛示例视频,进行模型训练和软件开发,在2019年8月31日,组委会发布比赛视频,参赛队伍可以在10日内通过网络提交目标识别和跟踪结果,每个队伍有一次提交结果机会。

2)飞行操作组

飞行操作比赛分为初赛和决赛两个阶段:

(1)初赛:参赛队需于2019年8月30日前完成报名,2019年9月15日在北京云岗参加初赛任务。

(2)决赛:决赛将于2019年11月组织,地点在北京云岗,决赛将分为比赛和技术交流两部分内容。


2.  参赛规则介绍

1)飞行仿真组:

(1)允许使用开源代码、工具和公开数据集,及参赛队伍自己以往开发未公开的代码和数据集。

(2)经组委会评估后确认获决赛资格;如拒绝或未在规定时间内提供相应代码和文档则取消决赛资格。

(3)评测规则:

(i)多目标识别。本次比赛采用MSCOCO的          评价指标[1],即所有对象类别的在10个IoU阈值上的mAP得分的平均值。

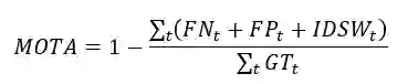
(ii)运动目标跟踪。本次采用MOT16数据集上的MOTA和MOTP两个评测指标的平均值进行排名[2]。计算过程中,IoU阈值固定为0.5。

MOTA逐帧地对假阳例(FP)、假阴例(FN)、误匹配(identity switch, IDSW)的个数综合考虑,公式如下。其中t代表图片帧的序号,GT代表真实值的数目。

MOTP计算所有正确匹配目标的平均重叠率,公式如下。其中代表第t帧中IoU得分在阈值以上且正确匹配的目标数目,代表第t帧中第i个目标的输出的包围框与真实值之间的IoU得分。

[1] 参考http://cocodataset.org/#detection-eval

[2] 参考Milan, Anton, et al. "MOT16: A benchmark for multi-object tracking." arXiv preprint arXiv:1603.00831 (2016).

 2)飞行操作组:

(1)参赛队伍应采用负载6kg以下的旋翼直升机参加比赛,执行比赛任务中,飞行器应全程自主飞行,禁止人为遥控

(2)比赛不对物体的抓取方式进行限定,比赛不对飞行平台使用的传感器类型进行限制。

(3)评测规则:

(i)固定目标物体投放:比赛将根据物体投放准确率和任务完成速度进行评分。准确率采用投放物体中心位置与目标中心位置的距离进行评分,任务完成速度指飞行器从指定位置起飞,到完成任务飞回指定位置的时间。在指定时间内完成任务,以准确率进行成绩排名,准确率相同的情况下,任务完成速度快者排名靠前,未能在指定时间完成任务,按时长进行分数扣除。

(ii)移动目标物体投放:评分原则与固定目标物体投放相同,以准确率和完成速度进行评分。

(iii)具体评分细则将随任务示例文件一同公布。


五.奖项设置

本赛事预选6队进入决赛,最终角逐出冠军1队、亚军2队、季军3队。


六.竞赛管理

1.参赛费用

本次参赛不收取任何费用。

2.餐饮住宿

参加决赛队伍的教师和学生在决赛期间的食宿费用、交通费用及其他费用均自理。

3.竞赛秘书处联系方式

报名网站:https://aichina.caai.cn/

报名、赛务等联系人:

清华大学人工智能研究院智能机器人研究中心 刘平 18210619376 lipi26@foxmail.com

北京海鹰科技情报研究所《无人系统技术》编辑部  王一琳185 0038 8390

李志13161006067 chinauas310@163.com

复杂系统控制与智能协同技术重点实验室 赵佳佳, 1521099109,440068986@qq.com


2019第二届中国“AI+”创新创业大赛--无人系统技术大赛组委会

2019年8月8日


登录查看更多
0

相关内容

中国人工智能学会(Chinese Association for Artificial Intelligence,CAAI)成立于1981年,是经国家民政部正式注册的我国智能科学技术领域唯一的国家级学会,是全国性4A级社会组织,挂靠单位为北京邮电大学;是中国科学技术协会的正式团体会员,具有推荐“两院院士”的资格。
 第八届中国科技大学《计算机图形学》暑期课程课件
专知会员服务
62+阅读 · 2020年3月4日
新时期我国信息技术产业的发展
专知会员服务
71+阅读 · 2020年1月18日
【德勤】中国人工智能产业白皮书,68页pdf
专知会员服务
310+阅读 · 2019年12月23日
2019中国硬科技发展白皮书 193页
专知会员服务
86+阅读 · 2019年12月13日
解读《中国新一代人工智能发展报告2019》
走向智能论坛
32+阅读 · 2019年6月5日
学会招聘丨中国人工智能学会总部2018招聘
中国人工智能学会
3+阅读 · 2018年3月26日
AI 竞赛 | 2018 机器阅读理解技术竞赛
AI研习社
7+阅读 · 2018年3月16日
会议征文|第一届中国模式识别与计算机视觉学术会议
中国人工智能学会
5+阅读 · 2017年12月6日
Arxiv
8+阅读 · 2019年3月28日
Arxiv
7+阅读 · 2018年3月19日
VIP会员
相关VIP内容
 第八届中国科技大学《计算机图形学》暑期课程课件
专知会员服务
62+阅读 · 2020年3月4日
新时期我国信息技术产业的发展
专知会员服务
71+阅读 · 2020年1月18日
【德勤】中国人工智能产业白皮书,68页pdf
专知会员服务
310+阅读 · 2019年12月23日
2019中国硬科技发展白皮书 193页
专知会员服务
86+阅读 · 2019年12月13日
相关资讯
解读《中国新一代人工智能发展报告2019》
走向智能论坛
32+阅读 · 2019年6月5日
学会招聘丨中国人工智能学会总部2018招聘
中国人工智能学会
3+阅读 · 2018年3月26日
AI 竞赛 | 2018 机器阅读理解技术竞赛
AI研习社
7+阅读 · 2018年3月16日
会议征文|第一届中国模式识别与计算机视觉学术会议
中国人工智能学会
5+阅读 · 2017年12月6日
Top
微信扫码咨询专知VIP会员