【干货】深度学习需要了解的四种神经网络优化算法

【导读】近日,Vadim Smolyakov发表了一篇博客,针对当前神经网络的优化算法进行了总结,并利用简单的CNN网络在NMIST数据集上进行实验,探讨不同的优化方法的效果好坏。其中考虑了四种神经网络训练的优化方法:SGD,Nesterov Momentum,RMSProp和Adam,并用TensorFlow进行训练。作者最终得出结果:使用Nesterov Momentum和Adam的SGD产生的结果更好。如果您对神经网络的优化算法还不是很了解,那么相信这篇文章将会给您很好的启发!专知内容组编辑整理。


Neural Network Optimization Algorithms

——A comparison study based on TensorFlow

神经网络优化算法


训练神经网络的最流行的优化算法有哪些?怎么进行比较?

本文在MNIST数据集用卷积神经网络(CNN)进行实验,来回答上述优化问题。



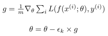
随机梯度下降(SGD)



 

SGD通过数据的一个大小为(m)的子集(subset)或一个小批量(mini-batch)来从梯度负方向上更新模型参数(theta):

 

神经网络由 f(x(i); theta)表示,其中x(i)是训练数据,y(i)是标签,损失函数L的梯度是根据模型参数θ计算的。学习率(eps_k)决定了算法沿着梯度(在最小化的情况下为负方向,在最大化的情况下为正方向)下降的步长大小。

学习率是非常重要的超参数。学习率太高(例如> 0.1)会导致参数的更新错过最佳值,学习率太低(例如<1e-5)将导致过长训练时间。一个好的策略是学习率初始化为1e-3,并使用学习率调度器来降低学习率(例如,每四个时间段(epoch)将学习速率减半的一个步长调度器):

def step_decay(epoch):
lr_init = 0.001
   
drop = 0.5
   
epochs_drop = 4.0
   
lr_new = lr_init * \
math.pow(drop, math.floor((1+epoch)/epochs_drop))
return lr_new


一般来说,我们希望学习率(eps_k)满足Robbins-Monroe条件:


第一个条件确保算法不论起点如何,都能够找到一个局部最优解,第二个是控制振荡。

 

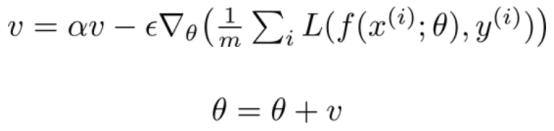
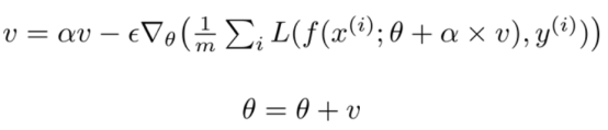
动量(Momentum)




动量累积以指数方式进行衰减,补偿按照过去梯度的均值进行移动:


 

因此,步长取决于梯度序列的大小和排列的顺序,动量参数alpha的通常值设为0.5和0.9。


涅斯捷罗夫动量(Nesterov Momentum)




涅斯捷罗夫动量(Nesterov Momentum)受涅斯捷罗夫加速梯度法的启发:

 

涅斯捷罗夫动量和标准动量之间的区别在于对梯度进行评估,涅斯捷罗夫动量是在应用了当前速率后对梯度进行评估,因此涅斯捷罗夫的动量为梯度增加了一个校正因子。


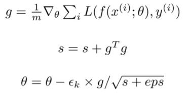
AdaGrad




AdaGrad是一种设置学习率的自适应方法[3]。我们考虑下图中的两种情况:

 

左图:缓慢变化的对数似然(小梯度)右图:快速变化的对数似然(大梯度)在目标缓慢变化(左图)的情况下,梯度通常(在大多数点)进行小幅度变化。 因此,我们需要一个大的学习速率才能快速达到最优解。在目标快速变化(右图)的情况下,梯度通常是非常大的。使用大的学习速率会导致非常大的步长,来回振荡,但无法达到最优值。


出现这两种情况的原因是学习率的设置与梯度无关。AdaGrad通过积累到目前为止所有的梯度的平方,并将学习率除以这个总和的平方根来解决这个问题:


 

因此,获得高梯度的参数将会降低其有效学习率,而接收小梯度的参数将增加其学习率。在更平缓的斜率方向上,以及在大学习率的情况下,更谨慎的更新会带来更大的进步。


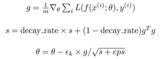
RMSProp




RMSProp改进了AdaGrad的方法,将梯度的累积变成指数加权的移动平均值,即不考虑距离很远的梯度值[4]:

 

注意,AdaGrad表示,即使在训练开始阶段累积的梯度而导致梯度保持不变,其学习率也会降低。通过引入指数加权移动平均值,离得更近的历史梯度值相对于离得远的历史值被赋予更大的权重。因此,RMSProp已被证明是一种有效的、实用的深度神经网络优化算法。


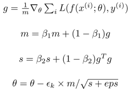
Adam




Adam从“自适应时刻”衍生而来,它可以被看作是RMSProp和动量组合的一个变体,它的更新看起来像RMSProp(除了使用平滑版本的梯度来代替原始随机梯度),Adam的更新还包括一个偏差修正机制[5]:

 

建议的值是beta_1 = 0.9,beta_2 = 0.999,eps = 1e-8。


实验




我使用四种不同的优化器:SGD,Nesterov Momentum,RMSProp和Adam,并用TensorFlow以1e-3的学习速率和交叉熵损失在MNIST数据集上训练CNN网络。下图显示了这四种优化器的训练损失值与迭代值:

 

从上图中我们可以看出,Adam和Nesterov Momentum优化器产生的训练损失最低!


代码




所有的代码链接:

https://github.com/vsmolyakov/experiments_with_python/blob/master/chp03/tensorflow_optimizers.ipynb


总结:




我们在训练神经网络的过程中比较了使用不同优化器的效果,并对它们的工作原理有了直观地认识。我们发现,用TensorFlow在MNIST数据集上训练简单CNN时,使用Nesterov Momentum和Adam的SGD产生的结果最好。


References




[1] Ian Goodfellow et. al., “Deep Learning”, MIT Press, 2016


[2] Andrej Karpathy, http://cs231n.github.io/neural-networks-3/


[3] Duchi, J. ,Hazan, E. and Singer, Y. “Adaptive subgradient methods for online learning and stochastic optimization”, JMLR, 2011.


[4] Tieleman, T. and Hinton, G. “Lecture 6.5 — RMSProp, COURSERA: Neural Networks for Machine Learning”, Technical Report, 2012.


[5] Diederik Kingma and Jimmy Ba, “Adam: A Method for Stochastic Optimization”, ICLR, 2015

 

原文链接:

https://towardsdatascience.com/neural-network-optimization-algorithms-1a44c282f61d

-END-

专 · 知

人工智能领域主题知识资料查看获取【专知荟萃】人工智能领域26个主题知识资料全集(入门/进阶/论文/综述/视频/专家等)

同时欢迎各位用户进行专知投稿,详情请点击

诚邀】专知诚挚邀请各位专业者加入AI创作者计划了解使用专知!

请PC登录www.zhuanzhi.ai或者点击阅读原文,注册登录专知,获取更多AI知识资料

请扫一扫如下二维码关注我们的公众号,获取人工智能的专业知识!

请加专知小助手微信(Rancho_Fang),加入专知主题人工智能群交流!

点击“阅读原文”,使用专知

展开全文
Top
微信扫码咨询专知VIP会员