【下载】最新TensorFlow专业深度学习实战书籍和代码《Pro Deep Learning with TensorFlow》

【导读】通用电气公司高级数据科学家Santanu Pattanayak撰写的TensorFlow专业深度学习实战《Pro Deep Learning with TensorFlow》教你在工作中轻松使用TensorFlow部署深度学习解决方案,深入浅出地讲解了各个深度学习模块以及实际场景应用,教您如何打造自己的深度学习解决方案。本书介绍了很多实用的深度学习实际应用案例,这些和工作中很相关。您将能够使用演示的原型来构建新的深度学习应用程序。随书同时提供代码,可以让你动手测试改进。


请关注专知公众号(扫一扫最下面专知二维码,或者点击上方蓝色专知),

  • 后台回复“PDLT” 就可以获取TensorFlow专业深度学习实战 pdf下载~

  • 后台回复“PDLTC” 就可以获取TensorFlow专业深度学习实战 代下载~



图书介绍




关于该书

这本书教你在工作中轻松使用TensorFlow部署深度学习解决方案。您还能通过学习到的数学原理和自己直觉来构建自己的深度网络结构和基于自身工作上的深度学习解决方案。


Pro Deep Learning with TensorFlow这本书为深度学习提供专业而实用的实践知识,让您可以从头学习深度学习,并设计有意义的深度学习解决方案。本书将帮助您快速使用TensorFlow并优化不同的深度学习体系结构。


本书介绍了很多实用的深度学习实际应用案例,这些和工作中很相关。您将能够使用演示的原型来构建新的深度学习应用程序。本书中提供的代码以iPython编译版本和脚本的形式提供,可让您尝试使用示例并以有趣的方式扩展它们。


你将学到什么

  • 了解使用TensorFlow进行全面的深度学习,并在深度学习方面打下坚实的数学基础

  • 使用TensorFlow在实际应用中设计复杂的深度学习解决方案

  • 开展深度学习的研究,并使用TensorFlow进行实验

关键词

机器学习 深度学习 Python TensorFlow 图像处理 音频处理 卷积神经网络 Boltzmann 深度学习体系结构 自然语言处理 自动编码器 IPython


关于读者

主要为数据科学家和机器学习专业人员,软件开发人员,研究生和开源爱好者。


关于作者

目前,Santanu Pattanayak在通用电气公司担任数据高级数据科学家。他在数据分析/数据科学领域拥有六年的工作经验,拥有十年的项目管理经验,并且在开发和数据库技术方面拥有丰富的经验。在加入GE之前,Santanu曾在RBS,Capgemini和IBM等公司工作过。他毕业于加尔各答Jadavpur大学电子工程学位,是一名狂热的数学爱好者。 Santanu目前正在海德拉巴印度理工学院(IIT)攻读数据科学硕士学位。他还把时间花在数据科学黑客马拉松和Kaggle比赛上,他在全球排名前500名。 Santanu出生在印度西孟加拉邦,目前和他的妻子居住在印度的班加罗尔。


参考链接:

https://www.apress.com/de/book/9781484230954

https://link.springer.com/book/10.1007%2F978-1-4842-3096-1


▌详细目录




▌第一部分 数学基础




▌第二部分 深度学习概念介绍以及TENSORFLOW




▌第三部分 卷积神经网络




▌第四部分 使用递归神经网络进行自然语言处理




▌第五部分 无监督学习RBM和自动编码器




▌第六部分 深度学习前沿:图像分割、分类、检测、GAN




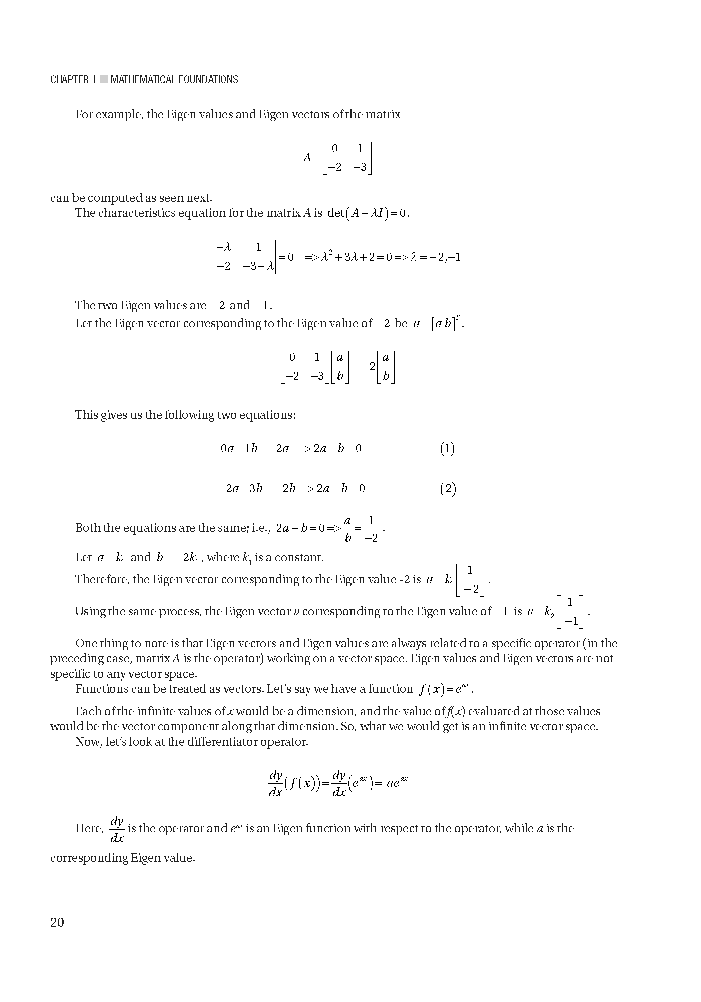
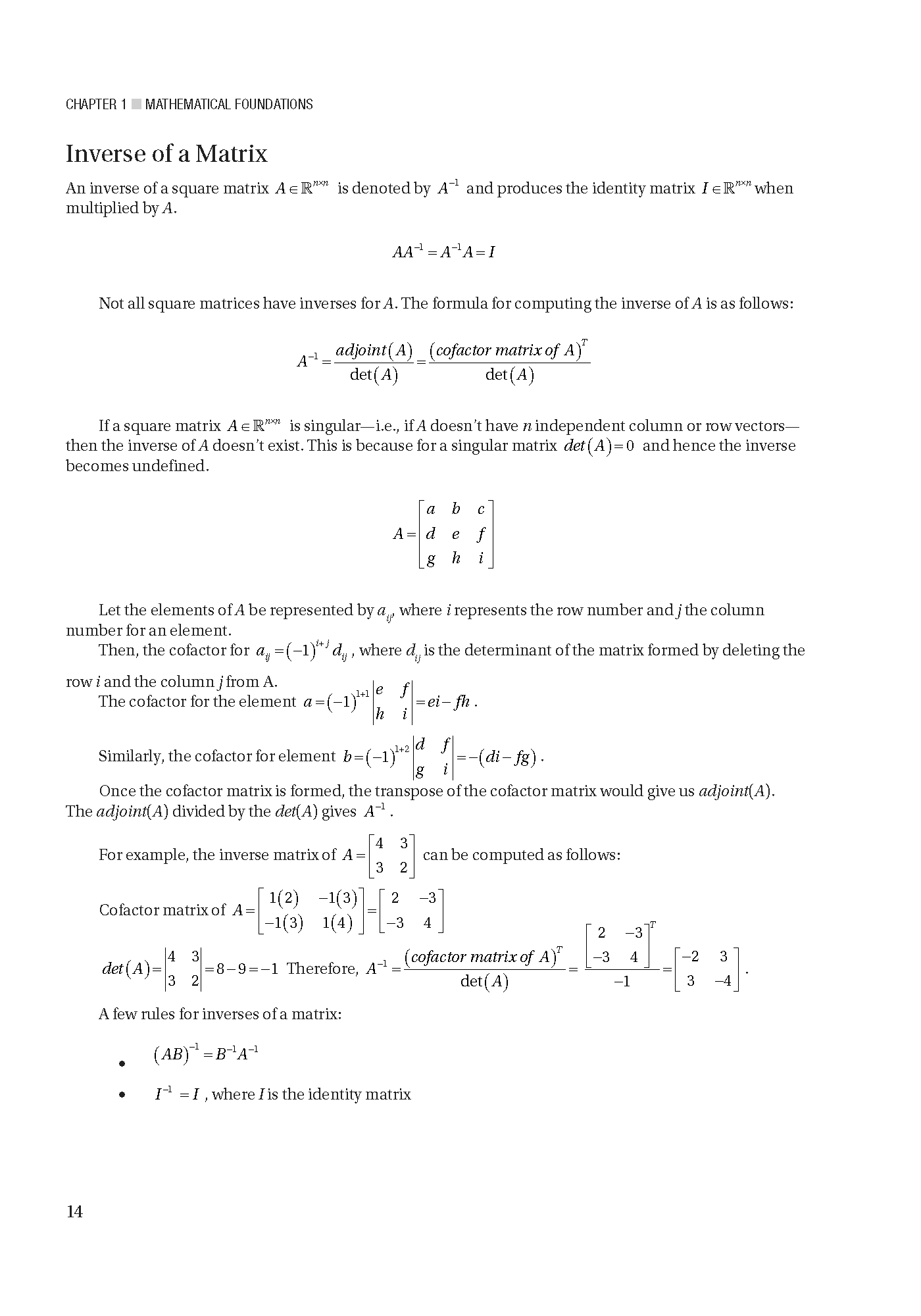
▌第一章详细内容




-END-

专 · 知

人工智能领域主题知识资料查看获取【专知荟萃】人工智能领域26个主题知识资料全集(入门/进阶/论文/综述/视频/专家等)

同时欢迎各位用户进行专知投稿,详情请点击

诚邀】专知诚挚邀请各位专业者加入AI创作者计划了解使用专知!

请PC登录www.zhuanzhi.ai或者点击阅读原文,注册登录专知,获取更多AI知识资料

请扫一扫如下二维码关注我们的公众号,获取人工智能的专业知识!

请加专知小助手微信(Rancho_Fang),加入专知主题人工智能群交流!

点击“阅读原文”,使用专知

展开全文
Top
微信扫码咨询专知VIP会员