微软研究院新版书籍《数据科学基础》,附479页PDF下载

【导读】随着大数据、深度学习在学术界和工业界的普及,人们越来越认识到数据对于科研和应用的重要性。虽然现在相关的工具和框架大大降低了构建数据应用的门槛,数据科学基础对应用的构建依然起着核心的作用。本文介绍微软研究院新版书籍《数据科学基础》。 微软研究院新版书籍《数据科学基础》


计算机科学学科从60年代兴起,当时人们聚焦于编程语言、编译器、操作系统和相关的数学理论。70年代左右,算法被加入作为计算机科学理论中重要的一员。随着计算机的普及,自然科学、商业等领域有着更强的发现、收集和存储数据的能力。如何理解和应用这些数据成为了现在的一个刚需。互联网和社交网络成为人们日常生活一部分的事实,反映了数据理论的机遇与挑战。


微软研究院的新版书籍《Foundations of Data Science》(《数据科学基础》)详细介绍了许多重要的数据科学理论基础。这些理论基础例如奇异值分解(SVD)、马尔科夫链、随机游走等是支撑现在广泛使用在数据应用中的算法的支柱,如推荐系统、语音识别、图神经网络等。


《数据科学基础》一书的内容大致如下:

  • 简介

  • 高维空间

  • 最佳拟合子空间和奇异值分解(SVD)

  • 随机游走和马尔科夫链

  • 机器学习

  • 面向海量数据问题的算法:流式、概述和采样

  • 聚类

  • 随机图

  • 主题模型、非负矩阵分解、隐马尔科夫模型和图模型

  • 其他主题

  • 小波


 请关注专知公众号(点击上方蓝色专知关注

  • 后台回复“MSFODS” 就可以获取完整版《数据科学基础》的下载链接~ 


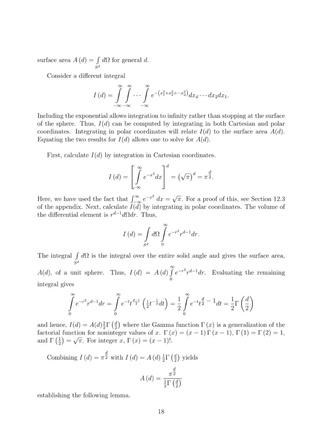
附部分PDF预览:

参考链接:

  • https://www.datasciencecentral.com/profiles/blogs/new-book-foundations-of-data-science-from-microsoft-research-lab


-END-

专 · 知


专知,专业可信的人工智能知识分发,让认知协作更快更好!欢迎登录www.zhuanzhi.ai,注册登录专知,获取更多AI知识资料!

欢迎微信扫一扫加入专知人工智能知识星球群,获取最新AI专业干货知识教程视频资料和与专家交流咨询

请加专知小助手微信(扫一扫如下二维码添加),加入专知人工智能主题群,咨询技术商务合作~

专知《深度学习:算法到实战》课程全部完成!560+位同学在学习,现在报名,限时优惠!网易云课堂人工智能畅销榜首位!

点击“阅读原文”,了解报名专知《深度学习:算法到实战》课程

展开全文
Top
微信扫码咨询专知VIP会员