【前沿】Geoffery Hinton 的 NIPS2017 Capsule论文简读

点击上方“专知”关注获取更多AI知识!


10月26日,深度学习元老Hinton的NIPS2017 Capsule论文《Dynamic Routing Between Capsules》终于在arxiv上发表。Hinton 之前就一直介绍Capsule的理念,之前专知也有文章介绍

【深度】浅析Geoffrey Hinton最近提出的Capsule计划


今天我们简读下这篇重量级论文讲了些什么

 论文地址:https://arxiv.org/pdf/1710.09829.pdf


摘要:Capsule 是一组神经元,其活动向量(activity vector)表示特定实体类型的实例化参数,如对象或对象部分。我们使用活动向量的长度表征实体存在的概率,向量方向表示实例化参数。同一水平的活跃 capsule 通过变换矩阵对更高级别的 capsule 的实例化参数进行预测。当多个预测相同时,更高级别的 capsule 变得活跃。我们展示了判别式训练的多层 capsule 系统在 MNIST 数据集上达到了最好的性能效果,比识别高度重叠数字的卷积网络的性能优越很多。为了达到这些结果,我们使用迭代的路由协议机制:较低级别的 capsule 偏向于将输出发送至高级别的 capsule,有了来自低级别 capsule 的预测,高级别 capsule 的活动向量具备较大的标量积。


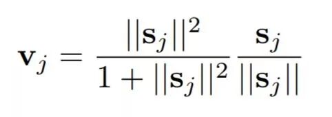
具体看,作者在论文中介绍,一个活动的胶囊内的神经元活动表示了图像中出现的特定实体的各种属性。这些属性可以包括许多不同类型的实例化参数,例如姿态(位置,大小,方向),变形,速度,反照率,色相,纹理等。一个非常特殊的属性是图像中某个类别的实例的存在。表示存在的一个简明的方法是使用一个单独的逻辑回归单元,它的输出数值大小就是实体存在的概率。在本文中,我们探索一个有趣的替代方法,即使用实例化参数向量的总长度来表示实体的存在并强制向量的方向来表示实体的属性。我们确保胶囊的矢量的输出不超过1。本文采用了如下的一种计算公式:采用一个非线性函数对向量进行“压缩”,短向量被压缩到几乎为零,长向量也被压缩到1以下长度。判别学习中充分利用这个非线性函数。

其中vj是胶囊j的输出向量,sj是它的全部输入。胶囊的输出是一个向量,这一设定使得用强大的动态路由机制来确保胶囊的输出被发送到上述层中的适当的父节点成为可能。

路由计算的伪码如下图

采用如下损失函数

其中Tc=1当且仅当图片中有属于类别C的数字,m+=0.9,m-=0.1,λ = 0.5。


CapsNet 结构

论文采用以下CapsNet


一个简单的3层CapsNet。这个模型的结果能和深层卷积网络(如 Chang and Chen [2015])的结果媲美。DigitCaps层每个胶囊的激活向量模长给出了每个类的实例是否存在,并且用来计算分类损失。 是PrimaryCapsules中连接每个 ui, i ∈ (1, 32 × 6 × 6) 和每个vj , j ∈ (1, 10)的权重矩阵。

 Capsule 用在MNIST上的效果

使用 28×28 MNIST的图片集进行训练,训练前这些图片在每个方向不留白地平移了2个像素。除此之外,没有进行其他的数据增改或者转换。在MNIST数据库中,6万张图片用于训练,另外1万张用于测试。 

CapsNet 分类MNIST数字测试准确度。

测试中作者使用的是单一模型,没有进行“综合”或者明显的数据扩增方法。作者们通过3层神经网络实现了较低的错误率(0.25%),这一错误率以往只有更深的网络才能达到。表中展现的是不同设置的CasNet在NMIST数据库上的测试错误率,表明了路由以及正则器重构的重要性。其基线是一个标准的三层神经网络(CNN)。

文章最后说,现在现在卷积神经网络已经成为物体识别的主流方法,但在本文中,通过一个简单的胶囊系统已经在分割数字图像上获得了优异的表现效果,这表明了胶囊是一个值得探索的方向。

详细请读者查看原汁原味的英文吧!

特别提示:

更多人工智能知识资料请访问,专知,为人工智能从业者提供专业可信的AI知识分发服务;请登录www.zhuanzhi.ai或者点击阅读原文,顶端搜索“深度学习”或者机器学习 主题直接获取查看获得关于机器学习和深度学习更多的知识资料,包括链路荟萃动态资讯精华文章等资料,帮助你更好获取机器学习深度学习知识如下图所示。


特别提示:


请关注专知公众号(扫一扫最下面专知二维码,或者点击上方蓝色专知),后台回复“MLDL” 就可以获取 机器学习&深度学习知识资料大全集的pdf下载链接~~



更多专知荟萃知识资料全集获取,请查看:

【GAN货】生成对抗网络知识资料全集(论文/代码/教程/视频/文章等)

【干货】Google GAN之父Ian Goodfellow ICCV2017演讲:解读生成对抗网络的原理与应用

【AlphaGoZero核心技术】深度强化学习知识资料全集(论文/代码/教程/视频/文章等)



 欢迎转发到你的微信群和朋友圈,分享专业AI知识!


-END-

欢迎使用专知

专知,一个新的认知方式!目前聚焦在人工智能领域为AI从业者提供专业可信的知识分发服务, 包括主题定制、主题链路、搜索发现等服务,帮你又好又快找到所需知识。


使用方法>>访问www.zhuanzhi.ai, 或点击文章下方“阅读原文”即可访问专知


中国科学院自动化研究所专知团队

@2017 专知


专 · 知



关注我们的公众号,获取最新关于专知以及人工智能的资讯、技术、算法、深度干货等内容。扫一扫下方关注我们的微信公众号。

点击“阅读原文”,使用专知


展开全文
Top
微信扫码咨询专知VIP会员