【干货】一种直观的方法认识梯度下降

【导读】本文是深度学习专家Thalles Silva分享的一篇技术博客,主要讲解机器学习算法中的梯度下降。首先从形象的角度介绍梯度下降:梯度、偏导数等。然后,根据一个具体的例子“根据历史数据来预测当前房价”讲解梯度下降及其代码实现,在实例中主要使用Mini-Batch梯度下降(Mini-Batch Stochastic Gradient),并解释了其误差迭代曲线的变化趋势和和原因,不太了解梯度下降算法的读者可以仔细阅读下。

 

作者博客:

https://sthalles.github.io/


An Intuitive Introduction to Gradient Descent

 

 毫无疑问,梯度下降是大多数机器学习(ML)算法的核心和灵魂。我认为你应该花时间去理解它。因为一旦你理解了它,你会更好地理解大多数ML算法的工作原理。


为了学习梯度下降的核心,我们在文中举了一个例子,这个任务是这个领域的老问题了,即通过历史数据作为先验知识来预测房价。


基本概念



 

假设你想爬上一座高山。你的目标是以最快的速度登上山顶。你环顾四周,你意识到你有多条路径可以开始。由于你处于最底层,所有这些选项似乎都可以让你更接近顶峰。


但是你想以最快的方式达到顶峰。那么,怎么做呢?


到目前为止,如果你还不清楚如何采取这一步骤,你可以使用梯度来帮助你。

正如Khan Academy 视频中所述,梯度捕捉了一个多变量函数的所有偏导数

让我们一步一步看看它是如何工作的。


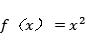
简单来说,导数就是某个点的函数变化率或斜率。

函数为例。 的导数是计算给定点x处斜率的另一函数f'(x)。在这种情况下,对于的斜率是2x或2 * 2 = 4。

简而言之,导数指向最陡峭的上升方向。梯度是和导数完全一样的东西。 唯一的例外是:梯度(Gradient )是存储偏导数的矢量值函数。 换句话说,梯度是一个向量,它的每个分量都是相对于一个特定变量的偏导数。

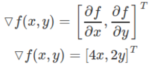
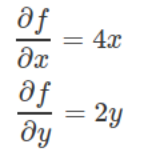
作为另一个例子,取函数

这里,是一个多变量函数。 它的梯度是一个矢量,包含的偏导数。 第一个关于x,第二个关于y。

如果我们计算f(x,y)的偏函数,我们可以得到。

所以梯度是以下矢量:

请注意,上面每个部分都表示每个函数变量的最陡上升方向。 换句话说,梯度指向函数增加最多的方向。


回到爬山的例子,梯度表示指向到达山峰最快的方向


同理,如果我们有一个具有4个变量的函数,我们将得到一个具有4个偏导数的梯度向量。 通常,n变量函数有n维梯度向量

然而,对于梯度下降(Gradient descent),这个含义是我们不是很想使f最大化,而是希望将其最小化。


下面举一个具体的任务,来看一下。


预测房价(Predicting House Prices)



 

我们的问题是根据已有历史数据来预测当前的房价。如果要构建一个机器学习模型,我们通常至少需要3个元素。问题T,性能指标P和经验E,模型将从中数据中学习一种模式用于数据的预测。


我们将使用一个简单的线性回归模型尝试来解决这个问题。这个模型将从经验E中学习,并且在训练之后,它可以泛化应用到未知的数据。


线性模型是一个很好的学习模型。它是许多其他ML算法的基础,如神经网络和支持向量机。


对于这个例子,经验E是HOUSES数据集。 HOUSES数据集包含圣路易斯奥比斯波县及其周边地区最近的房地产列表。


该集合包含781个数据记录,可在下面链接以CSV格式下载。在8维特征中,为了简单起见,我们将只关注其中的两个:大小和价格。对于781个记录中的每一个,以平方英尺为单位的大小将是我们的输入特征,而价格是我们的目标值。

https://wiki.csc.calpoly.edu/datasets/wiki/Houses

 

此外,为了检查我们的模型是否正确地从经验E(数据)中学习,我们需要一种机制来衡量其性能。为此,我们将平方误差总和(SSE)作为我们的衡量标准。

SSE多年来一直是线性回归的基准度量。 但理论上,比如绝对误差一样的任何其他误差衡量方式都可以。 SSE的好处是它比绝对误差对错误的惩罚更大。


现在我们已经把我们的算法形式化表示,让我们深入看一下代码。


首先我们使用Pandas将数据加载到python中,然后将Size和Prices特征分开。 之后,我们对数据进行归一化处理。 此外,用归一化数据做梯度下降会比其他情况快得多。

# read the Houses dataset CSV file
housing_data = pd.read_csv("./RealEstate.csv", sep=",")

# only get the Size and the Price features
Xs = housing_data[['Size']]
Ys = housing_data[['Price']]

# get some statistics
max_size = np.max(Xs)
min_size = np.min(Xs)
max_price = np.max(Ys)
min_price = np.min(Ys)

# Normalize the input features
Xs = (Xs - min_size) / (max_size - min_size)
Ys = (Ys - min_price) / (max_price - min_price)

从下图中,你可以看到房屋价格按其平方米的大小分布。

线性回归模型通过在数据上绘制一条直线来拟合数据。 因此,我们的模型由一个简单的线性方程表示。

对于线性模型,两个参数是斜率m和偏置b(y轴截距)。 我们将要不断改变这两个变量的值来得到最小的误差值,也就是最终的模型参数值。


我们轻微改变两个参数值,使函数值可以沿着误差曲面上最陡的方向下降。 每次迭代后,这些权重变化将优化我们的模型,以便模型能更好地表示数据集。


请牢记,对于梯度下降,我们希望采取与梯度相反的方向


你可以把梯度下降想象成一个在山谷中滚动的球。 我们希望它坐在山的最深处(最低点),但是,很容易在其他山谷处。

根据球开始滚动的位置,它可能会停留在山谷的底部。然而不是最低的一个。这被称为局部最小值,在我们的模型中,山谷就是误差面。


请注意,并不是所有的局部最小值都不好。其中一些实际上几乎与最低(全局)一样低(好)。事实上,对于高维误差曲面,最常见的是解决方案找到一个局部最小值,但这个局部最小值不是很差,几乎和全局最优值差不多。


同样,我们初始化模型权重的方式可能导致它停留在局部最小值。为了避免这种情况,我们用来自零均值和低方差的随机正态分布的值初始化两个权向量。


在每次迭代中,我们将从我们的数据集中随机采样子集,并将其与我们的权重线性组合。这个子集称为mini-batch。在线性组合之后,我们将模型预测得到结果送入SSE函数以计算当前误差。


用这个误差值,我们可以计算误差的偏导数以得到梯度

首先,我们得到关于W0的偏导数。


第二步,同理得到W1的偏导数:

有了这两个偏导数,我们得到了梯度向量:

其中Err是SSE误差函数。


有了这些,下一步就是使用梯度来更新权重向量W0和W1,以最大限度地减少误差值。


我们想要更新权重,以便他们可以在下一次迭代中将误差降低。 我们需要使它们沿着每个相应梯度的相反方向。 要做到这一点,我们将在这个方向上采取尺寸为η的小步长。


步长η是学习率,它控制学习的速度。 从经验上讲,一个好的学习率值是0.1。 最后,更新步骤规则设置为:

在代码中,完整的模型如下所示。 注意两个梯度DW0和DW1前面的负号。 这保证我们将采取与梯度相反的步骤。

(  DW0 = - (Y_pred-Ys_batch)
DW1 = - (Xs_batch * (Y_pred - Ys_batch)))
for Xs_batch, Ys_batch in next_batch(Xs, Ys, batch_size=128):

# linearly combine input and weights
   
Y_pred = W0 + np.dot(W1, Xs_batch)

# calculate the SSE between predicted and true values
   
err = 1/2 * sum((Ys_batch-Y_pred)**2)

# calculate the gradients with respect to W0 and W1
   
DW0 = - (Y_pred-Ys_batch)
DW1 = - (Xs_batch * (Y_pred - Ys_batch))

# update W0 and W1 in the opposite direction to the gradient
   
W0 = W0 + lr * sum(DW0)
W1 = W1 + lr * sum(DW1)

更新权重后,我们随机mini-batch数据重复该过程。


一步一步地,每个权重更新都会导致直线向最佳表示进行小幅度移动。 最后,当误差方差足够小时,我们可以停止学习。

我们这里面梯度下降称为Mini-Batch随机梯度(Mini-Batch Stochastic Gradient )下降。 在这个版本中,我们使用一小部分训练数据来计算梯度。 每个Mini-Batch梯度都提供了最佳方向的近似值。 即使梯度没有指向确切的方向,实际上它是接近最好的解决方案。

如果仔细观察误差/迭代次数曲线图,您会注意到一开始,学习速度很快。


然而,经过一些迭代后,它变得缓慢。 发生这种情况是因为,一开始,指向最陡下降的梯度矢量的幅度很大。 结果,两个权重变量W0和W1更剧烈的变化。


但是,当它们接近误差曲面的顶点时,梯度变得越来越小,这导致了权重变化很慢。


最后,学习曲线稳定下来,学习过程完成。


原文链接:

https://towardsdatascience.com/machine-learning-101-an-intuitive-introduction-to-gradient-descent-366b77b52645

-END-

专 · 知

人工智能领域主题知识资料查看获取【专知荟萃】人工智能领域26个主题知识资料全集(入门/进阶/论文/综述/视频/专家等)

请PC登录www.zhuanzhi.ai或者点击阅读原文,注册登录专知,获取更多AI知识资料

请扫一扫如下二维码关注我们的公众号,获取人工智能的专业知识!

请加专知小助手微信(Rancho_Fang),加入专知主题人工智能群交流!

点击“阅读原文”,使用专知

展开全文
Top
微信扫码咨询专知VIP会员