【专知-PyTorch手把手深度学习教程05】Dropout快速理解与PyTorch实现: 图文+代码

 点击上方“专知”关注获取更多AI知识!


【导读】主题链路知识是我们专知的核心功能之一,为用户提供AI领域系统性的知识学习服务,一站式学习人工智能的知识,包含人工智能( 机器学习、自然语言处理、计算机视觉等)、大数据、编程语言、系统架构。使用请访问专知 进行主题搜索查看 - 桌面电脑访问www.zhuanzhi.ai,  手机端访问www.zhuanzhi.ai 或关注微信公众号后台回复" 专知"进入专知,搜索主题查看。值国庆佳节,专知特别推出独家特刊-来自中科院自动化所专知小组博士生huaiwen和Kun创作的-PyTorch教程学习系列, 今日带来第五篇-< 快速理解系列(四): 图文+代码, 让你快速理解Dropout >


  1. < 一文带你入门优雅的Pytorch >

  2. < 快速理解系列(一): 图文+代码, 让你快速理解CNN>

  3. < 快速理解系列(二): 图文+代码, 让你快速理解LSTM>

  4. < 快速理解系列(三): 图文+代码, 让你快速理解GAN >

  5. < 快速理解系列(四): 图文+代码, 让你快速理解Dropout >

  6. < NLP系列(一) 用Pytorch 实现 Word Embedding >

  7. < NLP系列(二) 基于字符级RNN的姓名分类 >

  8. < NLP系列(三) 基于字符级RNN的姓名生成 >

Dropout

学过神经网络的童鞋应该知道神经网络很容易过拟合。而且,如果要用集成学习的思想去训练非常多个神经网络,集成起来抵制过拟合,这样开销非常大并且也不一定有效。于是,这群大神提出了Dropout方法:在神经网络训练时,随机把一些神经单元去除,“瘦身”后的神经网络继续训练,最后的模型,是保留所有神经单元,但是神经的连接权重w乘上了一个刚才随机去除指数p.


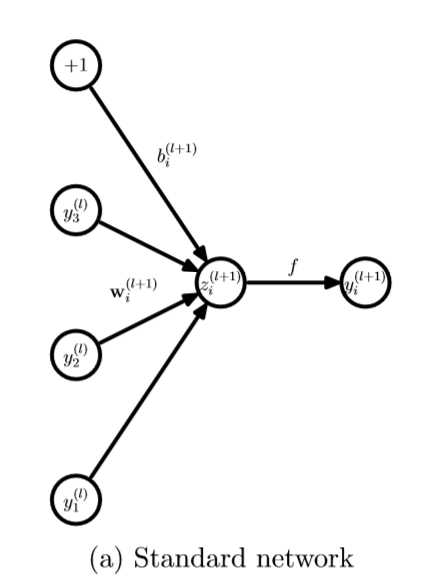
左边是标准神经网络,右边是使用Dropout的神经网络,可见只是连接度少了一些,并不影响模型继续训练。其实,Dropout动机和初衷非常有意思。

文章里也谈到,可以类比人类男性和女性的基因。人类通过成千上万年进化,依然保持着这样的繁衍方式:男人贡献一半基因序列,女人贡献一半基因序列,最后组成后代的完整基因序列。当我们观察男人基因序列中的一个基因片段,它不仅要和男人基因序列很好地组合与配合,在繁衍后代时,也要和女人的那一半基因序列组合和配合,这个较好的一个基因片段一定要在两个情况下都很好的适应才行,这正像神经网络中的一个神经元,它要在各个情况下都很好地适应训练,所以,我们要Dropout一些神经元啊!

再来关注一个神经元:


需要指出的是,在训练时,权重参数w是共享的。就是说,只要连接权重的神经单元不dropout,那么每次调参时,权重接着调整参数值。换句话说,权重参数个数和不用Dropout的神经网络参数个数是一样的。不同的是,见上图,在训练时,每个神经单元都可能以概率p去除;在测试阶段,每个神经单元都是存在的,权重参数w要乘以p,成为:pw。

接下来看一下,每层Dropout网络和传统网络计算的不同之处:




最后就是一些实验结果和对比了,直接上代码

import torch
from torch.autograd import Variable
import matplotlib.pyplot as plt

torch.manual_seed(1)

lr = 0.1

N_SAMPLES = 20
N_HIDDEN = 300

# 训练数据
x = torch.unsqueeze(torch.linspace(-1, 1, N_SAMPLES), 1)
y = x + 0.3*torch.normal(torch.zeros(N_SAMPLES, 1), torch.ones(N_SAMPLES, 1))
x, y = Variable(x), Variable(y)

# 测试数据
test_x = torch.unsqueeze(torch.linspace(-1, 1, N_SAMPLES), 1)
test_y = test_x + 0.3*torch.normal(torch.zeros(N_SAMPLES, 1), torch.ones(N_SAMPLES, 1))
test_x, test_y = Variable(test_x, volatile=True), Variable(test_y, volatile=True)

# 展示一下数据分布
plt.scatter(x.data.numpy(), y.data.numpy(), c='magenta', s=50, alpha=0.5, label='train set')
plt.scatter(test_x.data.numpy(), test_y.data.numpy(), c='cyan', s=50, alpha=0.5, label='test set')
plt.legend(loc='upper left')
plt.ylim((-2.5, 2.5))
plt.show()

net_overfitting = torch.nn.Sequential(
    torch.nn.Linear(1, N_HIDDEN),
    torch.nn.ReLU(),
    torch.nn.Linear(N_HIDDEN, N_HIDDEN),
    torch.nn.ReLU(),
    torch.nn.Linear(N_HIDDEN, 1),
)

net_dropped = torch.nn.Sequential(
    torch.nn.Linear(1, N_HIDDEN),
    torch.nn.Dropout(0.5),  # drop out 0.5
    torch.nn.ReLU(),
    torch.nn.Linear(N_HIDDEN, N_HIDDEN),
    torch.nn.Dropout(0.5),  # drop out 0.5
    torch.nn.ReLU(),
    torch.nn.Linear(N_HIDDEN, 1),
)

print(net_overfitting)  # 会过拟合的网络结构
"""
Sequential (
  (0): Linear (1 -> 300)
  (1): ReLU ()
  (2): Linear (300 -> 300)
  (3): ReLU ()
  (4): Linear (300 -> 1)
)
"""


print(net_dropped)      # 使用了Dropout的网络结构
"""
Sequential (
  (0): Linear (1 -> 300)
  (1): Dropout (p = 0.5)
  (2): ReLU ()
  (3): Linear (300 -> 300)
  (4): Dropout (p = 0.5)
  (5): ReLU ()
  (6): Linear (300 -> 1)
)
"""



optimizer_ofit = torch.optim.Adam(net_overfitting.parameters(), lr=lr)
optimizer_drop = torch.optim.Adam(net_dropped.parameters(), lr=lr)
loss_func = torch.nn.MSELoss()

plt.ion()   # hold住图

for t in range(500):
    pred_ofit = net_overfitting(x)
    pred_drop = net_dropped(x)
    loss_ofit = loss_func(pred_ofit, y)
    loss_drop = loss_func(pred_drop, y)

    optimizer_ofit.zero_grad()
    optimizer_drop.zero_grad()
    loss_ofit.backward()
    loss_drop.backward()
    optimizer_ofit.step()
    optimizer_drop.step()

    if t % 10 == 0:
        # 切换到测试形态
        net_overfitting.eval()
        net_dropped.eval()

        # 画一下
        plt.cla()
        test_pred_ofit = net_overfitting(test_x)
        test_pred_drop = net_dropped(test_x)
        plt.scatter(x.data.numpy(), y.data.numpy(), c='magenta', s=50, alpha=0.3, label='train set')
        plt.scatter(test_x.data.numpy(), test_y.data.numpy(), c='cyan', s=50, alpha=0.3, label='test set')
        plt.plot(test_x.data.numpy(), test_pred_ofit.data.numpy(), 'r-', lw=3, label='no dropout')
        plt.plot(test_x.data.numpy(), test_pred_drop.data.numpy(), 'b--', lw=3, label='dropout(50%)')
        plt.text(0, -1.2, 'no dropout loss=%.4f' % loss_func(test_pred_ofit, test_y).data[0], fontdict={'size': 20, 'color':  'red'})
        plt.text(0, -1.5, 'dropout loss=%.4f' % loss_func(test_pred_drop, test_y).data[0], fontdict={'size': 20, 'color': 'blue'})
        plt.legend(loc='upper left'); plt.ylim((-2.5, 2.5));plt.pause(0.1)

        # 切换回训练形态
        net_overfitting.train()
        net_dropped.train()

plt.ioff()
plt.show()

Reference:

神经网络抵制过拟合神器:Dropout 手把手论文入门 — 深度学习 DL 番外篇

http://nooverfit.com/wp/神经网络抵制过拟合神器:dropout-手把手论文入门

作者: david 9





明天继续推出:专知PyTorch深度学习教程系列-< NLP系列(一) 用Pytorch 实现 Word Embedding >,敬请关注。


完整系列搜索查看,请PC登录

www.zhuanzhi.ai, 搜索“PyTorch”即可得。


对PyTorch教程感兴趣的同学,欢迎进入我们的专知PyTorch主题群一起交流、学习、讨论,扫一扫如下群二维码即可进入:

了解使用专知-获取更多AI知识!

专知,一个新的认知方式!

构建AI知识体系-专知主题知识树简介


-END-


欢迎使用专知

专知,一个新的认知方式!目前聚焦在人工智能领域为AI从业者提供专业可信的知识分发服务, 包括主题定制、主题链路、搜索发现等服务,帮你又好又快找到所需知识。


使用方法>>访问www.zhuanzhi.ai, 或点击文章下方“阅读原文”即可访问专知


中国科学院自动化研究所专知团队

@2017 专知

专 · 知

关注我们的公众号,获取最新关于专知以及人工智能的资讯、技术、算法、深度干货等内容。扫一扫下方关注我们的微信公众号。



点击“ 阅读原文 ”,使用 专知!
展开全文
Top
微信扫码咨询专知VIP会员