没空去开会?ICML2018会议笔记了解一下

【导读】一年一度的国际机器学习会议(ICML),于7月15日在瑞典斯德哥尔摩闭幕,ICML 的会议日程之紧凑,会议内容之丰富,令人目不暇接。如果你没有去开会,或者因为奔波在各个会场而漏听了感兴趣的报告,这里有一份 ICML2018的会议笔记,了解一下。

作者 | David Abel

整理 | Huaiwen

ICML 是 International Conference on Machine Learning的缩写,即国际机器学习大会。ICML由国际机器学习学会(IMLS)主办, 一年一开,是机器学习领域的国际顶级会议, CCF A类。


今年的 ICML2018,于7月10日至15日, 在瑞典的斯德哥尔摩召开。作为AI领域最负盛名的会议之一,本次会议共收到2473篇论文。其中,621篇被接收,接收率为25.1%。


虽然大会持续5天,但是会议日程之紧凑,会议内容之丰富,令人目不暇接。 特别的,并行开始的许多会议,让不少参会者奔波于各个会场之间,很容易漏听掉某些精彩内容。另外,除了Tutorial, Keynote, Oral Paper, Best Paper,还有不少workshop在探讨目前机器学习领域的热门话题和及其在工业界的应用,真是一场学术盛会。


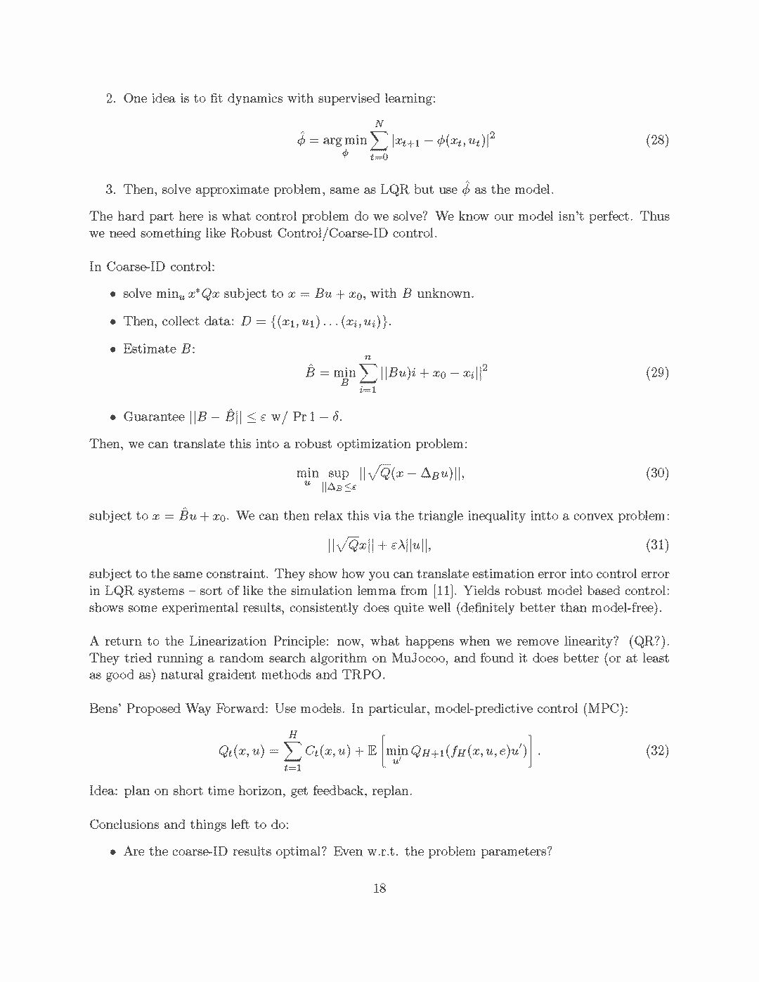
几天前,美国布朗大学的一位同学 David Abel,公开分享了他在这次大会上整理的长达50多页的会议笔记。这份笔记内容详实,包含了不少来自现场拍摄的PPT图片,还根据参会日期和会场做了详细的目录。 每听一个报告,David Abel 都尝试总结:Problem Definition, New Idea, Model,Conclusion等, 学霸的气息铺面而来。


David Abel 是美国布朗大学计算机科学专业的在读博士生,师从Michael Littman,研究重点是抽象概念及其在智能中的应用。同时还是牛津大学Future of Humanity Institute 的一名实习生。


个人主页 https://david-abel.github.io/。 


本次 ICML2018, 他以第一作者,发表了两篇文章:

State Abstractions for Lifelong Reinforcement Learning

David Abel, Dilip Arumugam, Lucas Lehnert, Michael L. Littman.

ICML 2018.


Policy and Value Transfer in Lifelong Reinforcement Learning

David Abel*, Yuu Jinnai*, Yue Guo, George Konidaris, Michael L. Littman.

ICML 2018.


请关注专知公众号(扫一扫最下面专知二维码,或者点击上方蓝色专知),

  • 后台回复“ICML2018” 就可以获取 ICML 2018 Notes by David Abel 下载链接


附笔记原文

-END-

专 · 知


人工智能领域主题知识资料查看与加入专知人工智能服务群

【专知AI服务计划】专知AI知识技术服务会员群加入人工智能领域26个主题知识资料全集获取欢迎微信扫一扫加入专知人工智能知识星球群,获取专业知识教程视频资料和与专家交流咨询


请PC登录www.zhuanzhi.ai或者点击阅读原文,注册登录专知,获取更多AI知识资料

请加专知小助手微信(扫一扫如下二维码添加),加入专知主题群(请备注主题类型:AI、NLP、CV、 KG等)交流~


关注专知公众号,获取人工智能的专业知识!

点击“阅读原文”,使用专知

展开全文
Top
微信扫码咨询专知VIP会员