新加坡南洋理工最新37页《零样本学习综述》论文

【导读】近年来,零样本学习(ZSL,zero-shot learning)已经在大量的任务中受到了广泛的关注。本文为大家带来了南洋理工大学的零样本学习最新综述,希望对大家有所帮助。


介绍:


大多数机器学习方法,均侧重于那些训练集中广泛存在的样本进行分类。但现实场景中,许多的任务需要对从未见过的样本进行分类。零样本学习是一种非常强大的学习范式,在本文中,我们为零样本学习提供一个全面的调研综述。首先,我们概述了零样本学习,根据学习过程中使用到的数据模型,我们将其划分为三种学习类型;第二,我们描述了零样本学习过程中所采用的不同语义空间;第三,我们对现有零样本学习方法进行了分类,并在每个类别下介绍了具有代表性的方法;第四,我们讨论了零样本学习的不同应用方向;最后,我们介绍了零样本学习的未来研究方向。


监督分类方法在研究中取得了巨大的成功,并应用于许多领域之内。但在这种学习范式下,存在着一些明显的限制。比如,在监督分类中,需要充分的标记训练样本,并且,最终学习到的分类器只能对包含于训练集内的样本进行分类,而无法对未曾见过的样本类进行处理。然而,在实际应用中,每个任务可能并没有足够的训练样本存在,难以支持常规的分类任务。


为了解决这一问题,目前已有多个研究团队提出相应的研究思路,如少样本学习、单样本学习等。在这些方法中,会利用其他类别样本中所学习到的知识,应用于样本较少类的分类过程中。对于上述学习范式下的方法,仍难以解决从未出现过相应样本的类别处理过程,而这却是实际应用中常常面临的问题所在。


在零样本学习中,特征空间内存在着一些标注过的训练数据样本,它们属于“已知类别”,除此之外,还存在着一些未标注的测试样本,属于“未知类别“。上述特征空间一般是实值空间,并且每一个样本均被表示成一个空间中的特征向量而存在。


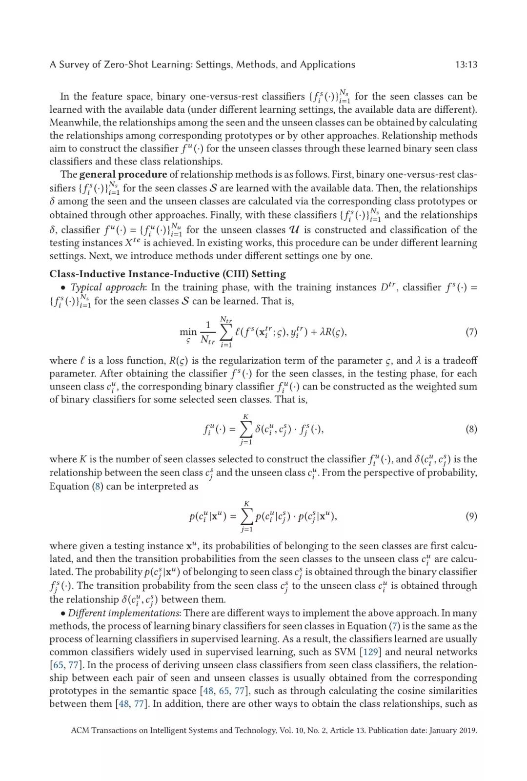
一般的零样本学习思路是,将训练集中的特征知识迁移至测试样本的分类任务上,因此可以认为,零样本学习是迁移学习的一个子领域。在迁移学习中,源域的知识被迁移至目标域的任务中。根据源域与目标域的标签空间是否一致,迁移学习可以被分类为同构迁移学习(homogeneous transfer learning)或异构迁移学习(heterogeneous transfer learning)。


一般来说,为了解决零样本学习问题,必须要使用到辅助信息。此类辅助信息需要包括所有”未知类别“,同时,这些辅助信息需要与特征空间相关联,以保证此类辅助信息的可用性等。


下图简要介绍了本综述中的方法分类,以及各类方法的优缺点。


语义空间与不同的方法类别


各类零样本方法的优劣对比


原文链接:

https://doi.org/10.1145/3293318


 请关注专知公众号(点击上方蓝色专知关注

  • 后台回复“SZSL” 就可以获取最新论文的下载链接~ 


附论文原文:

-END-

专 · 知

专知《深度学习:算法到实战》课程全部完成!480+位同学在学习,现在报名,限时优惠!网易云课堂人工智能畅销榜首位!

欢迎微信扫一扫加入专知人工智能知识星球群,获取最新AI专业干货知识教程视频资料和与专家交流咨询!

请加专知小助手微信(扫一扫如下二维码添加),加入专知人工智能主题群,咨询《深度学习:算法到实战》课程,咨询技术商务合作~

请PC登录www.zhuanzhi.ai或者点击阅读原文,注册登录专知,获取更多AI知识资料!

点击“阅读原文”,了解报名专知《深度学习:算法到实战》课程

展开全文
Top
微信扫码咨询专知VIP会员