新书《用于计算机视觉、机器人和机器学习的线性代数》,附753页PDF下载

【导读】近年来,计算机视觉、机器学习和数据科学等已成为推动技术进步的关键知识。在学习这些知识时,我们经常会被一些数学术语所困扰,如拉格朗日乘子、KKT条件等。新书《用于计算机视觉、机器人和机器学习的线性代数》为您介绍与这些领域相关的线代知识。


在学习AI相关知识时,我们经常会遇到许多与线性代数相关的知识。相信很多从业者在使用Google等零散地学习这些知识之后,想更深入地学习一下这些线性代数知识。作为AI从业人员,我们希望能够有选择性并不失系统性地学习与自己相关的数学知识。新书《用于计算机视觉、机器人和机器学习的线性代数》,它介绍了许多与我们紧密相关的数学知识,如图谱理论、奇异值分解等。


《用于计算机视觉、机器人和机器学习的线性代数》的内容大致如下:

  • 简介

  • 向量空间、基与线性映射

  • 矩阵与线性映射

  • Haar基、Haar小波与Hadmard矩阵

  • 直和、秩零度化定理、仿射映射与行列式

  • 高斯消去、LU分解、Cholesky分解与阶梯形矩阵

  • 向量范数与矩阵范数

  • 解决线性系统问题的迭代式方法

  • 对偶空间和对偶性

  • 欧式空间

  • 任意矩阵的QR分解

  • 埃尔米特空间

  • 特征向量和特征值

  • SO(3)中的单位四元组和旋转

  • 谱定理

  • 计算特征值和特征向量

  • 图和图拉普拉斯;基本事实

  • 谱绘制

  • 奇异值分解和极形式

  • SVD的引用和伪逆

  • 零化多项式;主分解


完整PPT下载
请关注专知公众号(点击上方蓝色专知关注
  • 后台回复“LACV2” 就可以获取完整教程PDF的下载链接索引~ 


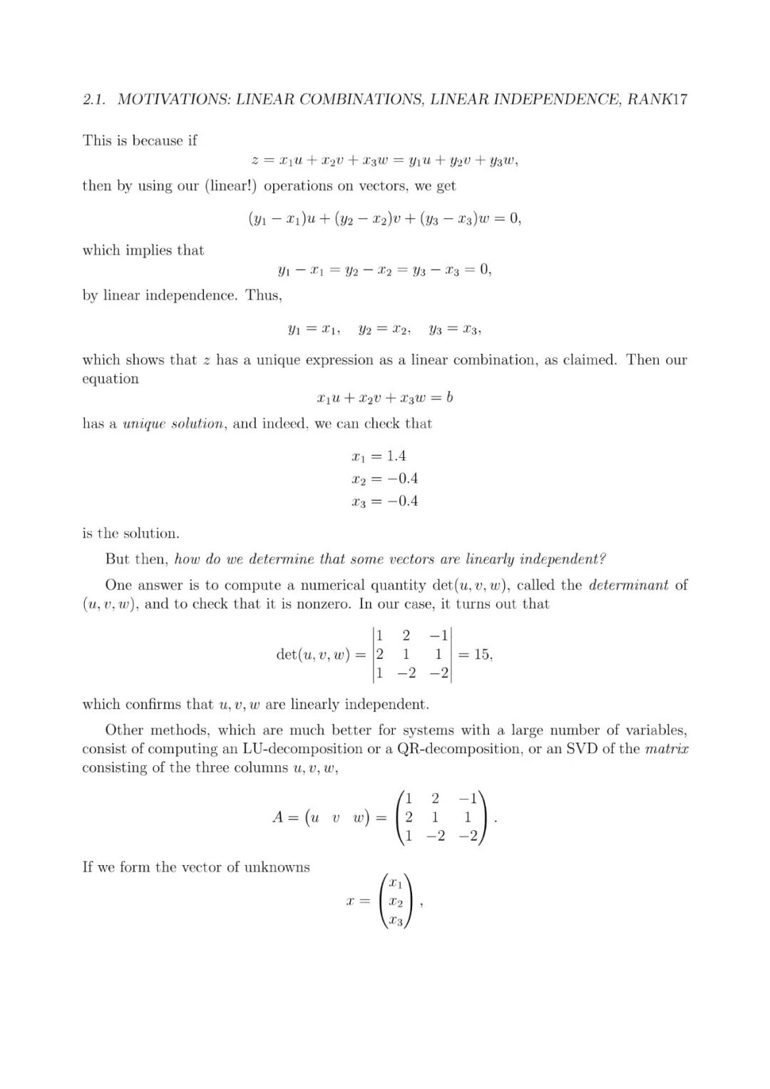
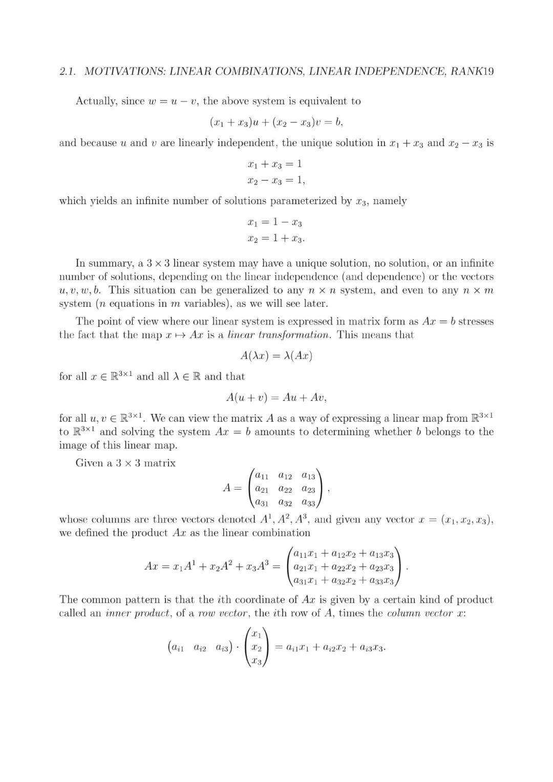
教程部分截图如下所示:



参考链接:

  • https://www.seas.upenn.edu/~cis515/linalg-I.pdf


-END-
专 · 知


专知,专业可信的人工智能知识分发,让认知协作更快更好!欢迎注册登录专知www.zhuanzhi.ai,获取更多AI知识资料!
欢迎微信扫一扫加入专知人工智能知识星球群,获取最新AI专业干货知识教程视频资料和与专家交流咨询
请加专知小助手微信(扫一扫如下二维码添加),获取专知VIP会员码,加入专知人工智能主题群,咨询技术商务合作~
点击“阅读原文”,了解注册使用专知
展开全文
Top
微信扫码咨询专知VIP会员