最新36页《贝叶斯非参学习综述》,机器学习内功修炼手册

【导读】贝叶斯学习在机器学习领域始终扮演着重要的角色,并在多个领域得到了广泛的应用,在贝叶斯学习的基础上,贝叶斯非参学习(BNL,Bayesian nonparametric learning)由于其更强大的建模灵活性和表示能力,已经成为该领域重要的研究方向之一。本文为大家带来了贝叶斯非参学习的最新综述,帮助大家快速了解这一领域。


介绍:


由于贝叶斯学习可以包容模型的不确定性、处理先验知识和赋予模型可解释性的特殊能力,长期以来都是机器学习任务中的重要关注点,而在贝叶斯学习的巨大成功基础上,贝叶斯非参数学习由于其更大的建模灵活性和表示能力,已经成为该领域进一步发展的主要推动力之一。


与贝叶斯学习的固定维概率分布不同,BNL创建了一种具有无限维随机过程的新思路。BNL长期以来一直被认为是统计学中的一个研究课题,到目前为止,已经有多项研究表明,BNL在解决现实机器学习任务方面有着很大的潜力。然而,尽管存在着如此大的前景,BNL却始终没有在机器学习社区掀起显著的浪潮。原因可能是因为,统计学家写的关于BNL的书籍和综述过于复杂,充斥着乏味的理论和证据,虽然每个过程都有其必要性,但很可能会吓跑其他领域的研究人员,尤其是那些有计算机科学背景的研究人员,因此,本文的目的是以机器学习社区的研究人员能够接受的方式,提供一个简单而全面的BNL理论调研综述。希望这项调研可以帮助大家,成为理解和利用BNL的一个不错的起点。


本文组织结构如下:


  • 介绍

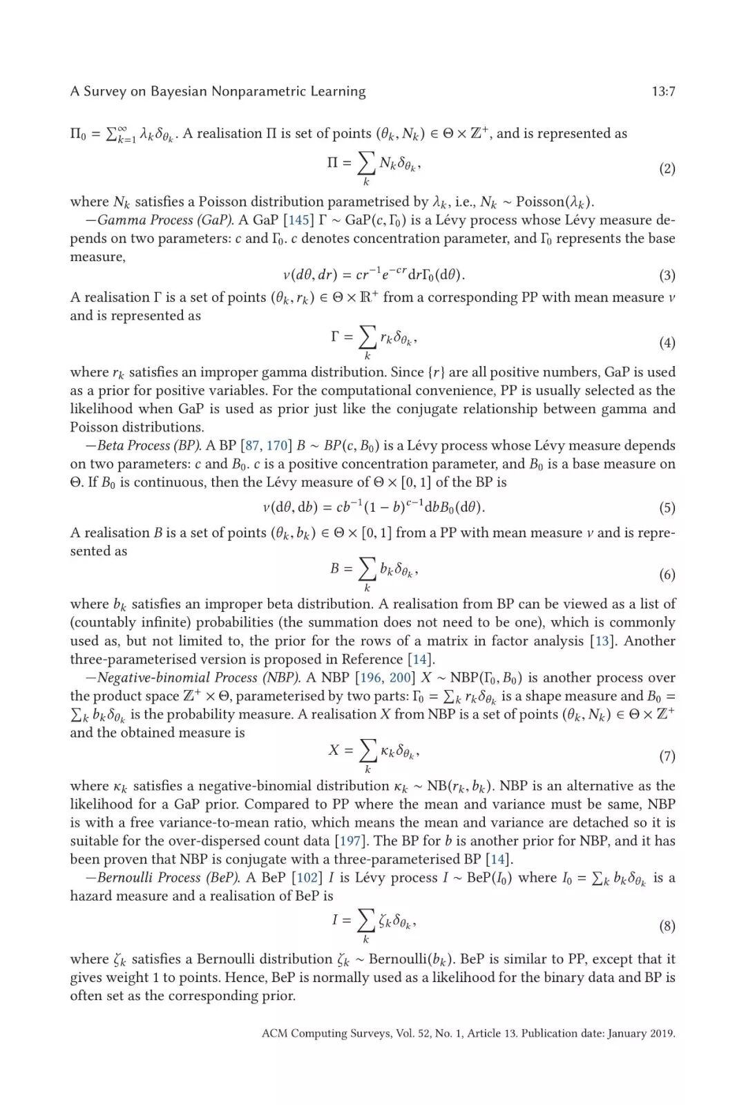
  • 定义

  • 基本材料:随机过程

    • 定义与属性

    • 结构(construction)

  • 随机过程的操作

    • 分层(layering)

    • 叠加(Superposition)

    • 降采样(Subsampling)

    • Point-transition

    • 嵌套

    • 边缘化

  • 后验推断

    • 马尔可夫链蒙特卡洛方法

    • 变分推断

    • 可扩展性

    • 其他

  • 机器学习中的应用

    • 监督学习

    • 因子分析

    • 迁移学习

    • 树结构学习

    • 关系学习

    • 强化学习

  • 现实世界中的应用

    • 文本挖掘

    • 自然语言处理

    • 计算机视觉

    • 生物

    • 音乐分析

    • 机器人

  • 总结


原文链接:

https://dl.acm.org/citation.cfm?doid=3309872.3291044


 请关注专知公众号(点击上方蓝色专知关注

  • 后台回复“SBNL” 就可以获取最新论文的下载链接~ 



附论文全文:



-END-

专 · 知

专知《深度学习:算法到实战》课程全部完成!480+位同学在学习,现在报名,限时优惠!网易云课堂人工智能畅销榜首位!

欢迎微信扫一扫加入专知人工智能知识星球群,获取最新AI专业干货知识教程视频资料和与专家交流咨询!

请加专知小助手微信(扫一扫如下二维码添加),加入专知人工智能主题群,咨询《深度学习:算法到实战》课程,咨询技术商务合作~

请PC登录www.zhuanzhi.ai或者点击阅读原文,注册登录专知,获取更多AI知识资料!

点击“阅读原文”,了解报名专知《深度学习:算法到实战》课程

展开全文
Top
微信扫码咨询专知VIP会员